Номер 1.179, страница 54 - гдз по алгебре 9 класс учебник Арефьева, Пирютко

Алгебра, 9 класс Учебник, авторы: Арефьева Ирина Глебовна, Пирютко Ольга Николаевна, издательство Народная асвета, Минск, 2019, голубого цвета

Авторы: Арефьева И. Г., Пирютко О. Н.

Тип: Учебник

Издательство: Народная асвета

Год издания: 2019 - 2026

Цвет обложки: голубой, синий с графиком

ISBN: 978-985-03-3077-2

Допущено Министерством образования Республики Беларусь

Популярные ГДЗ в 9 классе

Глава 1. Рациональные выражения. Параграф 4. Умножение и деление рациональных дробей - номер 1.179, страница 54.

№1.179 (с. 54)
Условие. №1.179 (с. 54)
скриншот условия
Алгебра, 9 класс Учебник, авторы: Арефьева Ирина Глебовна, Пирютко Ольга Николаевна, издательство Народная асвета, Минск, 2019, голубого цвета, страница 54, номер 1.179, Условие

1.179. Выполните действия:

а) $\frac{a+6}{a-3} \cdot \frac{a-3}{a^2+12a+36};$

В) $\frac{x+3}{x^2-6x+9} \cdot (x-3);$

Д) $\frac{1}{c^2-8c+16} \cdot \frac{16-c^2}{c};$

Ж) $\frac{2x+6y}{100y^2-x^2} \cdot \frac{x^2-20xy+100y^2}{7x+21y};$

З) $\frac{4x^2-y^2}{2x^4+x^3} : \frac{4x^2+4xy+y^2}{12x^3+6x^2};$

И) $\frac{4x^2-9y^2}{18y^2} \cdot \frac{24y}{4x^2+12xy+9y^2};$

К) $\frac{5x-15}{2x} : (3x^2-18x+27).$

б) $\frac{2-a}{a^2} : \frac{a^2-4a+4}{2a};$

Г) $\frac{m^2+10m+25}{m-5} : (m^2-25);$

е) $\frac{m^2-12m+36}{3m+21} : \frac{5m-30}{m^2-49};$

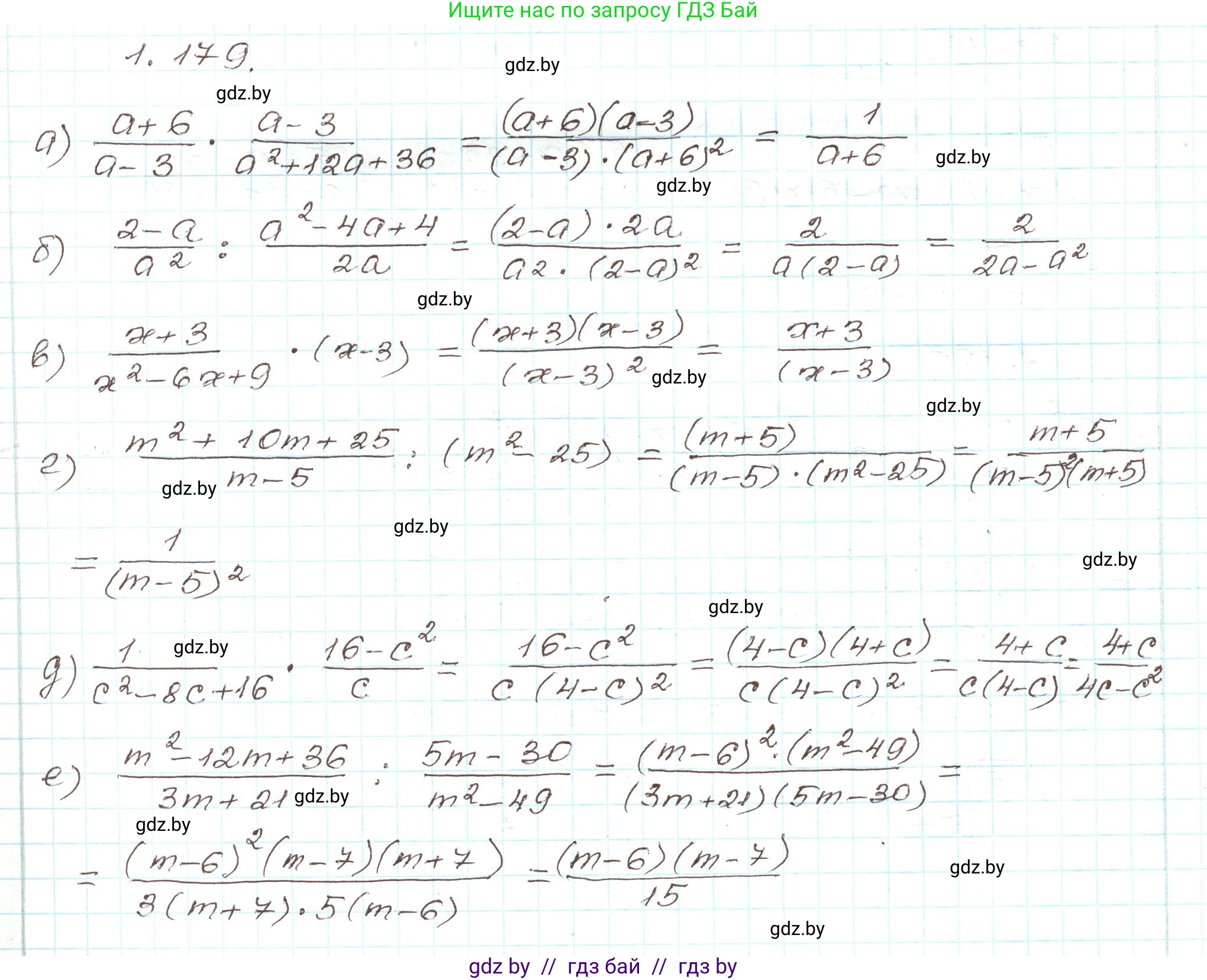
Решение. №1.179 (с. 54)
