Номер 3.98, страница 169 - гдз по алгебре 9 класс учебник Арефьева, Пирютко

Алгебра, 9 класс Учебник, авторы: Арефьева Ирина Глебовна, Пирютко Ольга Николаевна, издательство Народная асвета, Минск, 2019, голубого цвета

Авторы: Арефьева И. Г., Пирютко О. Н.

Тип: Учебник

Издательство: Народная асвета

Год издания: 2019 - 2026

Цвет обложки: голубой, синий с графиком

ISBN: 978-985-03-3077-2

Допущено Министерством образования Республики Беларусь

Популярные ГДЗ в 9 классе

Глава 3. Дробно-рациональные уравнения и неравенства. Параграф 11. Системы нелинейных уравнений - номер 3.98, страница 169.

№3.98 (с. 169)
Условие. №3.98 (с. 169)
скриншот условия
Алгебра, 9 класс Учебник, авторы: Арефьева Ирина Глебовна, Пирютко Ольга Николаевна, издательство Народная асвета, Минск, 2019, голубого цвета, страница 169, номер 3.98, Условие

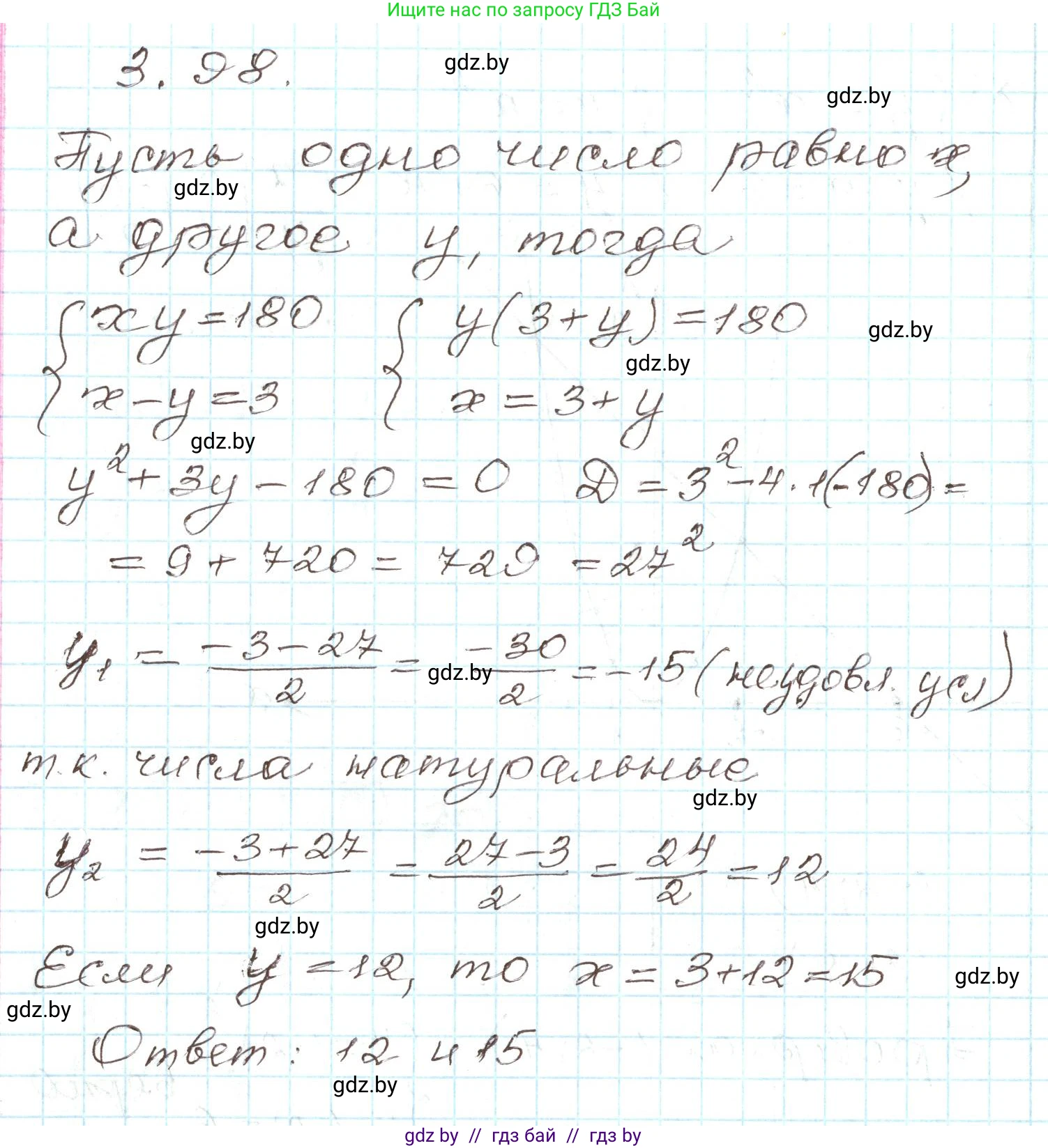
3.98. Произведение двух натуральных чисел равно 180, а их разность равна 3. Найдите эти числа.

