Номер 267, страница 294 - гдз по алгебре 9 класс учебник Арефьева, Пирютко

Алгебра, 9 класс Учебник, авторы: Арефьева Ирина Глебовна, Пирютко Ольга Николаевна, издательство Народная асвета, Минск, 2019, голубого цвета

Авторы: Арефьева И. Г., Пирютко О. Н.

Тип: Учебник

Издательство: Народная асвета

Год издания: 2019 - 2026

Цвет обложки: голубой, синий с графиком

ISBN: 978-985-03-3077-2

Допущено Министерством образования Республики Беларусь

Популярные ГДЗ в 9 классе

Итоговое повторение. Уравнения, неравенства, системы - номер 267, страница 294.

№267 (с. 294)
Условие. №267 (с. 294)
скриншот условия
Алгебра, 9 класс Учебник, авторы: Арефьева Ирина Глебовна, Пирютко Ольга Николаевна, издательство Народная асвета, Минск, 2019, голубого цвета, страница 294, номер 267, Условие Алгебра, 9 класс Учебник, авторы: Арефьева Ирина Глебовна, Пирютко Ольга Николаевна, издательство Народная асвета, Минск, 2019, голубого цвета, страница 294, номер 267, Условие (продолжение 2)

267. Решите дробно-рациональное уравнение:

а) $ \frac{x^2 + 2x}{x + 4} = \frac{8}{x + 4}; $

б) $ \frac{x^2 - 8x}{5 - x} = \frac{15}{x - 5}; $

в) $ \frac{x^2 + 3x - 4}{x^2 + 2x - 8} = 0; $

г) $ 1 - \frac{2x^2 - x - 6}{2 - x} = 0; $

д) $ \frac{3}{x + 2} + 1 = \frac{4}{x^2 + 4x + 4}; $

е) $ \frac{x}{x^2 - 4} + \frac{x + 1}{x + 2} = 0; $

ж) $ \frac{2x^2 + x - 1}{x + 1} = 3x + 1; $

з) $ \frac{3x + 1}{x} + \frac{5}{x - 2} = \frac{6x - 2}{x^2 - 2x}. $

Решение. №267 (с. 294)
Алгебра, 9 класс Учебник, авторы: Арефьева Ирина Глебовна, Пирютко Ольга Николаевна, издательство Народная асвета, Минск, 2019, голубого цвета, страница 294, номер 267, Решение Алгебра, 9 класс Учебник, авторы: Арефьева Ирина Глебовна, Пирютко Ольга Николаевна, издательство Народная асвета, Минск, 2019, голубого цвета, страница 294, номер 267, Решение (продолжение 2)
Решение 2. №267 (с. 294)

а) $\frac{x^2+2x}{x+4} = \frac{8}{x+4}$

1. Найдём область допустимых значений (ОДЗ). Знаменатель дроби не может быть равен нулю:

$x+4 \neq 0 \implies x \neq -4$

2. Поскольку знаменатели в обеих частях уравнения равны, мы можем приравнять числители:

$x^2 + 2x = 8$

$x^2 + 2x - 8 = 0$

3. Решим полученное квадратное уравнение. По теореме Виета, сумма корней равна -2, а их произведение равно -8. Корни:

$x_1 = 2$, $x_2 = -4$

4. Проверим, соответствуют ли корни ОДЗ.

Корень $x = 2$ удовлетворяет условию $x \neq -4$.

Корень $x = -4$ не удовлетворяет ОДЗ, следовательно, это посторонний корень.

Ответ: 2


б) $\frac{x^2-8x}{5-x} = \frac{15}{x-5}$

1. ОДЗ: $5-x \neq 0$ и $x-5 \neq 0$, что означает $x \neq 5$.

2. Преобразуем знаменатель левой части: $5-x = -(x-5)$.

$\frac{x^2-8x}{-(x-5)} = \frac{15}{x-5}$

$-\frac{x^2-8x}{x-5} = \frac{15}{x-5}$

3. Умножим обе части на $(x-5)$, при $x \neq 5$:

$-(x^2-8x) = 15$

$-x^2+8x = 15$

$x^2-8x+15 = 0$

4. По теореме Виета, корни: $x_1 = 3$, $x_2 = 5$.

5. Проверим корни. Корень $x=5$ не входит в ОДЗ. Корень $x=3$ является решением.

Ответ: 3


в) $\frac{x^2+3x-4}{x^2+2x-8} = 0$

1. Дробь равна нулю, когда её числитель равен нулю, а знаменатель не равен нулю.

