Номер 276, страница 296 - гдз по алгебре 9 класс учебник Арефьева, Пирютко
Авторы: Арефьева И. Г., Пирютко О. Н.
Тип: Учебник
Издательство: Народная асвета
Год издания: 2019 - 2026
Цвет обложки: голубой, синий с графиком
ISBN: 978-985-03-3077-2
Допущено Министерством образования Республики Беларусь
Популярные ГДЗ в 9 классе
Итоговое повторение. Уравнения, неравенства, системы - номер 276, страница 296.
№276 (с. 296)
Условие. №276 (с. 296)
скриншот условия
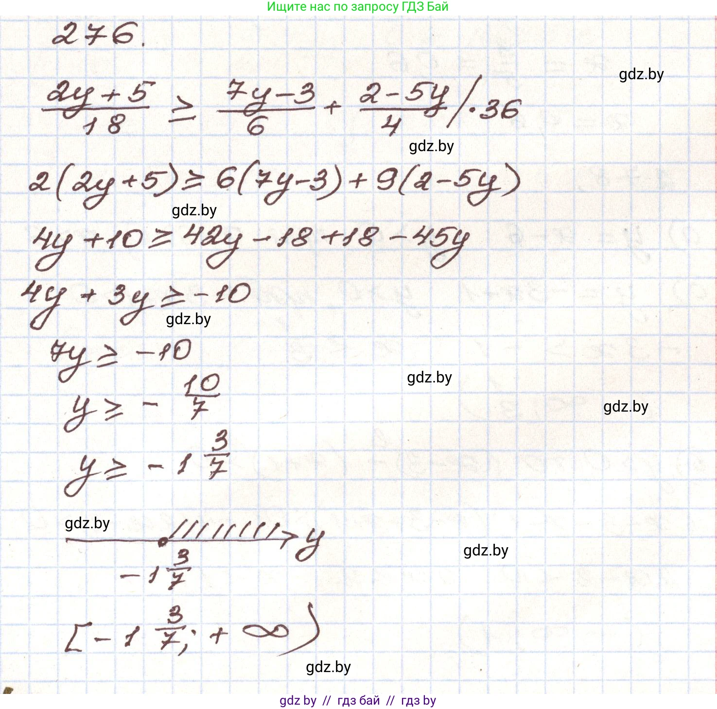
276. Найдите, при каких значениях переменной значение дроби $ \frac{2y+5}{18} $ не меньше значения суммы дробей $ \frac{7y-3}{6} $ и $ \frac{2-5y}{4} $.
Решение. №276 (с. 296)
Решение 2. №276 (с. 296)
Для решения задачи необходимо перевести условие в формат математического неравенства. Фраза "значение дроби A не меньше значения суммы дробей B и C" записывается как $A \ge B + C$.
В нашем случае:
- $A = \frac{2y+5}{18}$
- $B = \frac{7y-3}{6}$
- $C = \frac{2-5y}{4}$
Составим неравенство на основе условия задачи:
$\frac{2y+5}{18} \ge \frac{7y-3}{6} + \frac{2-5y}{4}$
Чтобы упростить неравенство, избавимся от знаменателей. Для этого найдем наименьшее общее кратное (НОК) знаменателей 18, 6 и 4. НОК(18, 6, 4) = 36. Умножим обе части неравенства на 36:
$36 \cdot \frac{2y+5}{18} \ge 36 \cdot \left( \frac{7y-3}{6} + \frac{2-5y}{4} \right)$
Выполним сокращение дробей:
$2 \cdot (2y+5) \ge 6 \cdot (7y-3) + 9 \cdot (2-5y)$
Теперь раскроем скобки в обеих частях неравенства:
$4y + 10 \ge 42y - 18 + 18 - 45y$
Приведем подобные слагаемые в правой части:
$4y + 10 \ge (42y - 45y) + (-18 + 18)$
$4y + 10 \ge -3y$
Перенесем все слагаемые с переменной $y$ в левую часть, а числовые слагаемые — в правую, не забывая менять знак при переносе:
$4y + 3y \ge -10$
$7y \ge -10$
Разделим обе части неравенства на 7. Так как 7 — положительное число, знак неравенства сохраняется:
$y \ge -\frac{10}{7}$
Для финального ответа выделим целую часть из неправильной дроби $-\frac{10}{7}$:
$-\frac{10}{7} = -1\frac{3}{7}$
Следовательно, искомые значения переменной $y$ — это все числа, которые больше или равны $-1\frac{3}{7}$.
276. Ответ: $y \ge -1\frac{3}{7}$.
Другие задания:
Помогло решение? Оставьте отзыв в комментариях ниже.
Присоединяйтесь к Телеграм-группе @gdz_by_belarus
ПрисоединитьсяМы подготовили для вас ответ c подробным объяснением домашего задания по алгебре за 9 класс, для упражнения номер 276 расположенного на странице 296 к учебнику 2019 года издания для учащихся школ и гимназий.
Теперь на нашем сайте ГДЗ.ТОП вы всегда легко и бесплатно найдёте условие с правильным ответом на вопрос «Как решить ДЗ» и «Как сделать» задание по алгебре к упражнению №276 (с. 296), авторов: Арефьева (Ирина Глебовна), Пирютко (Ольга Николаевна), учебного пособия издательства Народная асвета.