Номер 3.250, страница 159 - гдз по алгебре 11 класс учебник Арефьева, Пирютко

Алгебра, 11 класс Учебник, авторы: Арефьева Ирина Глебовна, Пирютко Ольга Николаевна, издательство Народная асвета, Минск, 2020, бирюзового цвета

Авторы: Арефьева И. Г., Пирютко О. Н.

Тип: Учебник

Издательство: Народная асвета

Год издания: 2020 - 2026

Цвет обложки: бирюзовый, зелёный с графиком

ISBN: 978-985-03-3165-6

Популярные ГДЗ в 11 классе

Глава 3. Логарифмическая функция. Параграф 10. Логарифмические неравенства - номер 3.250, страница 159.

№3.250 (с. 159)
Условие. №3.250 (с. 159)
скриншот условия
Алгебра, 11 класс Учебник, авторы: Арефьева Ирина Глебовна, Пирютко Ольга Николаевна, издательство Народная асвета, Минск, 2020, бирюзового цвета, страница 159, номер 3.250, Условие

3.250. Решите неравенство двумя способами:

a) $log_{1/3} (x + 4) \ge log_{1/3} 16 - log_{1/3} (x - 2);$

б) $log_5 (2x + 1) \le log_5 4 - log_5 (x - 3);$

в) $log_{0,5} (x - 2) - log_2 (5 - x) > -1;$

г) $lg x + lg(x - 1) < lg6.$

Решение. №3.250 (с. 159)
Алгебра, 11 класс Учебник, авторы: Арефьева Ирина Глебовна, Пирютко Ольга Николаевна, издательство Народная асвета, Минск, 2020, бирюзового цвета, страница 159, номер 3.250, Решение Алгебра, 11 класс Учебник, авторы: Арефьева Ирина Глебовна, Пирютко Ольга Николаевна, издательство Народная асвета, Минск, 2020, бирюзового цвета, страница 159, номер 3.250, Решение (продолжение 2)
Решение 2. №3.250 (с. 159)

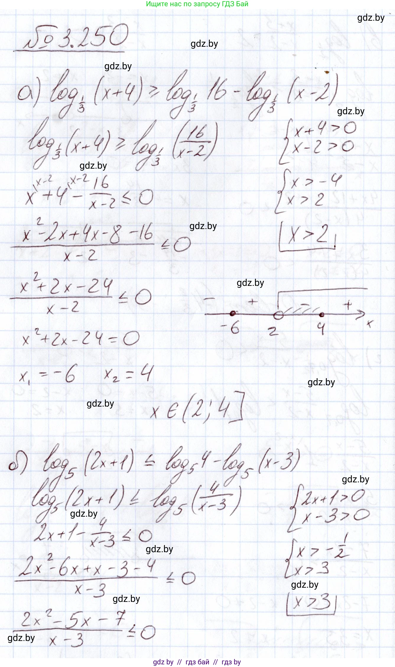
а) $\log_{\frac{1}{3}}(x+4) \ge \log_{\frac{1}{3}}16 - \log_{\frac{1}{3}}(x-2)$

Найдем область допустимых значений (ОДЗ). Аргументы логарифмов должны быть строго положительными:
$ \begin{cases} x + 4 > 0 \\ x - 2 > 0 \end{cases} $
$ \begin{cases} x > -4 \\ x > 2 \end{cases} $
Следовательно, ОДЗ: $x \in (2; +\infty)$.

Способ 1: Использование свойств логарифмов.

1. Перенесем логарифм с переменной в левую часть неравенства:
$\log_{\frac{1}{3}}(x+4) + \log_{\frac{1}{3}}(x-2) \ge \log_{\frac{1}{3}}16$
2. Используем свойство суммы логарифмов $\log_a b + \log_a c = \log_a (bc)$:
$\log_{\frac{1}{3}}((x+4)(x-2)) \ge \log_{\frac{1}{3}}16$
3. Так как основание логарифма $\frac{1}{3}$ меньше 1 ($0 < \frac{1}{3} < 1$), логарифмическая функция является убывающей. При переходе к неравенству для аргументов знак неравенства меняется на противоположный:
$(x+4)(x-2) \le 16$
4. Решим полученное квадратное неравенство:
$x^2 - 2x + 4x - 8 \le 16$
$x^2 + 2x - 24 \le 0$
Найдем корни уравнения $x^2 + 2x - 24 = 0$. По теореме Виета, $x_1 + x_2 = -2$ и $x_1 \cdot x_2 = -24$. Корни: $x_1 = -6, x_2 = 4$.
Парабола $y = x^2 + 2x - 24$ ветвями вверх, поэтому неравенство $\le 0$ выполняется между корнями: $x \in [-6; 4]$.
5. Учтем ОДЗ $x > 2$. Пересечение решения $[-6; 4]$ с ОДЗ $(2; +\infty)$ дает итоговый интервал: $x \in (2; 4]$.

