Номер 1.180, страница 55 - гдз по алгебре 9 класс учебник Арефьева, Пирютко

Алгебра, 9 класс Учебник, авторы: Арефьева Ирина Глебовна, Пирютко Ольга Николаевна, издательство Народная асвета, Минск, 2019, голубого цвета

Авторы: Арефьева И. Г., Пирютко О. Н.

Тип: Учебник

Издательство: Народная асвета

Год издания: 2019 - 2026

Цвет обложки: голубой, синий с графиком

ISBN: 978-985-03-3077-2

Допущено Министерством образования Республики Беларусь

Популярные ГДЗ в 9 классе

Глава 1. Рациональные выражения. Параграф 4. Умножение и деление рациональных дробей - номер 1.180, страница 55.

№1.180 (с. 55)
Условие. №1.180 (с. 55)
скриншот условия
Алгебра, 9 класс Учебник, авторы: Арефьева Ирина Глебовна, Пирютко Ольга Николаевна, издательство Народная асвета, Минск, 2019, голубого цвета, страница 55, номер 1.180, Условие

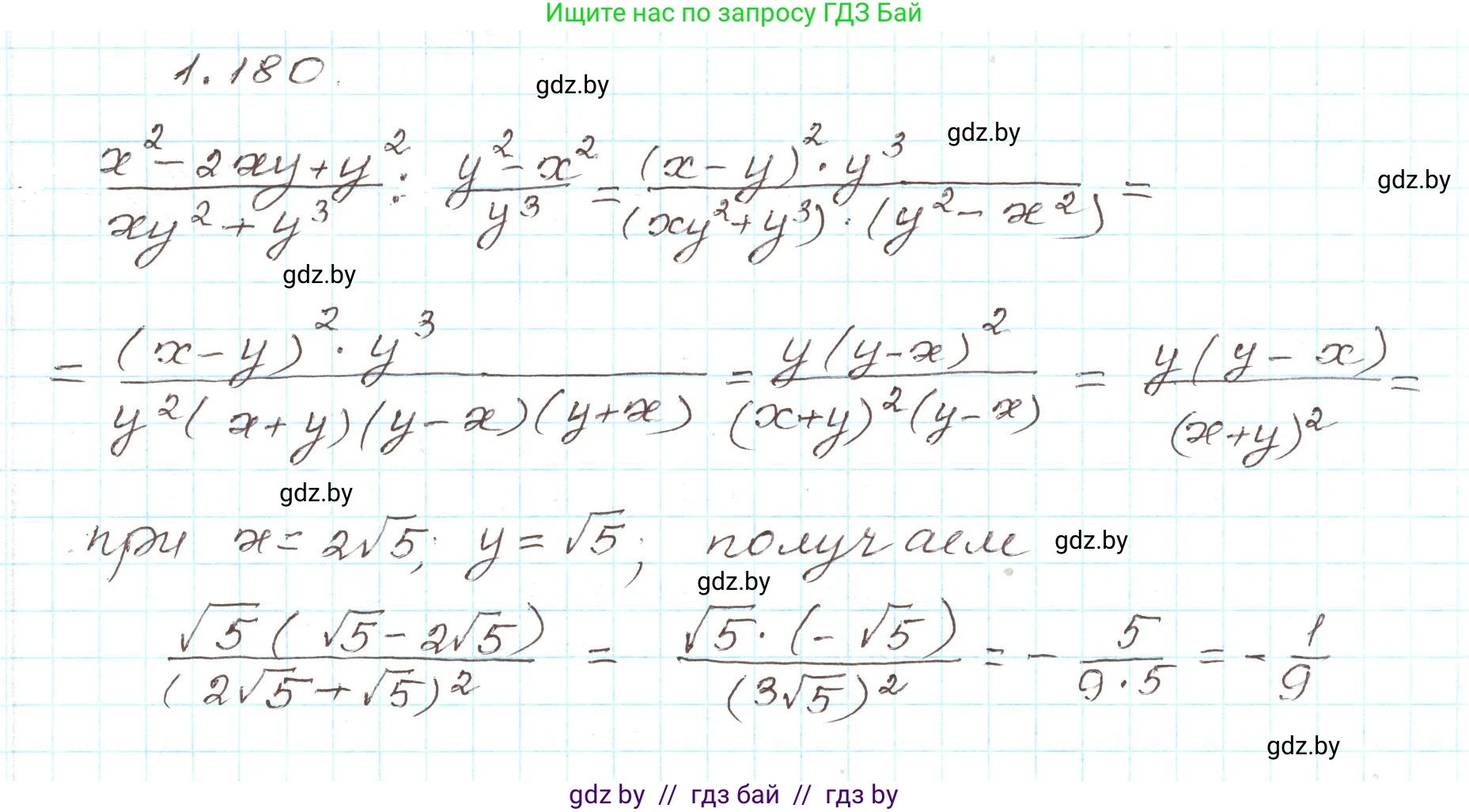
1.180. Найдите значение выражения $ \frac{x^2 - 2xy + y^2}{xy^2 + y^3} : \frac{y^2 - x^2}{y^3} $