Решение. №3.98 (с. 169)
Алгебра, 9 класс Учебник, авторы: Арефьева Ирина Глебовна, Пирютко Ольга Николаевна, издательство Народная асвета, Минск, 2019, голубого цвета, страница 169, номер 3.98, Решение
Решение 2. №3.98 (с. 169)

Пусть искомые натуральные числа — это $x$ и $y$. Согласно условию задачи, их произведение равно 180, а разность равна 3. Составим систему уравнений:

$$ \begin{cases} x \cdot y = 180 \\ x - y = 3 \end{cases} $$

Из второго уравнения выразим $x$ через $y$:

$$ x = y + 3 $$

Подставим полученное выражение для $x$ в первое уравнение системы:

$$ (y + 3) \cdot y = 180 $$

Раскроем скобки и приведём уравнение к стандартному квадратному виду $ay^2+by+c=0$:

$$ y^2 + 3y - 180 = 0 $$

Решим это квадратное уравнение с помощью дискриминанта $D = b^2 - 4ac$:

$$ D = 3^2 - 4 \cdot 1 \cdot (-180) = 9 + 720 = 729 $$

Поскольку $D > 0$, уравнение имеет два корня. Найдём их:

$$ y_{1,2} = \frac{-b \pm \sqrt{D}}{2a} = \frac{-3 \pm \sqrt{729}}{2 \cdot 1} = \frac{-3 \pm 27}{2} $$

Получаем два значения для $y$:

$y_1 = \frac{-3 + 27}{2} = \frac{24}{2} = 12$

$y_2 = \frac{-3 - 27}{2} = \frac{-30}{2} = -15$

По условию задачи, числа должны быть натуральными (положительными целыми числами). Следовательно, корень $y_2 = -15$ не является решением, так как это не натуральное число.

Итак, одно из чисел равно $y = 12$.

Теперь найдём второе число $x$, подставив значение $y$ в выражение $x = y + 3$:

$$ x = 12 + 3 = 15 $$

Таким образом, искомые числа — 12 и 15.

Проверка: произведение чисел $15 \cdot 12 = 180$, разность чисел $15 - 12 = 3$. Оба условия выполнены.

Ответ: 12 и 15.

Помогло решение? Оставьте отзыв в комментариях ниже.

Присоединяйтесь к Телеграм-группе @gdz_by_belarus

Присоединиться

Мы подготовили для вас ответ c подробным объяснением домашего задания по алгебре за 9 класс, для упражнения номер 3.98 расположенного на странице 169 к учебнику 2019 года издания для учащихся школ и гимназий.

Теперь на нашем сайте ГДЗ.ТОП вы всегда легко и бесплатно найдёте условие с правильным ответом на вопрос «Как решить ДЗ» и «Как сделать» задание по алгебре к упражнению №3.98 (с. 169), авторов: Арефьева (Ирина Глебовна), Пирютко (Ольга Николаевна), учебного пособия издательства Народная асвета.