Номер 280, страница 296 - гдз по алгебре 9 класс учебник Арефьева, Пирютко

Алгебра, 9 класс Учебник, авторы: Арефьева Ирина Глебовна, Пирютко Ольга Николаевна, издательство Народная асвета, Минск, 2019, голубого цвета

Авторы: Арефьева И. Г., Пирютко О. Н.

Тип: Учебник

Издательство: Народная асвета

Год издания: 2019 - 2026

Цвет обложки: голубой, синий с графиком

ISBN: 978-985-03-3077-2

Допущено Министерством образования Республики Беларусь

Популярные ГДЗ в 9 классе

Итоговое повторение. Уравнения, неравенства, системы - номер 280, страница 296.

№280 (с. 296)
Условие. №280 (с. 296)
скриншот условия
Алгебра, 9 класс Учебник, авторы: Арефьева Ирина Глебовна, Пирютко Ольга Николаевна, издательство Народная асвета, Минск, 2019, голубого цвета, страница 296, номер 280, Условие

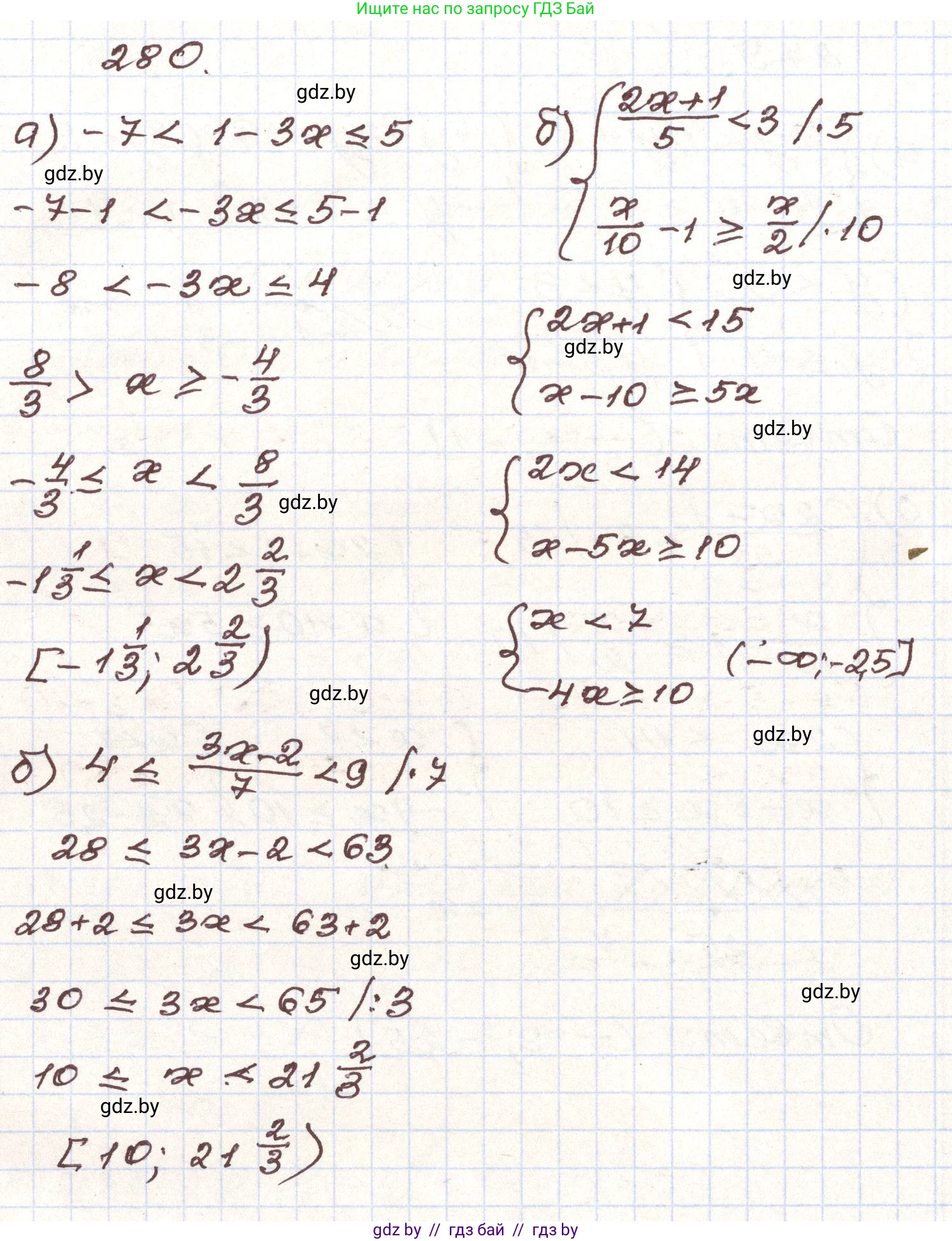
280. Решите двойное неравенство:

а) $-7 < 1-3x \le 5$;

б) $4 \le \frac{3x-2}{7} < 9$.

Решение. №280 (с. 296)
Алгебра, 9 класс Учебник, авторы: Арефьева Ирина Глебовна, Пирютко Ольга Николаевна, издательство Народная асвета, Минск, 2019, голубого цвета, страница 296, номер 280, Решение
Решение 2. №280 (с. 296)

а) Решим двойное неравенство $-7 < 1 - 3x \le 5$.

Для нахождения решения будем выполнять равносильные преобразования над всеми тремя частями неравенства, чтобы изолировать переменную $x$ в средней части.

1. Вычтем 1 из всех частей неравенства:

$-7 - 1 < 1 - 3x - 1 \le 5 - 1$

$-8 < -3x \le 4$

2. Разделим все части неравенства на -3. При делении (или умножении) на отрицательное число знаки неравенства меняются на противоположные:

$\frac{-8}{-3} > \frac{-3x}{-3} \ge \frac{4}{-3}$

$\frac{8}{3} > x \ge -\frac{4}{3}$

3. Для удобства чтения запишем неравенство в стандартном виде, расположив числа в порядке возрастания (слева направо):

$-\frac{4}{3} \le x < \frac{8}{3}$

4. Преобразуем неправильные дроби в смешанные числа, выделив из них целую часть:

$-\frac{4}{3} = -1\frac{1}{3}$

$\frac{8}{3} = 2\frac{2}{3}$

Таким образом, решение неравенства имеет вид: $-1\frac{1}{3} \le x < 2\frac{2}{3}$.

Ответ: $-1\frac{1}{3} \le x < 2\frac{2}{3}$.

б) Решим двойное неравенство $4 \le \frac{3x - 2}{7} < 9$.

Выполним преобразования для всех частей неравенства, чтобы выразить $x$.

1. Умножим все части неравенства на 7, чтобы избавиться от знаменателя. Так как 7 — положительное число, знаки неравенства сохраняются:

$4 \cdot 7 \le \frac{3x - 2}{7} \cdot 7 < 9 \cdot 7$

$28 \le 3x - 2 < 63$

2. Прибавим 2 ко всем частям неравенства, чтобы в средней части осталось только слагаемое с $x$:

$28 + 2 \le 3x - 2 + 2 < 63 + 2$

$30 \le 3x < 65$

3. Разделим все части неравенства на 3. Так как 3 — положительное число, знаки неравенства не меняются:

$\frac{30}{3} \le \frac{3x}{3} < \frac{65}{3}$

$10 \le x < \frac{65}{3}$

4. Преобразуем неправильную дробь $\frac{65}{3}$ в смешанное число, выделив целую часть:

$65 \div 3 = 21$ (остаток 2), следовательно, $\frac{65}{3} = 21\frac{2}{3}$.

Таким образом, решение неравенства имеет вид: $10 \le x < 21\frac{2}{3}$.

Ответ: $10 \le x < 21\frac{2}{3}$.

Помогло решение? Оставьте отзыв в комментариях ниже.

Присоединяйтесь к Телеграм-группе @gdz_by_belarus

Присоединиться

Мы подготовили для вас ответ c подробным объяснением домашего задания по алгебре за 9 класс, для упражнения номер 280 расположенного на странице 296 к учебнику 2019 года издания для учащихся школ и гимназий.

Теперь на нашем сайте ГДЗ.ТОП вы всегда легко и бесплатно найдёте условие с правильным ответом на вопрос «Как решить ДЗ» и «Как сделать» задание по алгебре к упражнению №280 (с. 296), авторов: Арефьева (Ирина Глебовна), Пирютко (Ольга Николаевна), учебного пособия издательства Народная асвета.