Номер 3.104, страница 170 - гдз по алгебре 9 класс учебник Арефьева, Пирютко

Алгебра, 9 класс Учебник, авторы: Арефьева Ирина Глебовна, Пирютко Ольга Николаевна, издательство Народная асвета, Минск, 2019, голубого цвета

Авторы: Арефьева И. Г., Пирютко О. Н.

Тип: Учебник

Издательство: Народная асвета

Год издания: 2019 - 2026

Цвет обложки: голубой, синий с графиком

ISBN: 978-985-03-3077-2

Допущено Министерством образования Республики Беларусь

Популярные ГДЗ в 9 классе

Глава 3. Дробно-рациональные уравнения и неравенства. Параграф 11. Системы нелинейных уравнений - номер 3.104, страница 170.

№3.104 (с. 170)
Условие. №3.104 (с. 170)
скриншот условия
Алгебра, 9 класс Учебник, авторы: Арефьева Ирина Глебовна, Пирютко Ольга Николаевна, издательство Народная асвета, Минск, 2019, голубого цвета, страница 170, номер 3.104, Условие

3.104. Решите систему уравнений:

а) $\begin{cases}6x^2 + y^2 - 5y = 0, \\3x + y = 0;\end{cases}$

б) $\begin{cases}x + y = 3, \\x^2 + y^2 - xy = 3;\end{cases}$

в) $\begin{cases}x^2 + xy + y^2 = 7, \\2x = y - 7;\end{cases}$

г) $\begin{cases}(x - 2)(y + 2) = -1, \\x - y = 2.\end{cases}$

Решение. №3.104 (с. 170)
Алгебра, 9 класс Учебник, авторы: Арефьева Ирина Глебовна, Пирютко Ольга Николаевна, издательство Народная асвета, Минск, 2019, голубого цвета, страница 170, номер 3.104, Решение Алгебра, 9 класс Учебник, авторы: Арефьева Ирина Глебовна, Пирютко Ольга Николаевна, издательство Народная асвета, Минск, 2019, голубого цвета, страница 170, номер 3.104, Решение (продолжение 2)
Решение 2. №3.104 (с. 170)

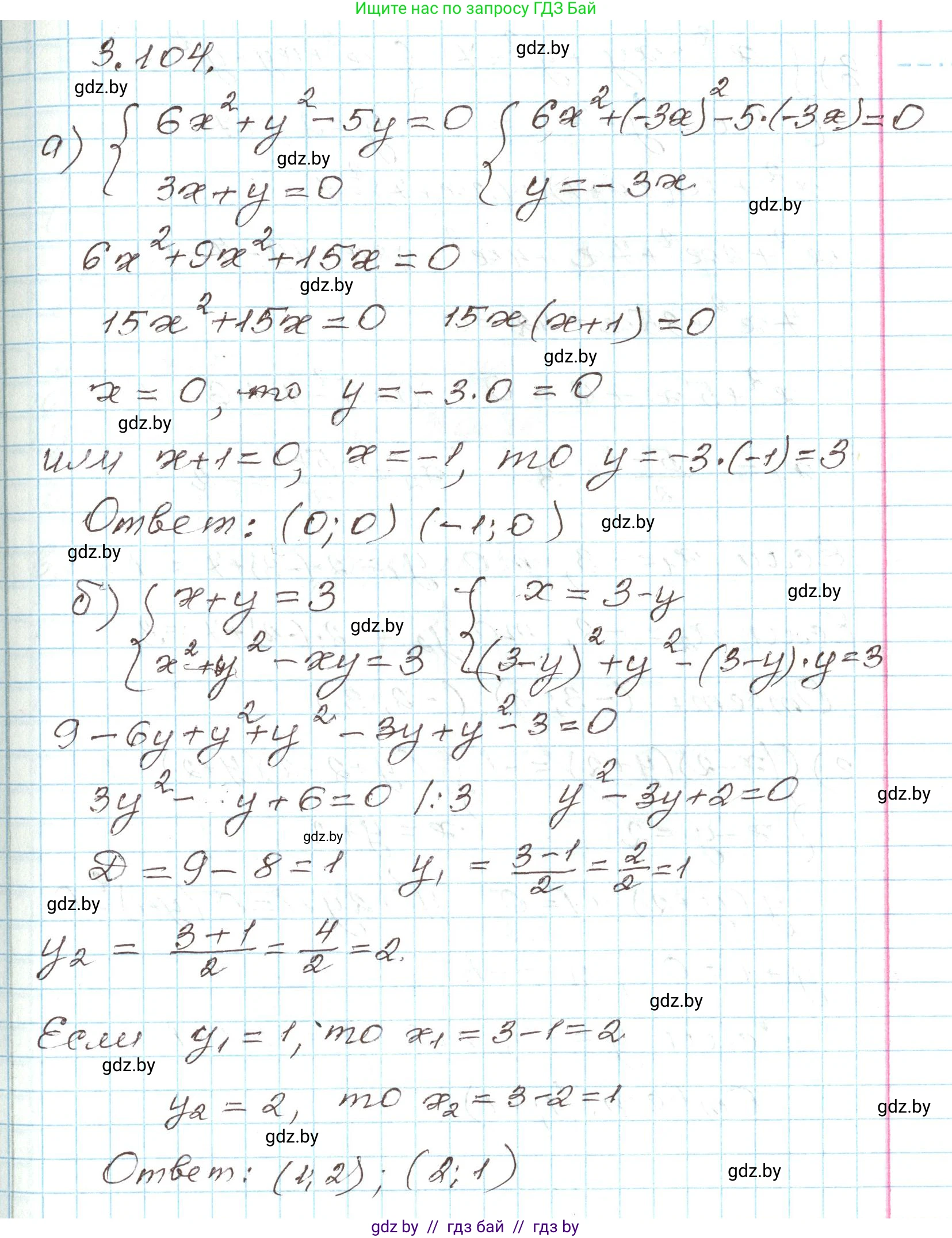
a) Дана система уравнений:

