Номер 274, страница 296 - гдз по алгебре 9 класс учебник Арефьева, Пирютко

Алгебра, 9 класс Учебник, авторы: Арефьева Ирина Глебовна, Пирютко Ольга Николаевна, издательство Народная асвета, Минск, 2019, голубого цвета

Авторы: Арефьева И. Г., Пирютко О. Н.

Тип: Учебник

Издательство: Народная асвета

Год издания: 2019 - 2026

Цвет обложки: голубой, синий с графиком

ISBN: 978-985-03-3077-2

Допущено Министерством образования Республики Беларусь

Популярные ГДЗ в 9 классе

Итоговое повторение. Уравнения, неравенства, системы - номер 274, страница 296.

№274 (с. 296)
Условие. №274 (с. 296)
скриншот условия
Алгебра, 9 класс Учебник, авторы: Арефьева Ирина Глебовна, Пирютко Ольга Николаевна, издательство Народная асвета, Минск, 2019, голубого цвета, страница 296, номер 274, Условие

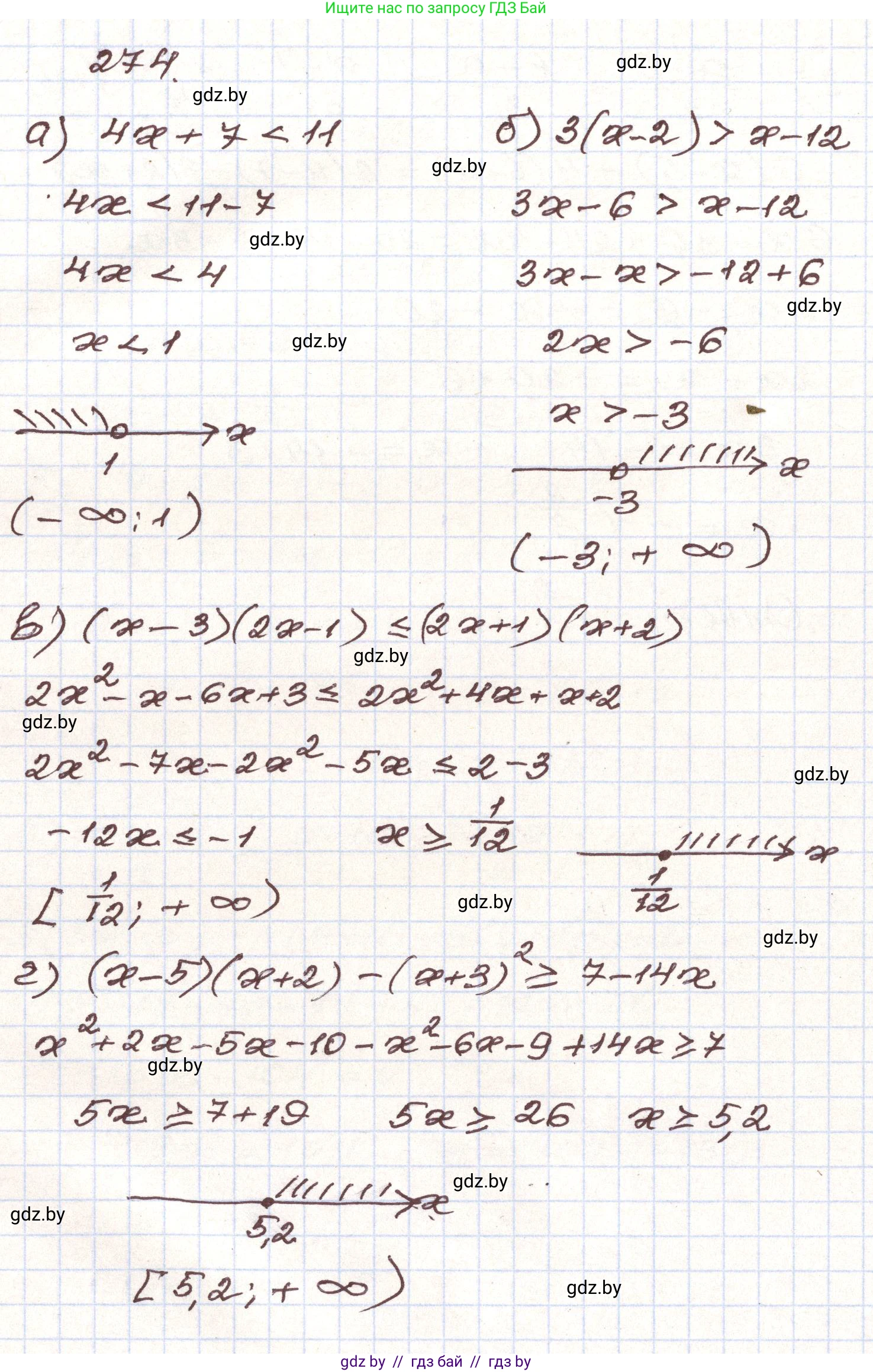
274. Решите неравенство:

