Номер 1.173, страница 54 - гдз по алгебре 9 класс учебник Арефьева, Пирютко

Алгебра, 9 класс Учебник, авторы: Арефьева Ирина Глебовна, Пирютко Ольга Николаевна, издательство Народная асвета, Минск, 2019, голубого цвета

Авторы: Арефьева И. Г., Пирютко О. Н.

Тип: Учебник

Издательство: Народная асвета

Год издания: 2019 - 2026

Цвет обложки: голубой, синий с графиком

ISBN: 978-985-03-3077-2

Допущено Министерством образования Республики Беларусь

Популярные ГДЗ в 9 классе

Глава 1. Рациональные выражения. Параграф 4. Умножение и деление рациональных дробей - номер 1.173, страница 54.

№1.173 (с. 54)
Условие. №1.173 (с. 54)
скриншот условия
Алгебра, 9 класс Учебник, авторы: Арефьева Ирина Глебовна, Пирютко Ольга Николаевна, издательство Народная асвета, Минск, 2019, голубого цвета, страница 54, номер 1.173, Условие

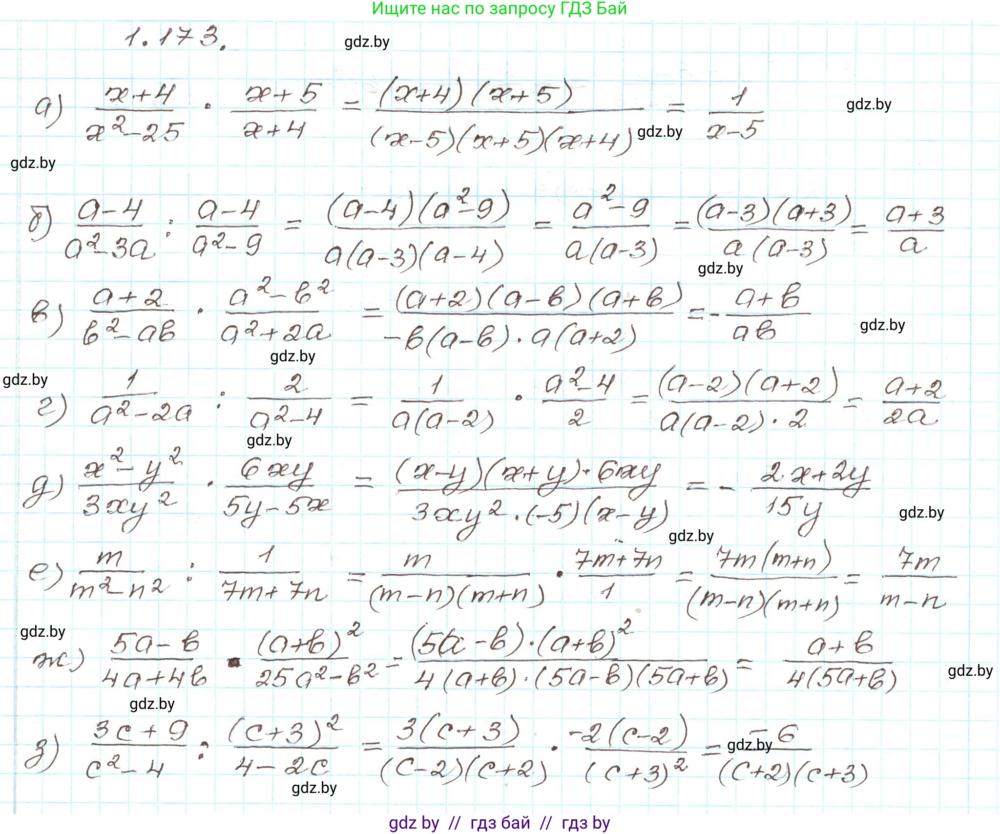
1.173. Выполните действия с рациональными дробями:

а) $\frac{x+4}{x^2-25} \cdot \frac{x+5}{x+4}$;

б) $\frac{a-4}{a^2-3a} : \frac{a-4}{a^2-9}$;

в) $\frac{a+2}{b^2-ab} \cdot \frac{a^2-b^2}{a^2+2a}$;

г) $\frac{1}{a^2-2a} : \frac{2}{a^2-4}$;

д) $\frac{x^2-y^2}{3xy^2} \cdot \frac{6xy}{5y-5x}$;

е) $\frac{m}{m^2-n^2} : \frac{1}{7m+7n}$;

