Номер 268, страница 295 - гдз по алгебре 9 класс учебник Арефьева, Пирютко

Алгебра, 9 класс Учебник, авторы: Арефьева Ирина Глебовна, Пирютко Ольга Николаевна, издательство Народная асвета, Минск, 2019, голубого цвета

Авторы: Арефьева И. Г., Пирютко О. Н.

Тип: Учебник

Издательство: Народная асвета

Год издания: 2019 - 2026

Цвет обложки: голубой, синий с графиком

ISBN: 978-985-03-3077-2

Допущено Министерством образования Республики Беларусь

Популярные ГДЗ в 9 классе

Итоговое повторение. Уравнения, неравенства, системы - номер 268, страница 295.

№268 (с. 295)
Условие. №268 (с. 295)
скриншот условия
Алгебра, 9 класс Учебник, авторы: Арефьева Ирина Глебовна, Пирютко Ольга Николаевна, издательство Народная асвета, Минск, 2019, голубого цвета, страница 295, номер 268, Условие

268. Решите неравенство методом интервалов:

а) $ \frac{x-4}{x+6} \le 0; $

б) $ \frac{(x-3)(x-5)}{x+6} \le 0; $

в) $ \frac{2-x-x^2}{2x+3} \ge 0; $

г) $ \frac{x^2-13x+30}{x^2+7x+10} < 0; $

д) $ \frac{16-x^4}{x+1} \le 0; $

е) $ \frac{(x-4)^2}{2-x} \ge 0; $

ж) $ \frac{x-8}{(x-10)^2} \ge 0; $

з) $ \frac{(x-1)^2}{(x-3)(x-4)} > 0. $

Решение. №268 (с. 295)
Алгебра, 9 класс Учебник, авторы: Арефьева Ирина Глебовна, Пирютко Ольга Николаевна, издательство Народная асвета, Минск, 2019, голубого цвета, страница 295, номер 268, Решение Алгебра, 9 класс Учебник, авторы: Арефьева Ирина Глебовна, Пирютко Ольга Николаевна, издательство Народная асвета, Минск, 2019, голубого цвета, страница 295, номер 268, Решение (продолжение 2)
Решение 2. №268 (с. 295)

а) Решим неравенство $\frac{x-4}{x+6} \le 0$ методом интервалов.

1. Найдем нули числителя и знаменателя.

  • Нуль числителя: $x - 4 = 0 \Rightarrow x = 4$. Так как неравенство нестрогое ($\le$), точка $x=4$ включается в решение (закрашенная точка).
  • Нуль знаменателя: $x + 6 = 0 \Rightarrow x = -6$. Точка, в которой знаменатель равен нулю, всегда исключается из области определения (выколотая точка).

2. Нанесем точки на числовую ось. Точка $x=-6$ будет выколотой, а точка $x=4$ — закрашенной. Эти точки разделят ось на три интервала.

3. Определим знаки выражения на каждом интервале. Возьмем пробную точку из крайнего правого интервала, например $x=10$: $\frac{10-4}{10+6} = \frac{6}{16} > 0$. Так как все корни имеют нечетную кратность, знаки на интервалах чередуются. Расставляем знаки справа налево: +, -, +.

Схема знаков: $(-\infty, -6) \xrightarrow{+} (-6) \xrightarrow{-} [4] \xrightarrow{+} (+\infty)$

4. Выберем интервалы, где выражение меньше или равно нулю ($\le 0$). Это интервал со знаком "–".

Получаем промежуток $(-6, 4]$.

Ответ: $x \in (-6, 4]$.

б) Решим неравенство $\frac{(x-3)(x-5)}{x+6} \le 0$.

1. Найдем нули числителя и знаменателя.

  • Нули числителя: $x-3=0 \Rightarrow x=3$; $x-5=0 \Rightarrow x=5$. Точки $x=3$ и $x=5$ включаются в решение.
  • Нуль знаменателя: $x+6=0 \Rightarrow x=-6$. Точка $x=-6$ исключается.

