Номер 3.92, страница 168 - гдз по алгебре 9 класс учебник Арефьева, Пирютко

Алгебра, 9 класс Учебник, авторы: Арефьева Ирина Глебовна, Пирютко Ольга Николаевна, издательство Народная асвета, Минск, 2019, голубого цвета

Авторы: Арефьева И. Г., Пирютко О. Н.

Тип: Учебник

Издательство: Народная асвета

Год издания: 2019 - 2026

Цвет обложки: голубой, синий с графиком

ISBN: 978-985-03-3077-2

Допущено Министерством образования Республики Беларусь

Популярные ГДЗ в 9 классе

Глава 3. Дробно-рациональные уравнения и неравенства. Параграф 11. Системы нелинейных уравнений - номер 3.92, страница 168.

№3.92 (с. 168)
Условие. №3.92 (с. 168)
скриншот условия
Алгебра, 9 класс Учебник, авторы: Арефьева Ирина Глебовна, Пирютко Ольга Николаевна, издательство Народная асвета, Минск, 2019, голубого цвета, страница 168, номер 3.92, Условие

3.92*. Решите систему уравнений:

а) $\begin{cases} 4x^2 - 2xy + y^2 = 4, \\ 6x^2 - 3xy - y^2 = -4; \end{cases}$

б) $\begin{cases} x^2 - 5xy + 6y^2 = 0, \\ 3x^2 + 2xy - y^2 = 15. \end{cases}$

Решение. №3.92 (с. 168)
Алгебра, 9 класс Учебник, авторы: Арефьева Ирина Глебовна, Пирютко Ольга Николаевна, издательство Народная асвета, Минск, 2019, голубого цвета, страница 168, номер 3.92, Решение Алгебра, 9 класс Учебник, авторы: Арефьева Ирина Глебовна, Пирютко Ольга Николаевна, издательство Народная асвета, Минск, 2019, голубого цвета, страница 168, номер 3.92, Решение (продолжение 2)
Решение 2. №3.92 (с. 168)

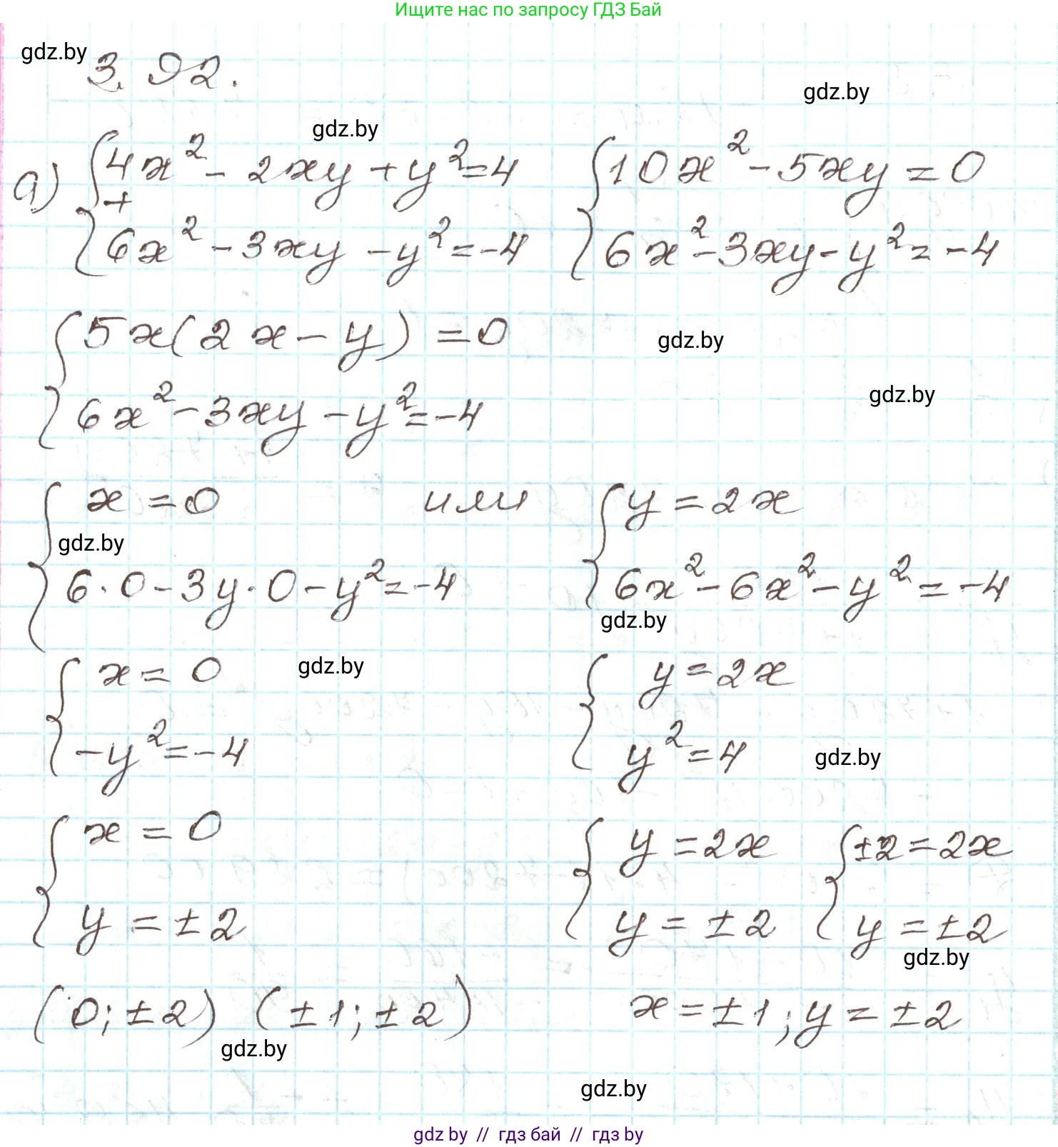
а) Дана система уравнений: $$ \begin{cases} 4x^2 - 2xy + y^2 = 4 \\ 6x^2 - 3xy - y^2 = -4 \end{cases} $$