ж) $\frac{5a-b}{4a+4b} \cdot \frac{(a+b)^2}{25a^2-b^2}$;

з) $\frac{3c+9}{c^2-4} : \frac{(c+3)^2}{4-2c}$;

Решение. №1.173 (с. 54)
Алгебра, 9 класс Учебник, авторы: Арефьева Ирина Глебовна, Пирютко Ольга Николаевна, издательство Народная асвета, Минск, 2019, голубого цвета, страница 54, номер 1.173, Решение
Решение 2. №1.173 (с. 54)

а) Выполним умножение рациональных дробей:

$$ \frac{x+4}{x^2-25} \cdot \frac{x+5}{x+4} $$

Разложим знаменатель первой дроби $x^2-25$ на множители, используя формулу разности квадратов $a^2-b^2=(a-b)(a+b)$:

$$ x^2-25 = (x-5)(x+5) $$

Подставим разложение в исходное выражение:

$$ \frac{x+4}{(x-5)(x+5)} \cdot \frac{x+5}{x+4} $$

Сократим одинаковые множители $(x+4)$ и $(x+5)$ в числителе и знаменателе:

$$ \frac{\cancel{x+4}}{(x-5)\cancel{(x+5)}} \cdot \frac{\cancel{x+5}}{\cancel{x+4}} = \frac{1}{x-5} $$

Ответ: $\frac{1}{x-5}$

б) Выполним деление рациональных дробей:

$$ \frac{a-4}{a^2-3a} : \frac{a-4}{a^2-9} $$

Чтобы разделить на дробь, нужно умножить на дробь, обратную делителю:

$$ \frac{a-4}{a^2-3a} \cdot \frac{a^2-9}{a-4} $$

Разложим знаменатели на множители: $a^2-3a = a(a-3)$ и $a^2-9 = (a-3)(a+3)$.

$$ \frac{a-4}{a(a-3)} \cdot \frac{(a-3)(a+3)}{a-4} $$

Сократим общие множители $(a-4)$ и $(a-3)$:

$$ \frac{\cancel{a-4}}{a\cancel{(a-3)}} \cdot \frac{\cancel{(a-3)}(a+3)}{\cancel{a-4}} = \frac{a+3}{a} $$

Полученная дробь является неправильной, так как степень числителя равна степени знаменателя. Выделим целую часть:

$$ \frac{a+3}{a} = \frac{a}{a} + \frac{3}{a} = 1 + \frac{3}{a} $$

Ответ: $1 + \frac{3}{a}$

в) Выполним умножение рациональных дробей:

$$ \frac{a+2}{b^2-ab} \cdot \frac{a^2-b^2}{a^2+2a} $$

Разложим числители и знаменатели на множители:

  • $b^2-ab = b(b-a) = -b(a-b)$
  • $a^2-b^2 = (a-b)(a+b)$
  • $a^2+2a = a(a+2)$

Подставим разложения в исходное выражение:

$$ \frac{a+2}{-b(a-b)} \cdot \frac{(a-b)(a+b)}{a(a+2)} $$

Сократим общие множители $(a+2)$ и $(a-b)$:

$$ \frac{\cancel{a+2}}{-b\cancel{(a-b)}} \cdot \frac{\cancel{(a-b)}(a+b)}{a\cancel{(a+2)}} = \frac{a+b}{-ab} = -\frac{a+b}{ab} $$

Ответ: $-\frac{a+b}{ab}$

г) Выполним деление рациональных дробей:

$$ \frac{1}{a^2-2a} : \frac{2}{a^2-4} $$

Заменим деление на умножение на обратную дробь:

$$ \frac{1}{a^2-2a} \cdot \frac{a^2-4}{2} $$

Разложим на множители $a^2-2a = a(a-2)$ и $a^2-4 = (a-2)(a+2)$:

$$ \frac{1}{a(a-2)} \cdot \frac{(a-2)(a+2)}{2} $$

Сократим общий множитель $(a-2)$:

$$ \frac{1}{a\cancel{(a-2)}} \cdot \frac{\cancel{(a-2)}(a+2)}{2} = \frac{a+2}{2a} $$