Способ 2: Метод рационализации.

1. Преобразуем правую часть неравенства, используя свойство разности логарифмов $\log_a b - \log_a c = \log_a \frac{b}{c}$:
$\log_{\frac{1}{3}}(x+4) \ge \log_{\frac{1}{3}}\frac{16}{x-2}$
2. Перенесем все в одну сторону:
$\log_{\frac{1}{3}}(x+4) - \log_{\frac{1}{3}}\frac{16}{x-2} \ge 0$
3. Так как основание $a = \frac{1}{3} < 1$, то знак неравенства $\log_a f(x) \ge \log_a g(x)$ совпадает со знаком неравенства $g(x) \ge f(x)$. В нашем случае $\log_a f(x) \ge 0$ (где $0 = \log_a 1$), что эквивалентно $f(x) \le 1$:
$x+4 \le \frac{16}{x-2}$
4. Переносим все в левую часть и приводим к общему знаменателю:
$x+4 - \frac{16}{x-2} \le 0$
$\frac{(x+4)(x-2) - 16}{x-2} \le 0$
$\frac{x^2+2x-8-16}{x-2} \le 0$
$\frac{x^2+2x-24}{x-2} \le 0$
5. Решим неравенство методом интервалов. Корни числителя: -6 и 4. Корень знаменателя: 2.
Наносим точки на числовую ось и определяем знаки.
Однако, с учетом ОДЗ ($x > 2$), знаменатель $x-2$ всегда положителен. Значит, можно умножить обе части на $x-2$, не меняя знака неравенства:
$x^2+2x-24 \le 0$
Как и в первом способе, решение этого неравенства $x \in [-6; 4]$.
6. Пересекая с ОДЗ $x > 2$, получаем ответ: $x \in (2; 4]$.

Ответ: $(2; 4]$.


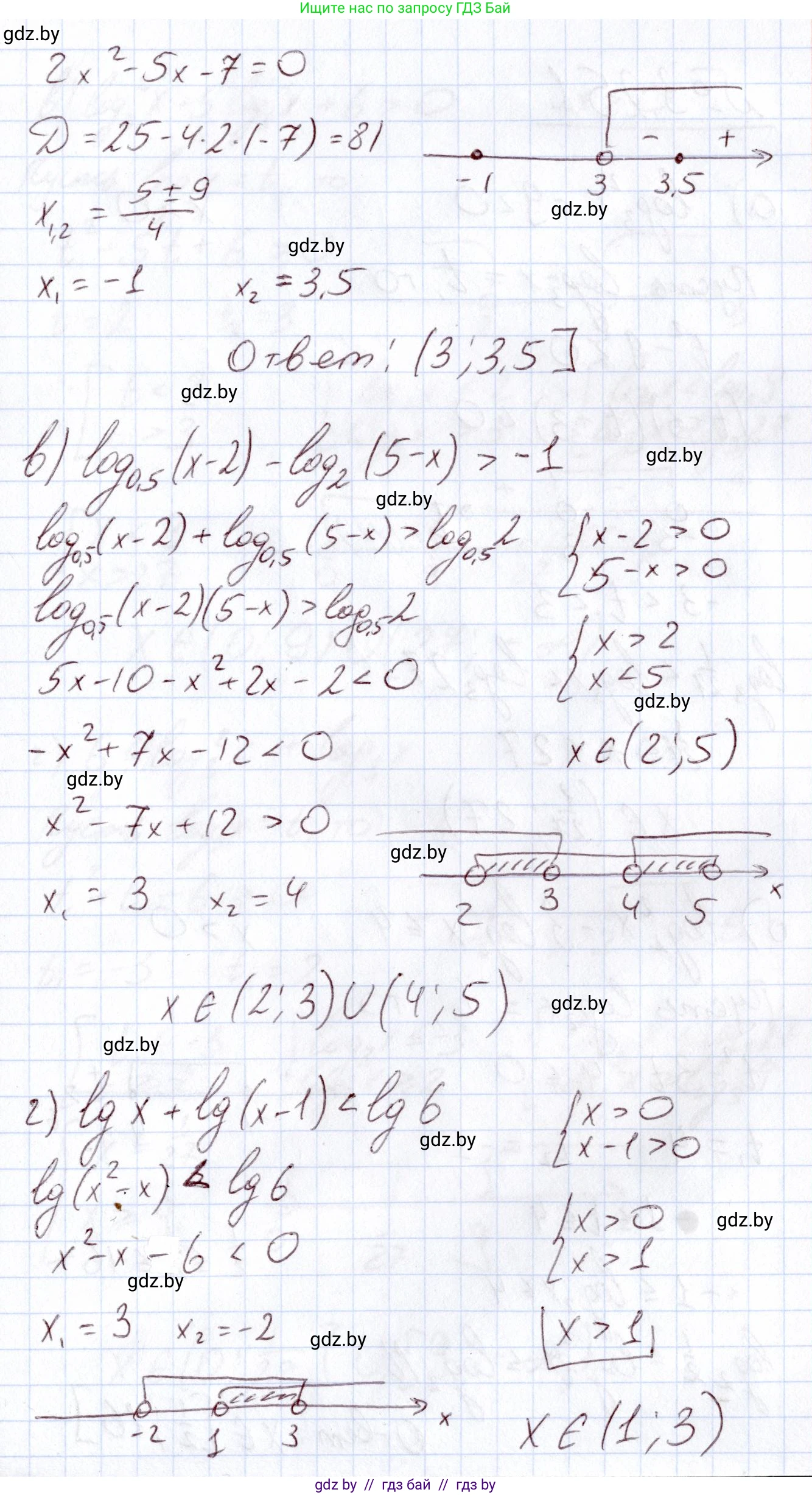
б) $\log_5(2x+1) \le \log_5 4 - \log_5(x-3)$