Алгебра, 9 класс Учебник, авторы: Арефьева Ирина Глебовна, Пирютко Ольга Николаевна, издательство Народная асвета, Минск, 2019, голубого цвета, страница 54, номер 1.179, Решение Алгебра, 9 класс Учебник, авторы: Арефьева Ирина Глебовна, Пирютко Ольга Николаевна, издательство Народная асвета, Минск, 2019, голубого цвета, страница 54, номер 1.179, Решение (продолжение 2)
Решение 2. №1.179 (с. 54)

а) Выполним умножение дробей:

$\frac{a+6}{a-3} \cdot \frac{a-3}{a^2+12a+36}$

Для упрощения выражения разложим знаменатель второй дроби на множители. Заметим, что $a^2+12a+36$ является полным квадратом суммы по формуле $(x+y)^2 = x^2+2xy+y^2$, то есть $a^2+2 \cdot a \cdot 6+6^2=(a+6)^2$.

Подставим разложенный многочлен в исходное выражение:

$\frac{a+6}{a-3} \cdot \frac{a-3}{(a+6)^2} = \frac{(a+6)(a-3)}{(a-3)(a+6)^2}$

Сократим общие множители $(a-3)$ и $(a+6)$ в числителе и знаменателе:

$\frac{\cancel{(a+6)}\cancel{(a-3)}}{\cancel{(a-3)}(a+6)^{\cancel{2}}} = \frac{1}{a+6}$

Ответ: $\frac{1}{a+6}$

б) Выполним деление дробей:

$\frac{2-a}{a^2} : \frac{a^2-4a+4}{2a}$

Чтобы разделить одну дробь на другую, нужно первую дробь умножить на дробь, обратную второй:

$\frac{2-a}{a^2} \cdot \frac{2a}{a^2-4a+4}$

Разложим числитель первой дроби и знаменатель второй на множители: $2-a = -(a-2)$ и $a^2-4a+4 = (a-2)^2$.

$\frac{-(a-2)}{a^2} \cdot \frac{2a}{(a-2)^2} = \frac{-(a-2) \cdot 2a}{a^2 \cdot (a-2)^2}$

Сократим общие множители $a$ и $(a-2)$:

$\frac{-1 \cdot \cancel{(a-2)} \cdot 2\cancel{a}}{a^{\cancel{2}} \cdot (a-2)^{\cancel{2}}} = \frac{-2}{a(a-2)}$

Ответ: $\frac{-2}{a(a-2)}$

в) Выполним умножение:

$\frac{x+3}{x^2-6x+9} \cdot (x-3)$

Представим второй множитель в виде дроби $\frac{x-3}{1}$. Знаменатель первой дроби $x^2-6x+9$ является полным квадратом $(x-3)^2$.

