Номер 3.254, страница 159 - гдз по алгебре 11 класс учебник Арефьева, Пирютко

Алгебра, 11 класс Учебник, авторы: Арефьева Ирина Глебовна, Пирютко Ольга Николаевна, издательство Народная асвета, Минск, 2020, бирюзового цвета

Авторы: Арефьева И. Г., Пирютко О. Н.

Тип: Учебник

Издательство: Народная асвета

Год издания: 2020 - 2026

Цвет обложки: бирюзовый, зелёный с графиком

ISBN: 978-985-03-3165-6

Популярные ГДЗ в 11 классе

Глава 3. Логарифмическая функция. Параграф 10. Логарифмические неравенства - номер 3.254, страница 159.

№3.254 (с. 159)
Условие. №3.254 (с. 159)
скриншот условия
Алгебра, 11 класс Учебник, авторы: Арефьева Ирина Глебовна, Пирютко Ольга Николаевна, издательство Народная асвета, Минск, 2020, бирюзового цвета, страница 159, номер 3.254, Условие

3.254*. Решите неравенство, учитывая область определения и свойство монотонности логарифмической функции:

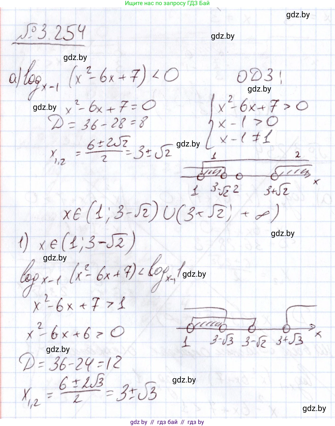
а) $\log_{x-1} (x^2 - 6x + 7) < 0;$

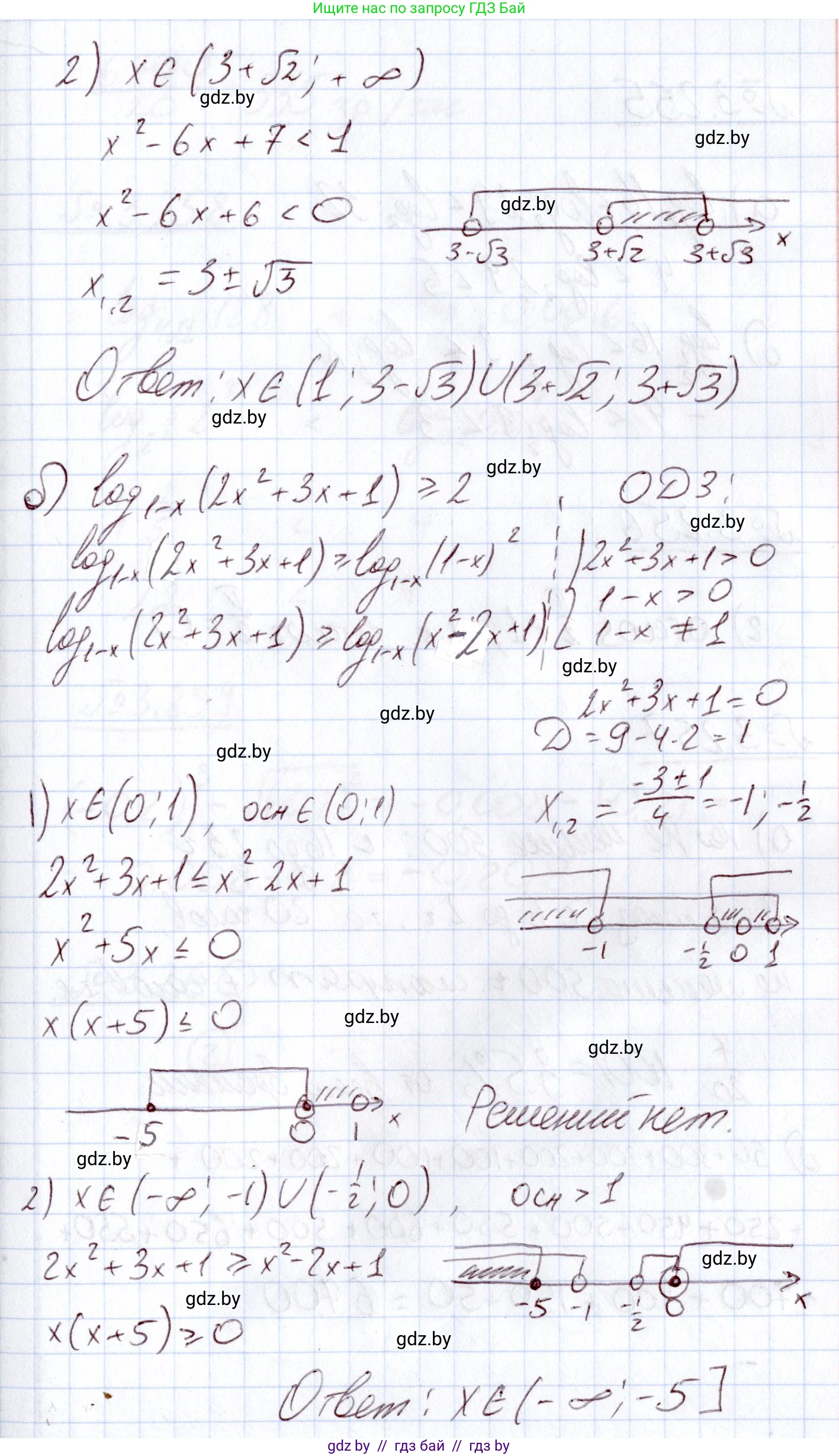
б) $\log_{1-x} (2x^2 + 3x + 1) \ge 2.$

Решение. №3.254 (с. 159)
Алгебра, 11 класс Учебник, авторы: Арефьева Ирина Глебовна, Пирютко Ольга Николаевна, издательство Народная асвета, Минск, 2020, бирюзового цвета, страница 159, номер 3.254, Решение Алгебра, 11 класс Учебник, авторы: Арефьева Ирина Глебовна, Пирютко Ольга Николаевна, издательство Народная асвета, Минск, 2020, бирюзового цвета, страница 159, номер 3.254, Решение (продолжение 2)
Решение 2. №3.254 (с. 159)

а) Решим неравенство $ \log_{x-1}(x^2 - 6x + 7) < 0 $.