2. Наносим точки на числовую ось: -6 (выколотая), 3 (закрашенная), 5 (закрашенная). Они делят ось на четыре интервала.

3. Определяем знаки на интервалах. Возьмем $x=10$: $\frac{(10-3)(10-5)}{10+6} > 0$. Знаки чередуются, так как все корни имеют нечетную кратность (кратность 1).

Схема знаков: $(-\infty, -6) \xrightarrow{-} (-6) \xrightarrow{+} [3] \xrightarrow{-} [5] \xrightarrow{+} (+\infty)$

4. Нам нужны интервалы, где выражение меньше или равно нулю ($\le 0$).

Это промежутки $(-\infty, -6)$ и $[3, 5]$.

Ответ: $x \in (-\infty, -6) \cup [3, 5]$.

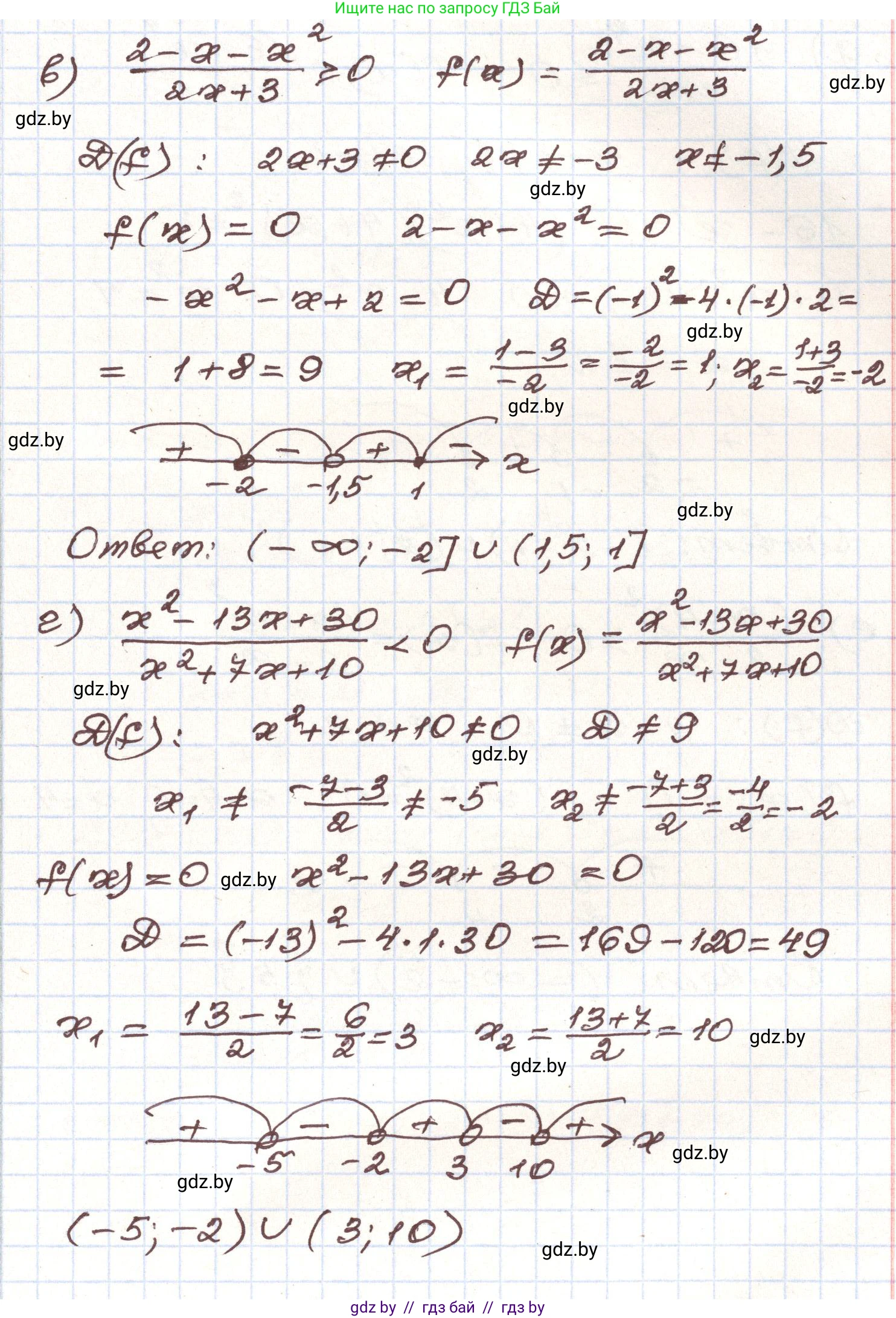
в) Решим неравенство $\frac{2-x-x^2}{2x+3} \ge 0$.