$$ \begin{cases} 6x^2 + y^2 - 5y = 0 \\ 3x + y = 0 \end{cases} $$

Для решения системы используем метод подстановки. Из второго уравнения выразим $y$ через $x$:

$y = -3x$

Подставим полученное выражение для $y$ в первое уравнение системы:

$6x^2 + (-3x)^2 - 5(-3x) = 0$

Раскроем скобки и упростим уравнение:

$6x^2 + 9x^2 + 15x = 0$

$15x^2 + 15x = 0$

Вынесем общий множитель $15x$ за скобки:

$15x(x + 1) = 0$

Произведение равно нулю, если один из множителей равен нулю. Отсюда получаем два возможных значения для $x$:

1) $15x = 0 \Rightarrow x_1 = 0$

2) $x + 1 = 0 \Rightarrow x_2 = -1$

Теперь найдем соответствующие значения $y$, используя формулу $y = -3x$:

1) Если $x_1 = 0$, то $y_1 = -3 \cdot 0 = 0$. Получаем решение (0; 0).

2) Если $x_2 = -1$, то $y_2 = -3 \cdot (-1) = 3$. Получаем решение (-1; 3).

Ответ: (0; 0), (-1; 3).

б) Дана система уравнений:

$$ \begin{cases} x + y = 3 \\ x^2 + y^2 - xy = 3 \end{cases} $$

Из первого уравнения выразим $y$ через $x$:

$y = 3 - x$

Подставим это выражение во второе уравнение:

$x^2 + (3 - x)^2 - x(3 - x) = 3$

Раскроем скобки:

$x^2 + (9 - 6x + x^2) - (3x - x^2) = 3$

$x^2 + 9 - 6x + x^2 - 3x + x^2 = 3$

Приведем подобные слагаемые:

$3x^2 - 9x + 9 = 3$

Перенесем 3 в левую часть:

$3x^2 - 9x + 6 = 0$

Разделим все уравнение на 3 для упрощения:

$x^2 - 3x + 2 = 0$

Это приведенное квадратное уравнение. Его корни можно найти по теореме Виета: сумма корней равна 3, а произведение равно 2. Следовательно, корни $x_1 = 1$ и $x_2 = 2$.

Найдем соответствующие значения $y$:

1) Если $x_1 = 1$, то $y_1 = 3 - 1 = 2$. Получаем решение (1; 2).

2) Если $x_2 = 2$, то $y_2 = 3 - 2 = 1$. Получаем решение (2; 1).

Ответ: (1; 2), (2; 1).

