Номер 1.175, страница 54 - гдз по алгебре 9 класс учебник Арефьева, Пирютко

Алгебра, 9 класс Учебник, авторы: Арефьева Ирина Глебовна, Пирютко Ольга Николаевна, издательство Народная асвета, Минск, 2019, голубого цвета

Авторы: Арефьева И. Г., Пирютко О. Н.

Тип: Учебник

Издательство: Народная асвета

Год издания: 2019 - 2026

Цвет обложки: голубой, синий с графиком

ISBN: 978-985-03-3077-2

Допущено Министерством образования Республики Беларусь

Популярные ГДЗ в 9 классе

Глава 1. Рациональные выражения. Параграф 4. Умножение и деление рациональных дробей - номер 1.175, страница 54.

№1.175 (с. 54)
Условие. №1.175 (с. 54)
скриншот условия
Алгебра, 9 класс Учебник, авторы: Арефьева Ирина Глебовна, Пирютко Ольга Николаевна, издательство Народная асвета, Минск, 2019, голубого цвета, страница 54, номер 1.175, Условие

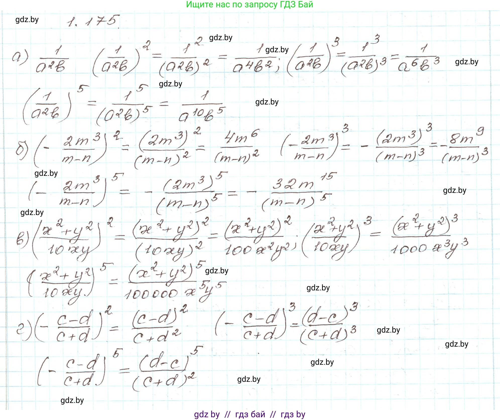
1.175. Возведите в квадрат, куб и пятую степень выражение и запишите результат в виде рациональной дроби:

а) $ \frac{1}{a^2b} $;

б) $ -\frac{2m^3}{m-n} $;

в) $ \frac{x^2+y^2}{10xy} $;

г) $ -\frac{c-d}{c+d} $.

Решение. №1.175 (с. 54)
Алгебра, 9 класс Учебник, авторы: Арефьева Ирина Глебовна, Пирютко Ольга Николаевна, издательство Народная асвета, Минск, 2019, голубого цвета, страница 54, номер 1.175, Решение
Решение 2. №1.175 (с. 54)

а) Для выражения $ \frac{1}{a^2b} $ выполняем возведение в степень:

  • Квадрат: $ (\frac{1}{a^2b})^2 = \frac{1^2}{(a^2b)^2} = \frac{1}{(a^2)^2 b^2} = \frac{1}{a^4b^2} $
  • Куб: $ (\frac{1}{a^2b})^3 = \frac{1^3}{(a^2b)^3} = \frac{1}{(a^2)^3 b^3} = \frac{1}{a^6b^3} $
  • Пятая степень: $ (\frac{1}{a^2b})^5 = \frac{1^5}{(a^2b)^5} = \frac{1}{(a^2)^5 b^5} = \frac{1}{a^{10}b^5} $
Ответ: $ \frac{1}{a^4b^2} $, $ \frac{1}{a^6b^3} $, $ \frac{1}{a^{10}b^5} $.

б) Для выражения $ -\frac{2m^3}{m-n} $ выполняем возведение в степень:

  • Квадрат: $ (-\frac{2m^3}{m-n})^2 = \frac{(2m^3)^2}{(m-n)^2} = \frac{2^2(m^3)^2}{(m-n)^2} = \frac{4m^6}{(m-n)^2} $ (знак минус исчезает, так как степень четная).
  • Куб: $ (-\frac{2m^3}{m-n})^3 = - \frac{(2m^3)^3}{(m-n)^3} = - \frac{2^3(m^3)^3}{(m-n)^3} = -\frac{8m^9}{(m-n)^3} $ (знак минус сохраняется, так как степень нечетная).
  • Пятая степень: $ (-\frac{2m^3}{m-n})^5 = - \frac{(2m^3)^5}{(m-n)^5} = - \frac{2^5(m^3)^5}{(m-n)^5} = -\frac{32m^{15}}{(m-n)^5} $ (знак минус сохраняется).
Ответ: $ \frac{4m^6}{(m-n)^2} $, $ -\frac{8m^9}{(m-n)^3} $, $ -\frac{32m^{15}}{(m-n)^5} $.

в) Для выражения $ \frac{x^2+y^2}{10xy} $ выполняем возведение в степень:

  • Квадрат: $ (\frac{x^2+y^2}{10xy})^2 = \frac{(x^2+y^2)^2}{(10xy)^2} = \frac{(x^2+y^2)^2}{100x^2y^2} $
  • Куб: $ (\frac{x^2+y^2}{10xy})^3 = \frac{(x^2+y^2)^3}{(10xy)^3} = \frac{(x^2+y^2)^3}{1000x^3y^3} $
  • Пятая степень: $ (\frac{x^2+y^2}{10xy})^5 = \frac{(x^2+y^2)^5}{(10xy)^5} = \frac{(x^2+y^2)^5}{100000x^5y^5} $
Ответ: $ \frac{(x^2+y^2)^2}{100x^2y^2} $, $ \frac{(x^2+y^2)^3}{1000x^3y^3} $, $ \frac{(x^2+y^2)^5}{100000x^5y^5} $.

г) Для выражения $ -\frac{c-d}{c+d} $ выполняем возведение в степень:

  • Квадрат: $ (-\frac{c-d}{c+d})^2 = (\frac{c-d}{c+d})^2 = \frac{(c-d)^2}{(c+d)^2} $ (знак минус исчезает).
  • Куб: $ (-\frac{c-d}{c+d})^3 = - (\frac{c-d}{c+d})^3 = -\frac{(c-d)^3}{(c+d)^3} $ (знак минус сохраняется).
  • Пятая степень: $ (-\frac{c-d}{c+d})^5 = - (\frac{c-d}{c+d})^5 = -\frac{(c-d)^5}{(c+d)^5} $ (знак минус сохраняется).
Ответ: $ \frac{(c-d)^2}{(c+d)^2} $, $ -\frac{(c-d)^3}{(c+d)^3} $, $ -\frac{(c-d)^5}{(c+d)^5} $.

Помогло решение? Оставьте отзыв в комментариях ниже.

Присоединяйтесь к Телеграм-группе @gdz_by_belarus

Присоединиться

Мы подготовили для вас ответ c подробным объяснением домашего задания по алгебре за 9 класс, для упражнения номер 1.175 расположенного на странице 54 к учебнику 2019 года издания для учащихся школ и гимназий.

Теперь на нашем сайте ГДЗ.ТОП вы всегда легко и бесплатно найдёте условие с правильным ответом на вопрос «Как решить ДЗ» и «Как сделать» задание по алгебре к упражнению №1.175 (с. 54), авторов: Арефьева (Ирина Глебовна), Пирютко (Ольга Николаевна), учебного пособия издательства Народная асвета.