1. Для удобства умножим числитель на -1, чтобы коэффициент при $x^2$ стал положительным. При этом знак неравенства изменится на противоположный: $\frac{-(x^2+x-2)}{2x+3} \ge 0 \Rightarrow \frac{x^2+x-2}{2x+3} \le 0$.

2. Найдем нули числителя и знаменателя.

  • Числитель: $x^2+x-2=0$. По теореме Виета, корни $x_1=-2$ и $x_2=1$. Можно разложить на множители: $(x+2)(x-1)$. Точки $x=-2$ и $x=1$ включаются в решение.
  • Знаменатель: $2x+3=0 \Rightarrow x = -\frac{3}{2} = -1\frac{1}{2}$. Точка исключается из решения.

3. Наносим точки на числовую ось: -2 (закрашенная), $-1\frac{1}{2}$ (выколотая), 1 (закрашенная).

4. Определяем знаки для выражения $\frac{(x+2)(x-1)}{2x+3}$ на интервалах. Возьмем $x=2$: $\frac{(2+2)(2-1)}{2\cdot2+3} > 0$. Знаки чередуются.

Схема знаков: $(-\infty, -2] \xrightarrow{-} [-2] \xrightarrow{+} (-1\frac{1}{2}) \xrightarrow{-} [1] \xrightarrow{+} (+\infty)$

5. Нам нужны интервалы, где выражение $\frac{x^2+x-2}{2x+3}$ меньше или равно нулю ($\le 0$).

Это промежутки $(-\infty, -2]$ и $(-1\frac{1}{2}, 1]$.

Ответ: $x \in (-\infty, -2] \cup (-1\frac{1}{2}, 1]$.

г) Решим неравенство $\frac{x^2-13x+30}{x^2+7x+10} < 0$.

1. Разложим числитель и знаменатель на множители.

  • Числитель: $x^2-13x+30=0$. По теореме Виета, корни $x_1=3, x_2=10$. Получаем $(x-3)(x-10)$.
  • Знаменатель: $x^2+7x+10=0$. По теореме Виета, корни $x_1=-5, x_2=-2$. Получаем $(x+5)(x+2)$.

2. Неравенство принимает вид: $\frac{(x-3)(x-10)}{(x+5)(x+2)} < 0$.

3. Нули числителя: $x=3, x=10$. Нули знаменателя: $x=-5, x=-2$. Так как неравенство строгое, все точки выколотые.

4. Наносим точки -5, -2, 3, 10 на числовую ось. Определяем знаки на интервалах. Возьмем $x=11$: $\frac{(+)(+)}{(+)(+)} > 0$. Все корни имеют нечетную кратность, знаки чередуются.

Схема знаков: $(-\infty, -5) \xrightarrow{+} (-5) \xrightarrow{-} (-2) \xrightarrow{+} (3) \xrightarrow{-} (10) \xrightarrow{+} (+\infty)$

5. Нам нужны интервалы, где выражение меньше нуля ($< 0$).

Это промежутки $(-5, -2)$ и $(3, 10)$.

Ответ: $x \in (-5, -2) \cup (3, 10)$.