$\frac{x+3}{(x-3)^2} \cdot \frac{x-3}{1} = \frac{(x+3)(x-3)}{(x-3)^2}$

Сократим общий множитель $(x-3)$:

$\frac{(x+3)\cancel{(x-3)}}{(x-3)^{\cancel{2}}} = \frac{x+3}{x-3}$

Полученная дробь является неправильной, так как степень числителя равна степени знаменателя. Выделим целую часть:

$\frac{x+3}{x-3} = \frac{(x-3)+6}{x-3} = \frac{x-3}{x-3} + \frac{6}{x-3} = 1 + \frac{6}{x-3}$

Ответ: $1 + \frac{6}{x-3}$

г) Выполним деление:

$\frac{m^2+10m+25}{m-5} : (m^2-25)$

Заменим деление на умножение на обратное выражение:

$\frac{m^2+10m+25}{m-5} \cdot \frac{1}{m^2-25}$

Разложим на множители числитель первой дроби и знаменатель второй: $m^2+10m+25=(m+5)^2$ и $m^2-25=(m-5)(m+5)$.

$\frac{(m+5)^2}{m-5} \cdot \frac{1}{(m-5)(m+5)} = \frac{(m+5)^2}{(m-5)^2(m+5)}$

Сократим общий множитель $(m+5)$:

$\frac{(m+5)^{\cancel{2}}}{(m-5)^2\cancel{(m+5)}} = \frac{m+5}{(m-5)^2}$

Ответ: $\frac{m+5}{(m-5)^2}$

д) Выполним умножение дробей:

$\frac{1}{c^2-8c+16} \cdot \frac{16-c^2}{c}$

Разложим на множители знаменатель первой дроби и числитель второй: $c^2-8c+16=(c-4)^2$ и $16-c^2=(4-c)(4+c)=-(c-4)(c+4)$.

$\frac{1}{(c-4)^2} \cdot \frac{-(c-4)(c+4)}{c} = \frac{-(c-4)(c+4)}{c(c-4)^2}$

Сократим общий множитель $(c-4)$:

$\frac{-\cancel{(c-4)}(c+4)}{c(c-4)^{\cancel{2}}} = \frac{-(c+4)}{c(c-4)}$

Ответ: $\frac{-(c+4)}{c(c-4)}$

е) Выполним деление дробей:

$\frac{m^2-12m+36}{3m+21} : \frac{5m-30}{m^2-49}$

Заменяем деление на умножение и раскладываем все числители и знаменатели на множители:

$m^2-12m+36 = (m-6)^2$

$3m+21 = 3(m+7)$

$m^2-49 = (m-7)(m+7)$

$5m-30 = 5(m-6)$

$\frac{(m-6)^2}{3(m+7)} \cdot \frac{(m-7)(m+7)}{5(m-6)} = \frac{(m-6)^2 (m-7)(m+7)}{3(m+7) \cdot 5(m-6)}$

Сокращаем общие множители $(m-6)$ и $(m+7)$:

$\frac{(m-6)^{\cancel{2}} (m-7)\cancel{(m+7)}}{15\cancel{(m+7)} \cancel{(m-6)}} = \frac{(m-6)(m-7)}{15}$

Ответ: $\frac{(m-6)(m-7)}{15}$

ж) Выполним умножение дробей:

$\frac{2x+6y}{100y^2-x^2} \cdot \frac{x^2-20xy+100y^2}{7x+21y}$

Разложим все числители и знаменатели на множители:

$2x+6y = 2(x+3y)$

$100y^2-x^2 = (10y-x)(10y+x)$

$x^2-20xy+100y^2 = (x-10y)^2 = (-(10y-x))^2 = (10y-x)^2$

$7x+21y = 7(x+3y)$

$\frac{2(x+3y)}{(10y-x)(10y+x)} \cdot \frac{(10y-x)^2}{7(x+3y)}$

Сокращаем общие множители $(x+3y)$ и $(10y-x)$:

$\frac{2\cancel{(x+3y)}}{\cancel{(10y-x)}(10y+x)} \cdot \frac{(10y-x)^{\cancel{2}}}{7\cancel{(x+3y)}} = \frac{2(10y-x)}{7(10y+x)}$

Ответ: $\frac{2(10y-x)}{7(10y+x)}$

з) Выполним деление дробей:

$\frac{4x^2-y^2}{2x^4+x^3} : \frac{4x^2+4xy+y^2}{12x^3+6x^2}$

Заменяем деление на умножение и раскладываем на множители:

$4x^2-y^2 = (2x-y)(2x+y)$

$2x^4+x^3 = x^3(2x+1)$

$12x^3+6x^2 = 6x^2(2x+1)$

$4x^2+4xy+y^2 = (2x+y)^2$

$\frac{(2x-y)(2x+y)}{x^3(2x+1)} \cdot \frac{6x^2(2x+1)}{(2x+y)^2}$

Сокращаем общие множители $(2x+y)$, $(2x+1)$ и $x^2$:

$\frac{(2x-y)\cancel{(2x+y)}}{x^{\cancel{3}}\cancel{(2x+1)}} \cdot \frac{6\cancel{x^2}\cancel{(2x+1)}}{(2x+y)^{\cancel{2}}} = \frac{6(2x-y)}{x(2x+y)}$

Ответ: $\frac{6(2x-y)}{x(2x+y)}$

и) Выполним умножение дробей:

$\frac{4x^2-9y^2}{18y^2} \cdot \frac{24y}{4x^2+12xy+9y^2}$

Разложим на множители числитель первой дроби и знаменатель второй:

$4x^2-9y^2 = (2x-3y)(2x+3y)$

$4x^2+12xy+9y^2 = (2x+3y)^2$

$\frac{(2x-3y)(2x+3y)}{18y^2} \cdot \frac{24y}{(2x+3y)^2}$

Сокращаем общие множители $(2x+3y)$, $y$ и числовой множитель 6:

$\frac{(2x-3y)\cancel{(2x+3y)}}{18y^{\cancel{2}}} \cdot \frac{24\cancel{y}}{(2x+3y)^{\cancel{2}}} = \frac{(2x-3y) \cdot 24}{18y(2x+3y)} = \frac{(2x-3y) \cdot 4 \cdot \cancel{6}}{3y \cdot \cancel{6} \cdot (2x+3y)} = \frac{4(2x-3y)}{3y(2x+3y)}$

Ответ: $\frac{4(2x-3y)}{3y(2x+3y)}$

к) Выполним деление:

$\frac{5x-15}{2x} : (3x^2-18x+27)$

Заменяем деление на умножение на обратное выражение:

$\frac{5x-15}{2x} \cdot \frac{1}{3x^2-18x+27}$

Разложим на множители числитель первой дроби и знаменатель второй:

$5x-15 = 5(x-3)$

$3x^2-18x+27 = 3(x^2-6x+9) = 3(x-3)^2$

$\frac{5(x-3)}{2x} \cdot \frac{1}{3(x-3)^2}$

Сокращаем общий множитель $(x-3)$:

$\frac{5\cancel{(x-3)}}{2x} \cdot \frac{1}{3(x-3)^{\cancel{2}}} = \frac{5}{2x \cdot 3(x-3)} = \frac{5}{6x(x-3)}$

Ответ: $\frac{5}{6x(x-3)}$

Помогло решение? Оставьте отзыв в комментариях ниже.

Присоединяйтесь к Телеграм-группе @gdz_by_belarus

Присоединиться

Мы подготовили для вас ответ c подробным объяснением домашего задания по алгебре за 9 класс, для упражнения номер 1.179 расположенного на странице 54 к учебнику 2019 года издания для учащихся школ и гимназий.

Теперь на нашем сайте ГДЗ.ТОП вы всегда легко и бесплатно найдёте условие с правильным ответом на вопрос «Как решить ДЗ» и «Как сделать» задание по алгебре к упражнению №1.179 (с. 54), авторов: Арефьева (Ирина Глебовна), Пирютко (Ольга Николаевна), учебного пособия издательства Народная асвета.