Левые части уравнений являются однородными многочленами второй степени, а правые — константами. Чтобы решить такую систему, можно сложить уравнения для получения нового однородного уравнения (с нулем в правой части).

Сложим первое и второе уравнения системы:

$(4x^2 - 2xy + y^2) + (6x^2 - 3xy - y^2) = 4 + (-4)$

$10x^2 - 5xy = 0$

Вынесем общий множитель $5x$ за скобки:

$5x(2x - y) = 0$

Это уравнение распадается на два случая:

  1. $x = 0$
  2. $2x - y = 0 \implies y = 2x$

Рассмотрим каждый случай отдельно, подставляя полученные соотношения в любое из исходных уравнений. Возьмем первое уравнение: $4x^2 - 2xy + y^2 = 4$.

Случай 1: $x = 0$.

Подставляем $x = 0$ в первое уравнение: $4(0)^2 - 2(0)y + y^2 = 4 \implies y^2 = 4 \implies y = \pm 2$.

Получаем две пары решений: $(0, 2)$ и $(0, -2)$.

Случай 2: $y = 2x$.

Подставляем $y = 2x$ в первое уравнение:

$4x^2 - 2x(2x) + (2x)^2 = 4$

$4x^2 - 4x^2 + 4x^2 = 4 \implies 4x^2 = 4 \implies x^2 = 1 \implies x = \pm 1$.

Если $x = 1$, то $y = 2(1) = 2$.
Если $x = -1$, то $y = 2(-1) = -2$.

Получаем еще две пары решений: $(1, 2)$ и $(-1, -2)$.

Проверка показывает, что все четыре найденные пары являются решениями исходной системы.
Ответ: $(0; 2)$, $(0; -2)$, $(1; 2)$, $(-1; -2)$.

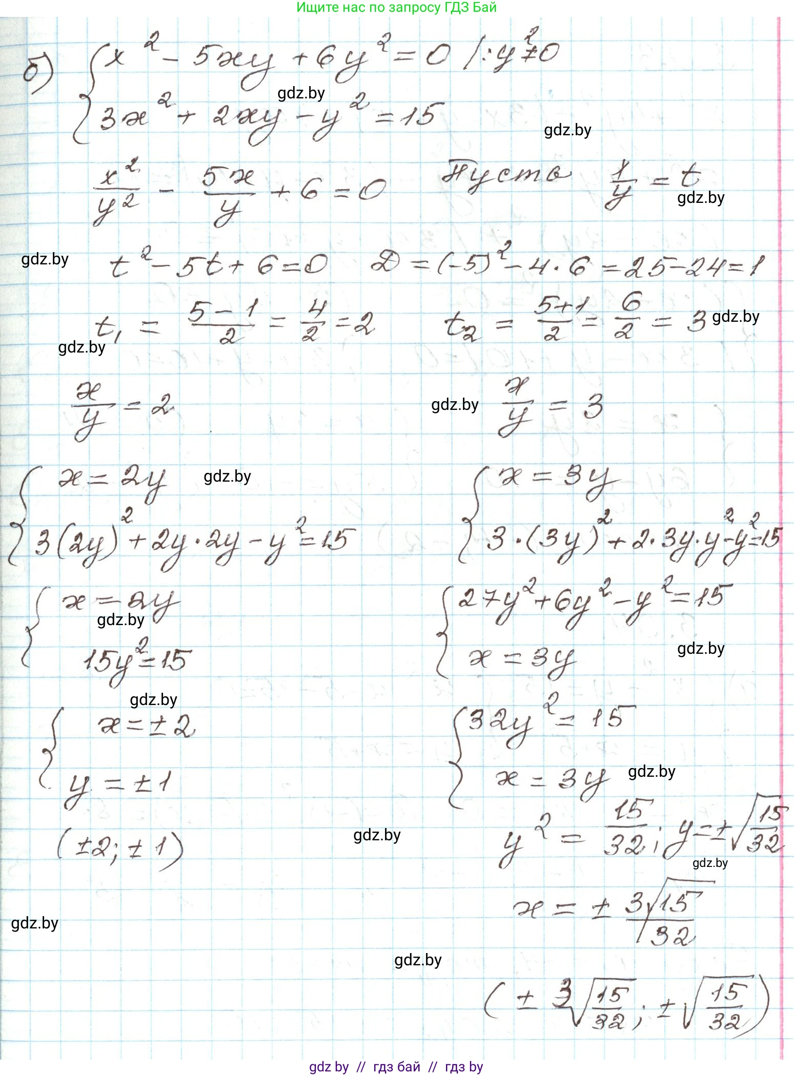
б) Дана система уравнений: $$ \begin{cases} x^2 - 5xy + 6y^2 = 0 \\ 3x^2 + 2xy - y^2 = 15 \end{cases} $$