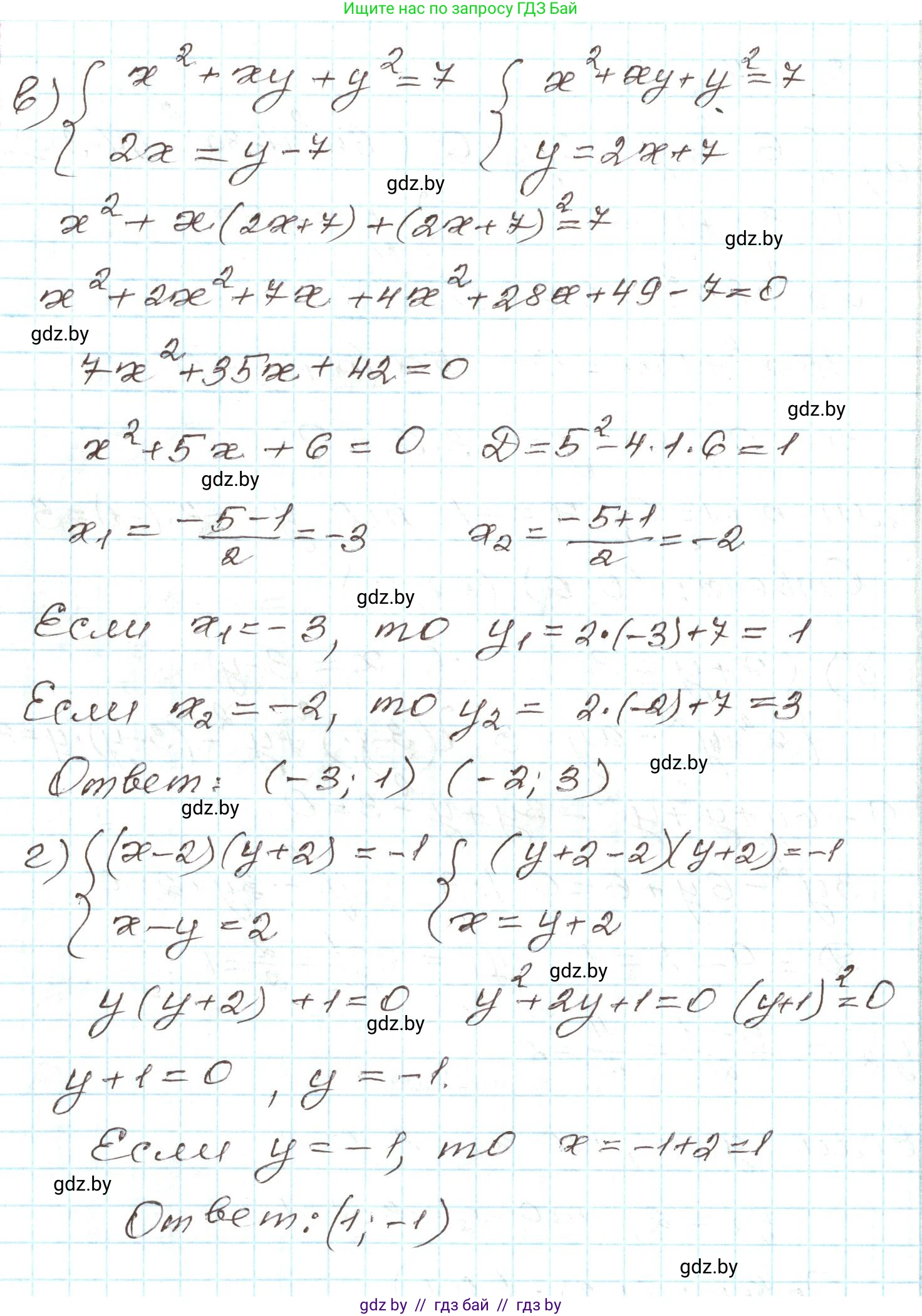
в) Дана система уравнений:

$$ \begin{cases} x^2 + xy + y^2 = 7 \\ 2x = y - 7 \end{cases} $$

Из второго уравнения выразим $y$ через $x$:

$y = 2x + 7$

Подставим это выражение в первое уравнение:

$x^2 + x(2x + 7) + (2x + 7)^2 = 7$

Раскроем скобки:

$x^2 + 2x^2 + 7x + (4x^2 + 28x + 49) = 7$

Приведем подобные слагаемые:

$7x^2 + 35x + 49 = 7$

$7x^2 + 35x + 42 = 0$

Разделим все уравнение на 7:

$x^2 + 5x + 6 = 0$

Найдем корни квадратного уравнения. По теореме Виета, сумма корней равна -5, а произведение равно 6. Следовательно, корни $x_1 = -2$ и $x_2 = -3$.

Найдем соответствующие значения $y$:

1) Если $x_1 = -2$, то $y_1 = 2(-2) + 7 = -4 + 7 = 3$. Получаем решение (-2; 3).

2) Если $x_2 = -3$, то $y_2 = 2(-3) + 7 = -6 + 7 = 1$. Получаем решение (-3; 1).

Ответ: (-2; 3), (-3; 1).

г) Дана система уравнений:

$$ \begin{cases} (x - 2)(y + 2) = -1 \\ x - y = 2 \end{cases} $$

Из второго уравнения выразим $x$ через $y$:

$x = y + 2$

Подставим это выражение в первое уравнение:

$((y + 2) - 2)(y + 2) = -1$

$y(y + 2) = -1$

Раскроем скобки и перенесем все в левую часть:

$y^2 + 2y + 1 = 0$

Свернем левую часть по формуле квадрата суммы:

$(y + 1)^2 = 0$

Отсюда находим единственное значение для $y$:

$y + 1 = 0 \Rightarrow y = -1$

Теперь найдем соответствующее значение $x$:

$x = y + 2 = -1 + 2 = 1$.

Система имеет одно решение.

Ответ: (1; -1).

Помогло решение? Оставьте отзыв в комментариях ниже.

Присоединяйтесь к Телеграм-группе @gdz_by_belarus

Присоединиться

Мы подготовили для вас ответ c подробным объяснением домашего задания по алгебре за 9 класс, для упражнения номер 3.104 расположенного на странице 170 к учебнику 2019 года издания для учащихся школ и гимназий.

Теперь на нашем сайте ГДЗ.ТОП вы всегда легко и бесплатно найдёте условие с правильным ответом на вопрос «Как решить ДЗ» и «Как сделать» задание по алгебре к упражнению №3.104 (с. 170), авторов: Арефьева (Ирина Глебовна), Пирютко (Ольга Николаевна), учебного пособия издательства Народная асвета.