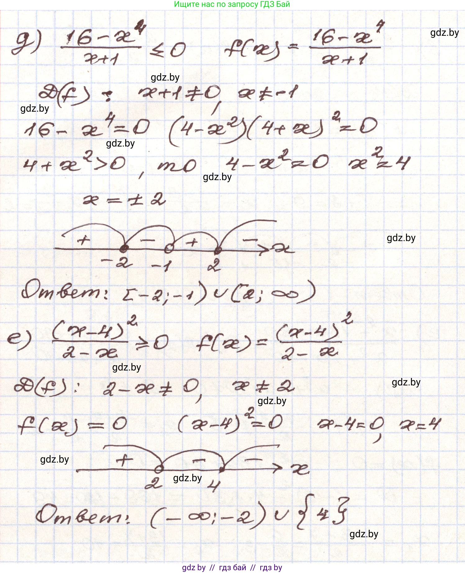
д) Решим неравенство $\frac{16-x^4}{x+1} \le 0$.

1. Разложим числитель на множители: $16-x^4 = (4-x^2)(4+x^2) = (2-x)(2+x)(x^2+4)$.

2. Выражение $x^2+4$ всегда положительно при любом $x$, поэтому на знак неравенства не влияет. Получаем: $\frac{(2-x)(2+x)}{x+1} \le 0$.

3. Умножим множитель $(2-x)$ на -1 и поменяем знак неравенства, чтобы было удобнее работать с $(x-2)$: $\frac{-(x-2)(x+2)}{x+1} \le 0 \Rightarrow \frac{(x-2)(x+2)}{x+1} \ge 0$.

4. Нули числителя: $x=2, x=-2$ (включаются). Нуль знаменателя: $x=-1$ (исключается).

5. Наносим точки на ось: -2 (закрашенная), -1 (выколотая), 2 (закрашенная). Определяем знаки для $\frac{(x-2)(x+2)}{x+1}$. Возьмем $x=3$: $\frac{(+)(+)}{(+)} > 0$. Знаки чередуются.

Схема знаков: $(-\infty, -2] \xrightarrow{-} [-2] \xrightarrow{+} (-1) \xrightarrow{-} [2] \xrightarrow{+} (+\infty)$

6. Нам нужны интервалы, где выражение больше или равно нулю ($\ge 0$).

Это промежутки $[-2, -1)$ и $[2, +\infty)$.

Ответ: $x \in [-2, -1) \cup [2, +\infty)$.

е) Решим неравенство $\frac{(x-4)^2}{2-x} \ge 0$.

1. Нуль числителя: $x=4$. Это корень четной кратности (2). Точка $x=4$ включается в решение.

2. Нуль знаменателя: $2-x=0 \Rightarrow x=2$. Это корень нечетной кратности (1). Точка $x=2$ исключается.

3. Наносим точки на ось: 2 (выколотая) и 4 (закрашенная).

4. Определяем знаки на интервалах. Возьмем $x=5$: $\frac{(5-4)^2}{2-5} = \frac{1}{-3} < 0$. При переходе через точку $x=4$ (четная кратность) знак не меняется. При переходе через $x=2$ (нечетная кратность) знак меняется.

Схема знаков: $(-\infty, 2) \xrightarrow{+} (2) \xrightarrow{-} [4] \xrightarrow{-} (+\infty)$

5. Нам нужны промежутки, где выражение больше или равно нулю ($\ge 0$). Это интервал со знаком "+" и изолированная точка, где выражение равно нулю.

  • Интервал со знаком "+": $(-\infty, 2)$.
  • Точка, где выражение равно нулю: $x=4$.

Объединяя, получаем решение.

Ответ: $x \in (-\infty, 2) \cup \{4\}$.