$\begin{cases} x^2+3x-4 = 0 \\ x^2+2x-8 \neq 0 \end{cases}$

2. Решим первое уравнение: $x^2+3x-4 = 0$. По теореме Виета, корни: $x_1 = 1$, $x_2 = -4$.

3. Проверим условие для знаменателя: $x^2+2x-8 \neq 0$. Найдем корни уравнения $x^2+2x-8 = 0$. По теореме Виета, это $x=2$ и $x=-4$. Значит, ОДЗ: $x \neq 2$ и $x \neq -4$.

4. Сравним корни числителя с ОДЗ. Корень $x=1$ является решением. Корень $x=-4$ не входит в ОДЗ, поэтому он посторонний.

Ответ: 1


г) $1 - \frac{2x^2-x-6}{2-x} = 0$

1. ОДЗ: $2-x \neq 0 \implies x \neq 2$.

2. Перенесём дробь в правую часть:

$1 = \frac{2x^2-x-6}{2-x}$

3. Умножим обе части на $(2-x)$:

$2-x = 2x^2-x-6$

$2 = 2x^2-6$

$8 = 2x^2$

$x^2 = 4$

4. Корни: $x_1 = 2$, $x_2 = -2$.

5. Проверим корни. Корень $x=2$ не входит в ОДЗ. Корень $x=-2$ является решением.

Ответ: -2


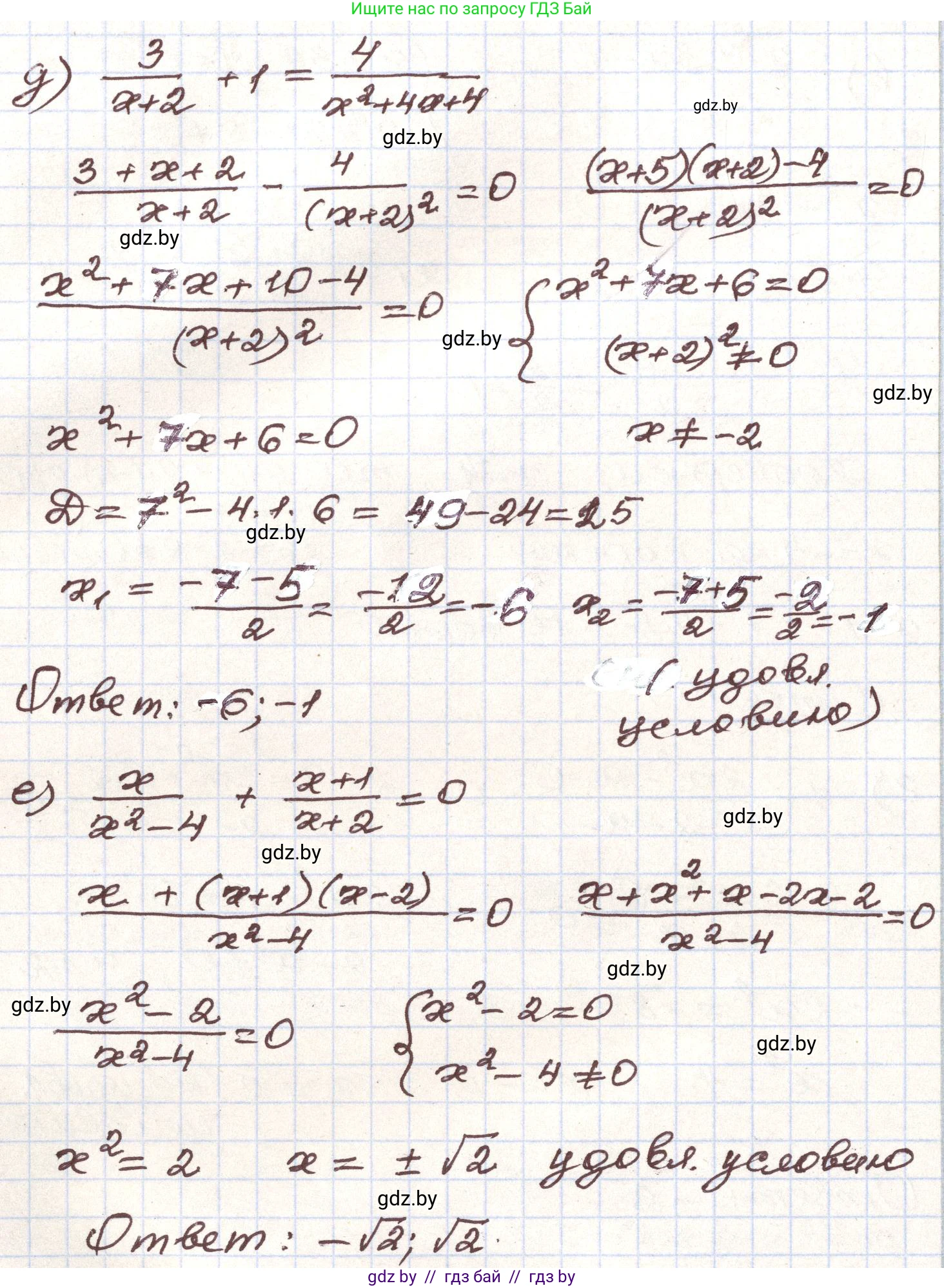
д) $\frac{3}{x+2} + 1 = \frac{4}{x^2+4x+4}$