ОДЗ:
$ \begin{cases} 2x + 1 > 0 \\ x - 3 > 0 \end{cases} $
$ \begin{cases} x > -1/2 \\ x > 3 \end{cases} $
ОДЗ: $x \in (3; +\infty)$.

Способ 1: Использование свойств логарифмов.

1. Объединим логарифмы в правой части:
$\log_5(2x+1) \le \log_5\frac{4}{x-3}$
2. Основание логарифма $5 > 1$, функция возрастающая, поэтому при переходе к аргументам знак неравенства сохраняется:
$2x+1 \le \frac{4}{x-3}$
3. Так как по ОДЗ $x > 3$, то $x-3 > 0$. Можем умножить обе части на $(x-3)$:
$(2x+1)(x-3) \le 4$
$2x^2 - 6x + x - 3 \le 4$
$2x^2 - 5x - 7 \le 0$
4. Решим уравнение $2x^2 - 5x - 7 = 0$. Дискриминант $D = (-5)^2 - 4(2)(-7) = 25+56 = 81 = 9^2$.
$x_{1,2} = \frac{5 \pm 9}{4}$. Корни: $x_1 = \frac{14}{4} = 3.5$, $x_2 = \frac{-4}{4} = -1$.
Решение неравенства: $x \in [-1; 3.5]$.
5. С учетом ОДЗ $x > 3$, получаем: $x \in (3; 3.5]$.

Способ 2: Перенос всех членов в одну сторону.

1. Перенесем все логарифмы в левую часть:
$\log_5(2x+1) - \log_5 4 + \log_5(x-3) \le 0$
2. Объединим логарифмы:
$\log_5\frac{(2x+1)(x-3)}{4} \le 0$
3. Представим 0 как логарифм по основанию 5: $0 = \log_5 1$.
$\log_5\frac{(2x+1)(x-3)}{4} \le \log_5 1$
4. Так как основание $5 > 1$, переходим к неравенству для аргументов, сохраняя знак:
$\frac{(2x+1)(x-3)}{4} \le 1$
$(2x+1)(x-3) \le 4$
$2x^2 - 5x - 3 \le 4$
$2x^2 - 5x - 7 \le 0$
5. Это неравенство уже решено в способе 1. Его решение $x \in [-1; 3.5]$.
6. Пересекая с ОДЗ $x>3$, получаем ответ: $x \in (3; 3.5]$.

Ответ: $(3; 3.5]$.


в) $\log_{0.5}(x-2) - \log_2(5-x) > -1$

ОДЗ:
$ \begin{cases} x - 2 > 0 \\ 5 - x > 0 \end{cases} $
$ \begin{cases} x > 2 \\ x < 5 \end{cases} $
ОДЗ: $x \in (2; 5)$.

Приведем логарифмы к одному основанию, например, к 2.
$\log_{0.5}(x-2) = \log_{2^{-1}}(x-2) = -\log_2(x-2)$.
Неравенство принимает вид:
$-\log_2(x-2) - \log_2(5-x) > -1$

Способ 1: Умножение на -1 и потенцирование.