Ответ: $\frac{a+2}{2a}$

д) Выполним умножение рациональных дробей:

$$ \frac{x^2-y^2}{3xy^2} \cdot \frac{6xy}{5y-5x} $$

Разложим $x^2-y^2 = (x-y)(x+y)$ и $5y-5x = -5(x-y)$:

$$ \frac{(x-y)(x+y)}{3xy^2} \cdot \frac{6xy}{-5(x-y)} $$

Сократим общие множители $(x-y)$, $x$, $y$, а также числовые коэффициенты 6 и 3:

$$ \frac{\cancel{(x-y)}(x+y)}{\cancel{3}\cancel{x}y^{\cancel{2}}} \cdot \frac{\cancel{6}^2\cancel{x}\cancel{y}}{-5\cancel{(x-y)}} = \frac{2(x+y)}{-5y} = -\frac{2(x+y)}{5y} $$

Ответ: $-\frac{2(x+y)}{5y}$

е) Выполним деление рациональных дробей:

$$ \frac{m}{m^2-n^2} : \frac{1}{7m+7n} $$

Заменим деление на умножение на обратную дробь:

$$ \frac{m}{m^2-n^2} \cdot \frac{7m+7n}{1} $$

Разложим $m^2-n^2 = (m-n)(m+n)$ и $7m+7n = 7(m+n)$:

$$ \frac{m}{(m-n)(m+n)} \cdot \frac{7(m+n)}{1} $$

Сократим общий множитель $(m+n)$:

$$ \frac{m}{(m-n)\cancel{(m+n)}} \cdot 7\cancel{(m+n)} = \frac{7m}{m-n} $$

Полученная дробь является неправильной. Выделим целую часть:

$$ \frac{7m}{m-n} = \frac{7m - 7n + 7n}{m-n} = \frac{7(m-n) + 7n}{m-n} = \frac{7(m-n)}{m-n} + \frac{7n}{m-n} = 7 + \frac{7n}{m-n} $$

Ответ: $7 + \frac{7n}{m-n}$

ж) Выполним умножение рациональных дробей:

$$ \frac{5a-b}{4a+4b} \cdot \frac{(a+b)^2}{25a^2-b^2} $$

Разложим выражения на множители:

  • $4a+4b = 4(a+b)$
  • $25a^2-b^2 = (5a-b)(5a+b)$

Подставим разложения в исходное выражение:

$$ \frac{5a-b}{4(a+b)} \cdot \frac{(a+b)^2}{(5a-b)(5a+b)} $$

Сократим общие множители $(5a-b)$ и $(a+b)$:

$$ \frac{\cancel{5a-b}}{4\cancel{(a+b)}} \cdot \frac{(a+b)^{\cancel{2}}}{( \cancel{5a-b})(5a+b)} = \frac{a+b}{4(5a+b)} $$

Ответ: $\frac{a+b}{4(5a+b)}$

з) Выполним деление рациональных дробей:

$$ \frac{3c+9}{c^2-4} : \frac{(c+3)^2}{4-2c} $$

Заменим деление на умножение на обратную дробь:

$$ \frac{3c+9}{c^2-4} \cdot \frac{4-2c}{(c+3)^2} $$

Разложим выражения на множители:

  • $3c+9 = 3(c+3)$
  • $c^2-4 = (c-2)(c+2)$
  • $4-2c = 2(2-c) = -2(c-2)$

Подставим разложения в исходное выражение:

$$ \frac{3(c+3)}{(c-2)(c+2)} \cdot \frac{-2(c-2)}{(c+3)^2} $$

Сократим общие множители $(c+3)$ и $(c-2)$:

$$ \frac{3\cancel{(c+3)}}{\cancel{(c-2)}(c+2)} \cdot \frac{-2\cancel{(c-2)}}{\cancel{(c+3)^2}} = \frac{3 \cdot (-2)}{(c+2)(c+3)} = -\frac{6}{(c+2)(c+3)} $$

Ответ: $-\frac{6}{(c+2)(c+3)}$

Помогло решение? Оставьте отзыв в комментариях ниже.

Присоединяйтесь к Телеграм-группе @gdz_by_belarus

Присоединиться

Мы подготовили для вас ответ c подробным объяснением домашего задания по алгебре за 9 класс, для упражнения номер 1.173 расположенного на странице 54 к учебнику 2019 года издания для учащихся школ и гимназий.

Теперь на нашем сайте ГДЗ.ТОП вы всегда легко и бесплатно найдёте условие с правильным ответом на вопрос «Как решить ДЗ» и «Как сделать» задание по алгебре к упражнению №1.173 (с. 54), авторов: Арефьева (Ирина Глебовна), Пирютко (Ольга Николаевна), учебного пособия издательства Народная асвета.