при $x=2\sqrt{5}$, $y=\sqrt{5}$.

Решение. №1.180 (с. 55)
Алгебра, 9 класс Учебник, авторы: Арефьева Ирина Глебовна, Пирютко Ольга Николаевна, издательство Народная асвета, Минск, 2019, голубого цвета, страница 55, номер 1.180, Решение
Решение 2. №1.180 (с. 55)

Для нахождения значения выражения сначала упростим его. Это позволит избежать громоздких вычислений с иррациональными числами.

Исходное выражение: $ \frac{x^2 - 2xy + y^2}{xy^2 + y^3} : \frac{y^2 - x^2}{y^3} $

Шаг 1: Разложение на множители.

Используем формулы сокращённого умножения и вынесение общего множителя за скобки:

  • Числитель первой дроби: $x^2 - 2xy + y^2 = (x - y)^2$ (квадрат разности).
  • Знаменатель первой дроби: $xy^2 + y^3 = y^2(x + y)$ (вынесение общего множителя).
  • Числитель второй дроби: $y^2 - x^2 = (y - x)(y + x)$ (разность квадратов).

Шаг 2: Упрощение выражения.

Подставим разложенные части в выражение и заменим деление на умножение на обратную дробь:

$ \frac{(x - y)^2}{y^2(x + y)} \cdot \frac{y^3}{(y - x)(y + x)} $

Заметим, что $(x - y)^2 = (-(y - x))^2 = (y - x)^2$. Это позволяет нам сократить выражение:

$ \frac{(y - x)^2}{y^2(x + y)} \cdot \frac{y^3}{(y - x)(y + x)} = \frac{(y-x) \cdot y}{(x+y) \cdot (x+y)} = \frac{y(y-x)}{(x+y)^2} $

Шаг 3: Подстановка значений и вычисление.

Подставим заданные значения $x = 2\sqrt{5}$ и $y = \sqrt{5}$ в упрощённое выражение:

$ \frac{\sqrt{5}(\sqrt{5} - 2\sqrt{5})}{(2\sqrt{5} + \sqrt{5})^2} $

Вычислим числитель и знаменатель:

$ \frac{\sqrt{5}(-\sqrt{5})}{(3\sqrt{5})^2} = \frac{-5}{3^2 \cdot (\sqrt{5})^2} = \frac{-5}{9 \cdot 5} = \frac{-5}{45} $

Сократим полученную дробь:

$ -\frac{5}{45} = -\frac{1}{9} $

Ответ: $-\frac{1}{9}$

Помогло решение? Оставьте отзыв в комментариях ниже.

Присоединяйтесь к Телеграм-группе @gdz_by_belarus

Присоединиться

Мы подготовили для вас ответ c подробным объяснением домашего задания по алгебре за 9 класс, для упражнения номер 1.180 расположенного на странице 55 к учебнику 2019 года издания для учащихся школ и гимназий.

Теперь на нашем сайте ГДЗ.ТОП вы всегда легко и бесплатно найдёте условие с правильным ответом на вопрос «Как решить ДЗ» и «Как сделать» задание по алгебре к упражнению №1.180 (с. 55), авторов: Арефьева (Ирина Глебовна), Пирютко (Ольга Николаевна), учебного пособия издательства Народная асвета.