Первое уравнение системы, $x^2 - 5xy + 6y^2 = 0$, является однородным уравнением второй степени. Решим его.

Сначала проверим случай $y=0$. Если $y=0$, то из первого уравнения следует $x^2=0$, то есть $x=0$. Пара $(0, 0)$ является решением первого уравнения. Однако, при подстановке во второе уравнение получаем $3(0)^2 + 2(0)(0) - (0)^2 = 0 \neq 15$. Следовательно, $(0,0)$ не является решением системы, а значит $y \neq 0$.

Поскольку $y \neq 0$, мы можем разделить обе части первого уравнения на $y^2$:

$\frac{x^2}{y^2} - \frac{5xy}{y^2} + \frac{6y^2}{y^2} = 0 \implies (\frac{x}{y})^2 - 5(\frac{x}{y}) + 6 = 0$.

Сделаем замену $t = \frac{x}{y}$. Получаем квадратное уравнение:

$t^2 - 5t + 6 = 0$.

Корни этого уравнения (например, по теореме Виета) $t_1 = 2$ и $t_2 = 3$.

Возвращаемся к переменным $x$ и $y$, получая два случая:

  1. $\frac{x}{y} = 2 \implies x = 2y$
  2. $\frac{x}{y} = 3 \implies x = 3y$

Подставим поочередно эти соотношения во второе уравнение системы $3x^2 + 2xy - y^2 = 15$.

Случай 1: $x = 2y$.

$3(2y)^2 + 2(2y)y - y^2 = 15$

$3(4y^2) + 4y^2 - y^2 = 15 \implies 12y^2 + 4y^2 - y^2 = 15 \implies 15y^2 = 15 \implies y^2 = 1 \implies y = \pm 1$.

При $y=1$, $x=2(1)=2$. При $y=-1$, $x=2(-1)=-2$.

Получаем две пары решений: $(2, 1)$ и $(-2, -1)$.

Случай 2: $x = 3y$.

$3(3y)^2 + 2(3y)y - y^2 = 15$

$3(9y^2) + 6y^2 - y^2 = 15 \implies 27y^2 + 6y^2 - y^2 = 15 \implies 32y^2 = 15 \implies y^2 = \frac{15}{32}$.

$y = \pm \sqrt{\frac{15}{32}} = \pm \frac{\sqrt{15}}{\sqrt{16 \cdot 2}} = \pm \frac{\sqrt{15}}{4\sqrt{2}} = \pm \frac{\sqrt{15}\sqrt{2}}{4\sqrt{2}\sqrt{2}} = \pm \frac{\sqrt{30}}{8}$.

При $y = \frac{\sqrt{30}}{8}$, $x = 3y = \frac{3\sqrt{30}}{8}$.

При $y = -\frac{\sqrt{30}}{8}$, $x = 3y = -\frac{3\sqrt{30}}{8}$.

Получаем еще две пары решений: $(\frac{3\sqrt{30}}{8}, \frac{\sqrt{30}}{8})$ и $(-\frac{3\sqrt{30}}{8}, -\frac{\sqrt{30}}{8})$.

Таким образом, система имеет четыре решения.
Ответ: $(2; 1)$, $(-2; -1)$, $(\frac{3\sqrt{30}}{8}; \frac{\sqrt{30}}{8})$, $(-\frac{3\sqrt{30}}{8}; -\frac{\sqrt{30}}{8})$.

Помогло решение? Оставьте отзыв в комментариях ниже.

Присоединяйтесь к Телеграм-группе @gdz_by_belarus

Присоединиться

Мы подготовили для вас ответ c подробным объяснением домашего задания по алгебре за 9 класс, для упражнения номер 3.92 расположенного на странице 168 к учебнику 2019 года издания для учащихся школ и гимназий.

Теперь на нашем сайте ГДЗ.ТОП вы всегда легко и бесплатно найдёте условие с правильным ответом на вопрос «Как решить ДЗ» и «Как сделать» задание по алгебре к упражнению №3.92 (с. 168), авторов: Арефьева (Ирина Глебовна), Пирютко (Ольга Николаевна), учебного пособия издательства Народная асвета.