Данное логарифмическое неравенство равносильно совокупности двух систем, которые рассматриваются в зависимости от значения основания логарифма.

Случай 1: Основание логарифма больше 1. В этом случае логарифмическая функция является возрастающей, и знак неравенства для аргументов сохраняется. Также аргумент должен быть положительным.

Неравенство $ \log_{x-1}(x^2 - 6x + 7) < 0 $ можно записать как $ \log_{x-1}(x^2 - 6x + 7) < \log_{x-1}(1) $. Это приводит к системе:

$ \begin{cases} x - 1 > 1 \\ x^2 - 6x + 7 > 0 \\ x^2 - 6x + 7 < 1 \end{cases} $

Решим каждое неравенство системы:

1) $ x - 1 > 1 \implies x > 2 $.

2) $ x^2 - 6x + 7 > 0 $. Найдем корни квадратного трехчлена $ x^2 - 6x + 7 = 0 $. Дискриминант $ D = 36 - 28 = 8 $. Корни $ x_{1,2} = \frac{6 \pm \sqrt{8}}{2} = 3 \pm \sqrt{2} $. Неравенство выполняется при $ x \in (-\infty, 3-\sqrt{2}) \cup (3+\sqrt{2}, +\infty) $.

3) $ x^2 - 6x + 7 < 1 \implies x^2 - 6x + 6 < 0 $. Найдем корни $ x^2 - 6x + 6 = 0 $. Дискриминант $ D = 36 - 24 = 12 $. Корни $ x_{1,2} = \frac{6 \pm \sqrt{12}}{2} = 3 \pm \sqrt{3} $. Неравенство выполняется при $ x \in (3-\sqrt{3}, 3+\sqrt{3}) $.

Найдем пересечение решений всех трех неравенств. Учитывая, что $ 3-\sqrt{3} \approx 1.27 $, $ 3-\sqrt{2} \approx 1.59 $, $ 3+\sqrt{2} \approx 4.41 $, $ 3+\sqrt{3} \approx 4.73 $, пересечение множеств $ (2, +\infty) $, $ (-\infty, 3-\sqrt{2}) \cup (3+\sqrt{2}, +\infty) $ и $ (3-\sqrt{3}, 3+\sqrt{3}) $ дает интервал $ (3+\sqrt{2}, 3+\sqrt{3}) $.

