Номер 3.245, страница 158 - гдз по алгебре 11 класс учебник Арефьева, Пирютко
Авторы: Арефьева И. Г., Пирютко О. Н.
Тип: Учебник
Издательство: Народная асвета
Год издания: 2020 - 2026
Цвет обложки: бирюзовый, зелёный с графиком
ISBN: 978-985-03-3165-6
Популярные ГДЗ в 11 классе
Глава 3. Логарифмическая функция. Параграф 10. Логарифмические неравенства - номер 3.245, страница 158.
№3.245 (с. 158)
Условие. №3.245 (с. 158)
скриншот условия
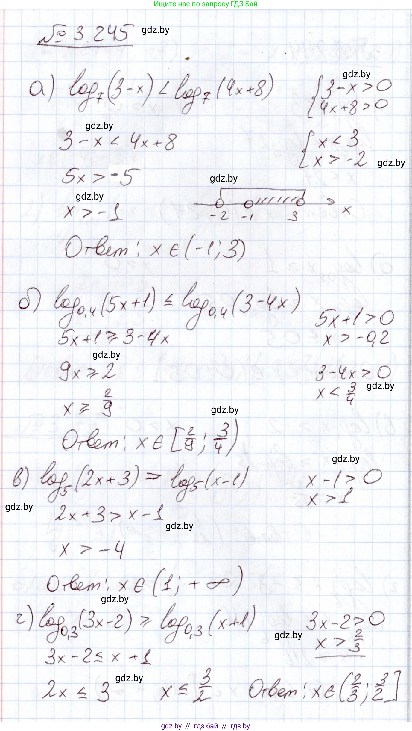
3.245. Решите неравенство, учитывая область определения и свойство монотонности логарифмической функции:
a) $ \log_7(3 - x) < \log_7(4x + 8) $;
б) $ \log_{0.4}(5x + 1) \le \log_{0.4}(3 - 4x) $;
в) $ \log_5(2x + 3) > \log_5(x - 1) $;
г) $ \log_{0.3}(3x - 2) \ge \log_{0.3}(x + 1) $.
Решение. №3.245 (с. 158)
Решение 2. №3.245 (с. 158)
а) $\log_7(3 - x) < \log_7(4x + 8)$
1. Найдем область определения (ОДЗ). Аргументы логарифмов должны быть строго положительными:
$\begin{cases} 3 - x > 0 \\ 4x + 8 > 0 \end{cases} \implies \begin{cases} x < 3 \\ 4x > -8 \end{cases} \implies \begin{cases} x < 3 \\ x > -2 \end{cases}$
Таким образом, ОДЗ: $x \in (-2, 3)$.
2. Решим неравенство. Основание логарифма $a = 7 > 1$, следовательно, логарифмическая функция является возрастающей. При переходе к неравенству для аргументов знак неравенства сохраняется:
$3 - x < 4x + 8$
$3 - 8 < 4x + x$
$-5 < 5x$
$x > -1$
3. Найдем пересечение решения с ОДЗ. Мы должны удовлетворить обоим условиям:
$\begin{cases} x \in (-2, 3) \\ x > -1 \end{cases}$
Пересечением этих множеств является интервал $(-1, 3)$.
Ответ: $x \in (-1, 3)$.
б) $\log_{0,4}(5x + 1) \le \log_{0,4}(3 - 4x)$
1. Найдем ОДЗ. Аргументы логарифмов должны быть строго положительными:
$\begin{cases} 5x + 1 > 0 \\ 3 - 4x > 0 \end{cases} \implies \begin{cases} 5x > -1 \\ 3 > 4x \end{cases} \implies \begin{cases} x > -1/5 \\ x < 3/4 \end{cases}$
Таким образом, ОДЗ: $x \in (-1/5, 3/4)$.
2. Решим неравенство. Основание логарифма $a = 0,4$, так как $0 < 0,4 < 1$, логарифмическая функция является убывающей. При переходе к неравенству для аргументов знак неравенства меняется на противоположный:
$5x + 1 \ge 3 - 4x$
$5x + 4x \ge 3 - 1$
$9x \ge 2$
$x \ge 2/9$
3. Найдем пересечение решения с ОДЗ.
$\begin{cases} x \in (-1/5, 3/4) \\ x \ge 2/9 \end{cases}$
Пересечением этих множеств является полуинтервал $[2/9, 3/4)$.
Ответ: $x \in [2/9, 3/4)$.
в) $\log_5(2x + 3) > \log_5(x - 1)$
1. Найдем ОДЗ. Аргументы логарифмов должны быть строго положительными:
$\begin{cases} 2x + 3 > 0 \\ x - 1 > 0 \end{cases} \implies \begin{cases} 2x > -3 \\ x > 1 \end{cases} \implies \begin{cases} x > -1,5 \\ x > 1 \end{cases}$
Более сильным условием является $x > 1$, следовательно, ОДЗ: $x \in (1, +\infty)$.
2. Решим неравенство. Основание логарифма $a = 5 > 1$, функция возрастающая, знак неравенства сохраняется:
$2x + 3 > x - 1$
$2x - x > -1 - 3$
$x > -4$
3. Найдем пересечение решения с ОДЗ.
$\begin{cases} x \in (1, +\infty) \\ x > -4 \end{cases}$
Пересечением является интервал $(1, +\infty)$.
Ответ: $x \in (1, +\infty)$.
г) $\log_{0,3}(3x - 2) \ge \log_{0,3}(x + 1)$
1. Найдем ОДЗ. Аргументы логарифмов должны быть строго положительными:
$\begin{cases} 3x - 2 > 0 \\ x + 1 > 0 \end{cases} \implies \begin{cases} 3x > 2 \\ x > -1 \end{cases} \implies \begin{cases} x > 2/3 \\ x > -1 \end{cases}$
Более сильным условием является $x > 2/3$, следовательно, ОДЗ: $x \in (2/3, +\infty)$.
2. Решим неравенство. Основание логарифма $a = 0,3$, так как $0 < 0,3 < 1$, функция убывающая, знак неравенства меняется на противоположный:
$3x - 2 \le x + 1$
$3x - x \le 1 + 2$
$2x \le 3$
$x \le 3/2$
3. Найдем пересечение решения с ОДЗ.
$\begin{cases} x \in (2/3, +\infty) \\ x \le 3/2 \end{cases}$
Пересечением является полуинтервал $(2/3, 3/2]$.
Ответ: $x \in (2/3, 3/2]$.
Другие задания:
Помогло решение? Оставьте отзыв в комментариях ниже.
Присоединяйтесь к Телеграм-группе @gdz_by_belarus
ПрисоединитьсяМы подготовили для вас ответ c подробным объяснением домашего задания по алгебре за 11 класс, для упражнения номер 3.245 расположенного на странице 158 к учебнику 2020 года издания для учащихся школ и гимназий.
Теперь на нашем сайте ГДЗ.ТОП вы всегда легко и бесплатно найдёте условие с правильным ответом на вопрос «Как решить ДЗ» и «Как сделать» задание по алгебре к упражнению №3.245 (с. 158), авторов: Арефьева (Ирина Глебовна), Пирютко (Ольга Николаевна), учебного пособия издательства Народная асвета.