1. Умножим обе части на -1, изменив знак неравенства:
$\log_2(x-2) + \log_2(5-x) < 1$
2. Объединим логарифмы в левой части:
$\log_2((x-2)(5-x)) < 1$
3. Представим 1 как $\log_2 2$:
$\log_2((x-2)(5-x)) < \log_2 2$
4. Основание $2 > 1$, поэтому знак неравенства сохраняется:
$(x-2)(5-x) < 2$
$5x - x^2 - 10 + 2x < 2$
$-x^2 + 7x - 12 < 0$
$x^2 - 7x + 12 > 0$
5. Найдем корни уравнения $x^2 - 7x + 12 = 0$. По теореме Виета, $x_1+x_2 = 7$, $x_1 \cdot x_2 = 12$. Корни: $x_1 = 3, x_2 = 4$.
Решение неравенства $x^2 - 7x + 12 > 0$ есть $x \in (-\infty; 3) \cup (4; +\infty)$.
6. Найдем пересечение с ОДЗ $x \in (2; 5)$:
$(-\infty; 3) \cup (4; +\infty)) \cap (2; 5) = (2; 3) \cup (4; 5)$.

Способ 2: Перенос всех членов в одну сторону.

1. Перенесем -1 в левую часть из исходного преобразованного неравенства:
$1 - \log_2(x-2) - \log_2(5-x) > 0$
2. Представим 1 как $\log_2 2$:
$\log_2 2 - (\log_2(x-2) + \log_2(5-x)) > 0$
$\log_2 2 - \log_2((x-2)(5-x)) > 0$
$\log_2\frac{2}{(x-2)(5-x)} > 0$
3. Представим 0 как $\log_2 1$:
$\log_2\frac{2}{(x-2)(5-x)} > \log_2 1$
4. Так как основание $2 > 1$, переходим к аргументам:
$\frac{2}{(x-2)(5-x)} > 1$
По ОДЗ $x-2>0$ и $5-x>0$, значит их произведение $(x-2)(5-x)$ положительно. Можем на него умножить:
$2 > (x-2)(5-x)$
$2 > -x^2+7x-10$
$x^2-7x+12 > 0$
5. Это неравенство уже решено в способе 1. Решение: $x \in (-\infty; 3) \cup (4; +\infty)$.
6. С учетом ОДЗ $x \in (2; 5)$ получаем ответ: $x \in (2; 3) \cup (4; 5)$.

Ответ: $(2; 3) \cup (4; 5)$.


г) $\lg x + \lg(x-1) < \lg 6$

ОДЗ:
$ \begin{cases} x > 0 \\ x - 1 > 0 \end{cases} $
$ \begin{cases} x > 0 \\ x > 1 \end{cases} $
ОДЗ: $x \in (1; +\infty)$.

Способ 1: Использование свойств логарифмов.

1. Объединим логарифмы в левой части неравенства:
$\lg(x(x-1)) < \lg 6$
2. Основание десятичного логарифма $10 > 1$, поэтому функция возрастающая, и знак неравенства сохраняется:
$x(x-1) < 6$
$x^2 - x < 6$
$x^2 - x - 6 < 0$
3. Решим уравнение $x^2 - x - 6 = 0$. По теореме Виета, $x_1+x_2 = 1$, $x_1 \cdot x_2 = -6$. Корни: $x_1 = 3, x_2 = -2$.
Решение неравенства $x^2 - x - 6 < 0$ есть интервал между корнями: $x \in (-2; 3)$.
4. Учтем ОДЗ $x > 1$. Пересечение $(-2; 3)$ и $(1; +\infty)$ дает итоговый ответ: $x \in (1; 3)$.

Способ 2: Метод рационализации.

1. Перенесем все члены в левую часть:
$\lg x + \lg(x-1) - \lg 6 < 0$
2. Объединим логарифмы:
$\lg\frac{x(x-1)}{6} < 0$
3. Представим 0 как $\lg 1$:
$\lg\frac{x(x-1)}{6} < \lg 1$
4. Так как основание $10 > 1$, переходим к неравенству для аргументов:
$\frac{x(x-1)}{6} < 1$
$x(x-1) < 6$
$x^2 - x - 6 < 0$
5. Это неравенство было решено в способе 1. Его решение $x \in (-2; 3)$.
6. С учетом ОДЗ $x > 1$, получаем ответ: $x \in (1; 3)$.

Ответ: $(1; 3)$.

Помогло решение? Оставьте отзыв в комментариях ниже.

Присоединяйтесь к Телеграм-группе @gdz_by_belarus

Присоединиться

Мы подготовили для вас ответ c подробным объяснением домашего задания по алгебре за 11 класс, для упражнения номер 3.250 расположенного на странице 159 к учебнику 2020 года издания для учащихся школ и гимназий.

Теперь на нашем сайте ГДЗ.ТОП вы всегда легко и бесплатно найдёте условие с правильным ответом на вопрос «Как решить ДЗ» и «Как сделать» задание по алгебре к упражнению №3.250 (с. 159), авторов: Арефьева (Ирина Глебовна), Пирютко (Ольга Николаевна), учебного пособия издательства Народная асвета.