Случай 2: Основание логарифма находится в интервале от 0 до 1. В этом случае логарифмическая функция является убывающей, и знак неравенства для аргументов меняется на противоположный.

$ \begin{cases} 0 < x - 1 < 1 \\ x^2 - 6x + 7 > 1 \end{cases} $

Решим систему:

1) $ 0 < x - 1 < 1 \implies 1 < x < 2 $.

2) $ x^2 - 6x + 6 > 0 $. Из случая 1 известно, что решение этого неравенства есть $ x \in (-\infty, 3-\sqrt{3}) \cup (3+\sqrt{3}, +\infty) $.

Найдем пересечение интервала $ (1, 2) $ с множеством $ (-\infty, 3-\sqrt{3}) \cup (3+\sqrt{3}, +\infty) $. Так как $ 3-\sqrt{3} \approx 1.27 $, пересечение будет $ (1, 3-\sqrt{3}) $.

Объединяя решения из обоих случаев, получаем итоговый ответ.

Ответ: $ (1, 3-\sqrt{3}) \cup (3+\sqrt{2}, 3+\sqrt{3}) $.

б) Решим неравенство $ \log_{1-x}(2x^2 + 3x + 1) \ge 2 $.

Сначала найдем область определения (ОДЗ):

$ \begin{cases} 2x^2 + 3x + 1 > 0 \\ 1 - x > 0 \\ 1 - x \ne 1 \end{cases} \implies \begin{cases} (2x+1)(x+1) > 0 \\ x < 1 \\ x \ne 0 \end{cases} \implies x \in (-\infty, -1) \cup (-0.5, 0) \cup (0, 1). $

Представим правую часть неравенства как логарифм с основанием $ 1-x $: $ 2 = \log_{1-x}((1-x)^2) $.
Неравенство принимает вид: $ \log_{1-x}(2x^2 + 3x + 1) \ge \log_{1-x}((1-x)^2) $.

Случай 1: Основание $ 1-x > 1 \implies x < 0 $. С учетом ОДЗ, рассматриваем $ x \in (-\infty, -1) \cup (-0.5, 0) $. Функция возрастающая, знак неравенства сохраняется:

$ 2x^2 + 3x + 1 \ge (1-x)^2 $

$ 2x^2 + 3x + 1 \ge 1 - 2x + x^2 $

$ x^2 + 5x \ge 0 $

$ x(x+5) \ge 0 \implies x \in (-\infty, -5] \cup [0, +\infty) $.

Пересекая это решение с множеством $ (-\infty, -1) \cup (-0.5, 0) $, получаем $ x \in (-\infty, -5] $.

Случай 2: Основание $ 0 < 1-x < 1 \implies 0 < x < 1 $. С учетом ОДЗ, рассматриваем $ x \in (0, 1) $. Функция убывающая, знак неравенства меняется:

$ 2x^2 + 3x + 1 \le (1-x)^2 $

$ x^2 + 5x \le 0 $

$ x(x+5) \le 0 \implies x \in [-5, 0] $.

Пересечение этого решения с интервалом $ (0, 1) $ дает пустое множество.

Таким образом, решением исходного неравенства является только решение, полученное в первом случае.

Ответ: $ (-\infty, -5] $.

Помогло решение? Оставьте отзыв в комментариях ниже.

Присоединяйтесь к Телеграм-группе @gdz_by_belarus

Присоединиться

Мы подготовили для вас ответ c подробным объяснением домашего задания по алгебре за 11 класс, для упражнения номер 3.254 расположенного на странице 159 к учебнику 2020 года издания для учащихся школ и гимназий.

Теперь на нашем сайте ГДЗ.ТОП вы всегда легко и бесплатно найдёте условие с правильным ответом на вопрос «Как решить ДЗ» и «Как сделать» задание по алгебре к упражнению №3.254 (с. 159), авторов: Арефьева (Ирина Глебовна), Пирютко (Ольга Николаевна), учебного пособия издательства Народная асвета.