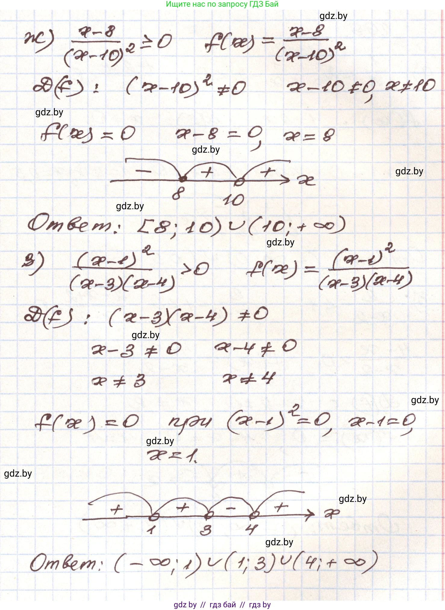
ж) Решим неравенство $\frac{x-8}{(x-10)^2} \ge 0$.

1. Нуль числителя: $x-8=0 \Rightarrow x=8$. Корень нечетной кратности (1). Точка включается.

2. Нуль знаменателя: $x-10=0 \Rightarrow x=10$. Корень четной кратности (2). Точка исключается.

3. Наносим точки на ось: 8 (закрашенная) и 10 (выколотая).

4. Определяем знаки на интервалах. Возьмем $x=11$: $\frac{11-8}{(11-10)^2} > 0$. При переходе через $x=10$ (четная кратность) знак не меняется. При переходе через $x=8$ (нечетная кратность) знак меняется.

Схема знаков: $(-\infty, 8] \xrightarrow{-} [8] \xrightarrow{+} (10) \xrightarrow{+} (+\infty)$

5. Нам нужны промежутки, где выражение больше или равно нулю ($\ge 0$). Это интервалы со знаком "+" и точка, где выражение равно нулю.

  • Интервалы со знаком "+": $(8, 10) \cup (10, +\infty)$.
  • Точка, где выражение равно нулю: $x=8$.

Объединяя, получаем промежуток $[8, 10) \cup (10, +\infty)$.

Ответ: $x \in [8, 10) \cup (10, +\infty)$.

з) Решим неравенство $\frac{(x-1)^2}{(x-3)(x-4)} > 0$.

1. Нуль числителя: $x=1$. Корень четной кратности (2).

2. Нули знаменателя: $x=3$ и $x=4$. Корни нечетной кратности (1).

3. Неравенство строгое, поэтому все точки ($x=1, x=3, x=4$) выколотые.

4. Наносим точки на числовую ось. Определяем знаки на интервалах. Возьмем $x=5$: $\frac{(5-1)^2}{(5-3)(5-4)} > 0$. При переходе через $x=4$ и $x=3$ (нечетная кратность) знак меняется. При переходе через $x=1$ (четная кратность) знак не меняется.

Схема знаков: $(-\infty, 1) \xrightarrow{+} (1) \xrightarrow{+} (3) \xrightarrow{-} (4) \xrightarrow{+} (+\infty)$

5. Нам нужны интервалы, где выражение строго больше нуля ($> 0$). Это все интервалы со знаком "+". Точка $x=1$ не входит в решение, так как в ней выражение равно нулю, а неравенство строгое.

Получаем объединение интервалов: $(-\infty, 1) \cup (1, 3) \cup (4, +\infty)$.

Ответ: $x \in (-\infty, 1) \cup (1, 3) \cup (4, +\infty)$.

Помогло решение? Оставьте отзыв в комментариях ниже.

Присоединяйтесь к Телеграм-группе @gdz_by_belarus

Присоединиться

Мы подготовили для вас ответ c подробным объяснением домашего задания по алгебре за 9 класс, для упражнения номер 268 расположенного на странице 295 к учебнику 2019 года издания для учащихся школ и гимназий.

Теперь на нашем сайте ГДЗ.ТОП вы всегда легко и бесплатно найдёте условие с правильным ответом на вопрос «Как решить ДЗ» и «Как сделать» задание по алгебре к упражнению №268 (с. 295), авторов: Арефьева (Ирина Глебовна), Пирютко (Ольга Николаевна), учебного пособия издательства Народная асвета.