Номер 3.103, страница 170 - гдз по алгебре 9 класс учебник Арефьева, Пирютко

Алгебра, 9 класс Учебник, авторы: Арефьева Ирина Глебовна, Пирютко Ольга Николаевна, издательство Народная асвета, Минск, 2019, голубого цвета

Авторы: Арефьева И. Г., Пирютко О. Н.

Тип: Учебник

Издательство: Народная асвета

Год издания: 2019 - 2026

Цвет обложки: голубой, синий с графиком

ISBN: 978-985-03-3077-2

Допущено Министерством образования Республики Беларусь

Популярные ГДЗ в 9 классе

Глава 3. Дробно-рациональные уравнения и неравенства. Параграф 11. Системы нелинейных уравнений - номер 3.103, страница 170.

№3.103 (с. 170)
Условие. №3.103 (с. 170)
скриншот условия
Алгебра, 9 класс Учебник, авторы: Арефьева Ирина Глебовна, Пирютко Ольга Николаевна, издательство Народная асвета, Минск, 2019, голубого цвета, страница 170, номер 3.103, Условие

3.103. Решите систему уравнений:

a) $\begin{cases} x - y = 7, \\ xy = 18; \end{cases}$

б) $\begin{cases} xy = 24, \\ x + 2y = 14; \end{cases}$

в) $\begin{cases} x^2 - y^2 = 24, \\ x + y = 4; \end{cases}$

г) $\begin{cases} x - y = 2; \\ x^2 + y^2 = 20. \end{cases}$

Решение. №3.103 (с. 170)
Алгебра, 9 класс Учебник, авторы: Арефьева Ирина Глебовна, Пирютко Ольга Николаевна, издательство Народная асвета, Минск, 2019, голубого цвета, страница 170, номер 3.103, Решение Алгебра, 9 класс Учебник, авторы: Арефьева Ирина Глебовна, Пирютко Ольга Николаевна, издательство Народная асвета, Минск, 2019, голубого цвета, страница 170, номер 3.103, Решение (продолжение 2)
Решение 2. №3.103 (с. 170)

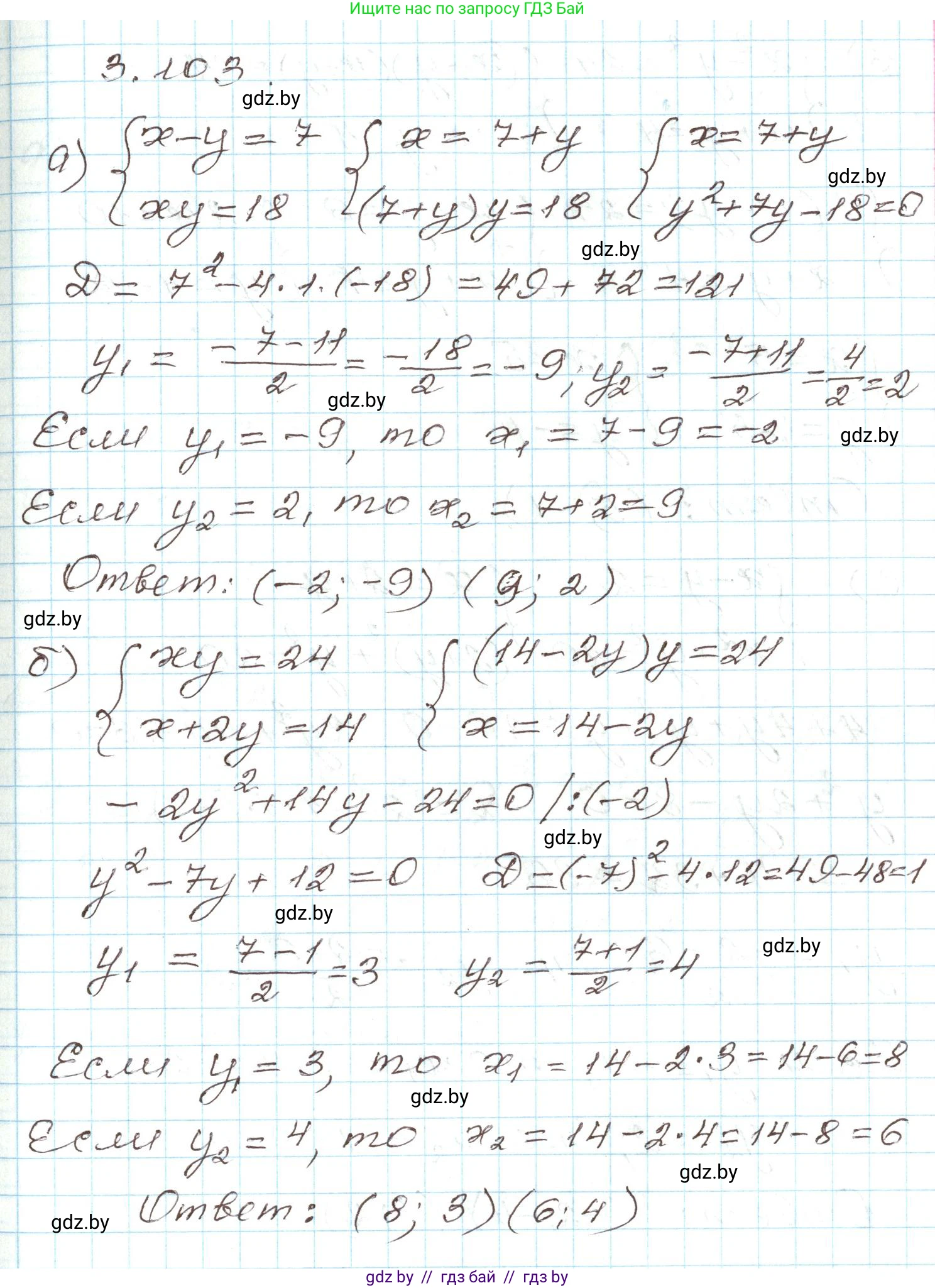
а) Дана система уравнений:

$ \begin{cases} x - y = 7, \\ xy = 18; \end{cases} $

Из первого уравнения выразим $x$ через $y$:

$x = 7 + y$

Подставим это выражение во второе уравнение системы:

$(7 + y)y = 18$

$7y + y^2 = 18$

$y^2 + 7y - 18 = 0$

Решим полученное квадратное уравнение с помощью дискриминанта:

$D = b^2 - 4ac = 7^2 - 4 \cdot 1 \cdot (-18) = 49 + 72 = 121 = 11^2$

Находим корни уравнения для $y$:

$y_1 = \frac{-7 - 11}{2 \cdot 1} = \frac{-18}{2} = -9$

$y_2 = \frac{-7 + 11}{2 \cdot 1} = \frac{4}{2} = 2$

Теперь найдем соответствующие значения $x$:

При $y_1 = -9$, $x_1 = 7 + (-9) = -2$.

При $y_2 = 2$, $x_2 = 7 + 2 = 9$.

Ответ: $(-2, -9)$; $(9, 2)$.

б) Дана система уравнений:

$ \begin{cases} xy = 24, \\ x + 2y = 14; \end{cases} $

Из второго уравнения выразим $x$ через $y$:

$x = 14 - 2y$

Подставим это выражение в первое уравнение системы:

$(14 - 2y)y = 24$

$14y - 2y^2 = 24$

Перенесем все члены в одну сторону и приведем к стандартному виду квадратного уравнения:

$2y^2 - 14y + 24 = 0$

Разделим уравнение на 2 для упрощения:

$y^2 - 7y + 12 = 0$

Решим полученное квадратное уравнение. По теореме Виета, сумма корней равна 7, а произведение 12, следовательно, корни $y_1=3$ и $y_2=4$.

Найдем соответствующие значения $x$:

При $y_1 = 3$, $x_1 = 14 - 2(3) = 14 - 6 = 8$.

При $y_2 = 4$, $x_2 = 14 - 2(4) = 14 - 8 = 6$.

Ответ: $(8, 3)$; $(6, 4)$.

в) Дана система уравнений:

$ \begin{cases} x^2 - y^2 = 24, \\ x + y = 4; \end{cases} $

Воспользуемся формулой разности квадратов для первого уравнения: $x^2 - y^2 = (x - y)(x + y)$.

$ \begin{cases} (x - y)(x + y) = 24, \\ x + y = 4; \end{cases} $

Подставим второе уравнение в первое:

$(x - y) \cdot 4 = 24$

$x - y = \frac{24}{4}$

$x - y = 6$

Теперь решим систему двух линейных уравнений:

$ \begin{cases} x + y = 4, \\ x - y = 6; \end{cases} $

Сложим эти два уравнения:

$(x + y) + (x - y) = 4 + 6$

$2x = 10$

$x = 5$

Подставим значение $x=5$ в уравнение $x + y = 4$:

$5 + y = 4$

$y = 4 - 5 = -1$

Ответ: $(5, -1)$.

г) Дана система уравнений:

$ \begin{cases} x - y = 2, \\ x^2 + y^2 = 20; \end{cases} $

Из первого уравнения выразим $x$ через $y$:

$x = y + 2$

Подставим это выражение во второе уравнение:

$(y + 2)^2 + y^2 = 20$

Раскроем скобки и приведем подобные слагаемые:

$y^2 + 4y + 4 + y^2 = 20$

$2y^2 + 4y - 16 = 0$

Разделим уравнение на 2:

$y^2 + 2y - 8 = 0$

Решим полученное квадратное уравнение. По теореме Виета, сумма корней равна -2, а произведение -8, следовательно, корни $y_1=2$ и $y_2=-4$.

Найдем соответствующие значения $x$:

При $y_1 = 2$, $x_1 = 2 + 2 = 4$.

При $y_2 = -4$, $x_2 = -4 + 2 = -2$.

Ответ: $(4, 2)$; $(-2, -4)$.

Помогло решение? Оставьте отзыв в комментариях ниже.

Присоединяйтесь к Телеграм-группе @gdz_by_belarus

Присоединиться

Мы подготовили для вас ответ c подробным объяснением домашего задания по алгебре за 9 класс, для упражнения номер 3.103 расположенного на странице 170 к учебнику 2019 года издания для учащихся школ и гимназий.

Теперь на нашем сайте ГДЗ.ТОП вы всегда легко и бесплатно найдёте условие с правильным ответом на вопрос «Как решить ДЗ» и «Как сделать» задание по алгебре к упражнению №3.103 (с. 170), авторов: Арефьева (Ирина Глебовна), Пирютко (Ольга Николаевна), учебного пособия издательства Народная асвета.