1. Заметим, что $x^2+4x+4 = (x+2)^2$. Уравнение принимает вид:

$\frac{3}{x+2} + 1 = \frac{4}{(x+2)^2}$

2. ОДЗ: $x+2 \neq 0 \implies x \neq -2$.

3. Умножим обе части на общий знаменатель $(x+2)^2$:

$3(x+2) + (x+2)^2 = 4$

$3x+6 + x^2+4x+4 = 4$

$x^2+7x+10 = 4$

$x^2+7x+6 = 0$

4. По теореме Виета, корни: $x_1 = -1$, $x_2 = -6$.

5. Оба корня удовлетворяют ОДЗ.

Ответ: -1; -6


е) $\frac{x}{x^2-4} + \frac{x+1}{x+2} = 0$

1. Разложим знаменатель первой дроби на множители: $x^2-4 = (x-2)(x+2)$.

$\frac{x}{(x-2)(x+2)} + \frac{x+1}{x+2} = 0$

2. ОДЗ: $x \neq 2$ и $x \neq -2$.

3. Приведем к общему знаменателю $(x-2)(x+2)$:

$\frac{x + (x+1)(x-2)}{(x-2)(x+2)} = 0$

4. Приравняем числитель к нулю:

$x + (x^2-2x+x-2) = 0$

$x + x^2-x-2 = 0$

$x^2-2 = 0$

$x^2=2$

5. Корни: $x_1 = \sqrt{2}$, $x_2 = -\sqrt{2}$.

6. Оба корня удовлетворяют ОДЗ.

Ответ: $\sqrt{2}$; $-\sqrt{2}$


ж) $\frac{2x^2+x-1}{x+1} = 3x+1$

1. ОДЗ: $x+1 \neq 0 \implies x \neq -1$.

2. Умножим обе части на $(x+1)$:

$2x^2+x-1 = (3x+1)(x+1)$

$2x^2+x-1 = 3x^2+3x+x+1$

$2x^2+x-1 = 3x^2+4x+1$

$0 = x^2+3x+2$

3. По теореме Виета, корни: $x_1 = -1$, $x_2 = -2$.

4. Проверим корни. Корень $x=-1$ не входит в ОДЗ. Корень $x=-2$ является решением.

Ответ: -2


з) $\frac{3x+1}{x} + \frac{5}{x-2} = \frac{6x-2}{x^2-2x}$

1. Разложим знаменатель правой части: $x^2-2x = x(x-2)$.

$\frac{3x+1}{x} + \frac{5}{x-2} = \frac{6x-2}{x(x-2)}$

2. ОДЗ: $x \neq 0$ и $x \neq 2$.

3. Умножим обе части на общий знаменатель $x(x-2)$:

$(3x+1)(x-2) + 5x = 6x-2$

$3x^2-6x+x-2 + 5x = 6x-2$

$3x^2 - 2 = 6x - 2$

$3x^2 - 6x = 0$

$3x(x-2) = 0$

4. Потенциальные корни: $x=0$ и $x=2$.

5. Проверим корни. Оба корня, $x=0$ и $x=2$, не входят в ОДЗ. Следовательно, они являются посторонними.

Ответ: корней нет

Помогло решение? Оставьте отзыв в комментариях ниже.

Присоединяйтесь к Телеграм-группе @gdz_by_belarus

Присоединиться

Мы подготовили для вас ответ c подробным объяснением домашего задания по алгебре за 9 класс, для упражнения номер 267 расположенного на странице 294 к учебнику 2019 года издания для учащихся школ и гимназий.

Теперь на нашем сайте ГДЗ.ТОП вы всегда легко и бесплатно найдёте условие с правильным ответом на вопрос «Как решить ДЗ» и «Как сделать» задание по алгебре к упражнению №267 (с. 294), авторов: Арефьева (Ирина Глебовна), Пирютко (Ольга Николаевна), учебного пособия издательства Народная асвета.