a) $4x + 7 < 11;$

б) $3(x - 2) > x - 12;$

в) $(x - 3)(2x - 1) \leq (2x + 1)(x + 2);$

г) $(x - 5)(x + 2) - (x + 3)^2 \geq 7 - 14x.$

Решение. №274 (с. 296)
Алгебра, 9 класс Учебник, авторы: Арефьева Ирина Глебовна, Пирютко Ольга Николаевна, издательство Народная асвета, Минск, 2019, голубого цвета, страница 296, номер 274, Решение
Решение 2. №274 (с. 296)

а) $4x + 7 < 11$
Перенесем число 7 в правую часть неравенства, изменив его знак:
$4x < 11 - 7$
$4x < 4$
Разделим обе части на 4:
$x < 1$
Ответ: $x \in (-\infty; 1)$.

б) $3(x - 2) > x - 12$
Раскроем скобки в левой части:
$3x - 6 > x - 12$
Перенесем слагаемые с $x$ в левую часть, а числа — в правую:
$3x - x > -12 + 6$
$2x > -6$
Разделим обе части на 2:
$x > -3$
Ответ: $x \in (-3; \infty)$.

в) $(x - 3)(2x - 1) \le (2x + 1)(x + 2)$
Раскроем скобки в обеих частях неравенства:
$2x^2 - x - 6x + 3 \le 2x^2 + 4x + x + 2$
Приведем подобные слагаемые в обеих частях:
$2x^2 - 7x + 3 \le 2x^2 + 5x + 2$
Вычтем $2x^2$ из обеих частей. Так как это слагаемое одинаковое, оно сокращается:
$-7x + 3 \le 5x + 2$
Перенесем слагаемые с $x$ в правую часть, а числа — в левую:
$3 - 2 \le 5x + 7x$
$1 \le 12x$
Разделим обе части на 12. Это то же самое, что $x \ge \frac{1}{12}$:
$x \ge \frac{1}{12}$
Ответ: $x \in [\frac{1}{12}; \infty)$.

г) $(x - 5)(x + 2) - (x + 3)^2 \ge 7 - 14x$
Раскроем скобки, используя формулу квадрата суммы $(a+b)^2 = a^2 + 2ab + b^2$:
$(x^2 + 2x - 5x - 10) - (x^2 + 6x + 9) \ge 7 - 14x$
Приведем подобные слагаемые в первых скобках и раскроем вторые (меняя знаки на противоположные):
$x^2 - 3x - 10 - x^2 - 6x - 9 \ge 7 - 14x$
Приведем подобные слагаемые в левой части:
$-9x - 19 \ge 7 - 14x$
Перенесем слагаемые с $x$ в левую часть, а числа — в правую:
$-9x + 14x \ge 7 + 19$
$5x \ge 26$
Разделим обе части на 5:
$x \ge \frac{26}{5}$
Выделим целую часть из неправильной дроби:
$x \ge \mathbf{5}\frac{1}{5}$
Ответ: $x \in [\mathbf{5}\frac{1}{5}; \infty)$.

Помогло решение? Оставьте отзыв в комментариях ниже.

Присоединяйтесь к Телеграм-группе @gdz_by_belarus

Присоединиться

Мы подготовили для вас ответ c подробным объяснением домашего задания по алгебре за 9 класс, для упражнения номер 274 расположенного на странице 296 к учебнику 2019 года издания для учащихся школ и гимназий.

Теперь на нашем сайте ГДЗ.ТОП вы всегда легко и бесплатно найдёте условие с правильным ответом на вопрос «Как решить ДЗ» и «Как сделать» задание по алгебре к упражнению №274 (с. 296), авторов: Арефьева (Ирина Глебовна), Пирютко (Ольга Николаевна), учебного пособия издательства Народная асвета.