Номер 3.244, страница 158 - гдз по алгебре 11 класс учебник Арефьева, Пирютко

Алгебра, 11 класс Учебник, авторы: Арефьева Ирина Глебовна, Пирютко Ольга Николаевна, издательство Народная асвета, Минск, 2020, бирюзового цвета

Авторы: Арефьева И. Г., Пирютко О. Н.

Тип: Учебник

Издательство: Народная асвета

Год издания: 2020 - 2026

Цвет обложки: бирюзовый, зелёный с графиком

ISBN: 978-985-03-3165-6

Популярные ГДЗ в 11 классе

Глава 3. Логарифмическая функция. Параграф 10. Логарифмические неравенства - номер 3.244, страница 158.

№3.244 (с. 158)
Условие. №3.244 (с. 158)
скриншот условия
Алгебра, 11 класс Учебник, авторы: Арефьева Ирина Глебовна, Пирютко Ольга Николаевна, издательство Народная асвета, Минск, 2020, бирюзового цвета, страница 158, номер 3.244, Условие

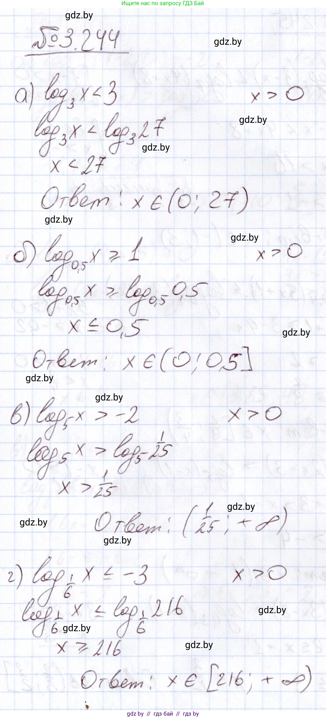
3.244. Решите логарифмическое неравенство:

a)

$ \log_3 x < 3; $

б)

$ \log_{0.5} x \ge 1; $

в)

$ \log_5 x > -2; $

г)

$ \log_{\frac{1}{6}} x \le -3. $

Решение. №3.244 (с. 158)
Алгебра, 11 класс Учебник, авторы: Арефьева Ирина Глебовна, Пирютко Ольга Николаевна, издательство Народная асвета, Минск, 2020, бирюзового цвета, страница 158, номер 3.244, Решение
Решение 2. №3.244 (с. 158)

Для решения логарифмических неравенств вида $\log_a f(x) < c$ или $\log_a f(x) > c$ необходимо выполнить следующие шаги:

  1. Найти область допустимых значений (ОДЗ), потребовав, чтобы аргумент логарифма был строго больше нуля: $f(x) > 0$.
  2. Представить правую часть неравенства в виде логарифма с тем же основанием: $c = \log_a a^c$.
  3. Перейти от логарифмического неравенства к неравенству для аргументов. При этом:
    • Если основание $a > 1$, знак неравенства сохраняется.
    • Если $0 < a < 1$, знак неравенства меняется на противоположный.
  4. Решить полученное неравенство и найти пересечение его решения с ОДЗ.
а)

Дано неравенство: $\log_3 x < 3$.

1. ОДЗ: $x > 0$.

2. Представим правую часть в виде логарифма по основанию 3: $3 = 3 \cdot \log_3 3 = \log_3 3^3 = \log_3 27$.

Получаем неравенство: $\log_3 x < \log_3 27$.

3. Основание логарифма $a=3$, что больше 1, поэтому логарифмическая функция является возрастающей. Знак неравенства при переходе к аргументам сохраняется: $x < 27$.

4. Учитывая ОДЗ ($x > 0$) и полученное решение ($x < 27$), составим систему:

$\begin{cases} x > 0 \\ x < 27 \end{cases}$

Решением системы является интервал $0 < x < 27$.

Ответ: $(0; 27)$.

б)

Дано неравенство: $\log_{0.5} x \ge 1$.

1. ОДЗ: $x > 0$.

2. Представим правую часть в виде логарифма по основанию 0.5: $1 = \log_{0.5} 0.5$.

Получаем неравенство: $\log_{0.5} x \ge \log_{0.5} 0.5$.

3. Основание логарифма $a=0.5$, что находится в интервале $(0; 1)$, поэтому логарифмическая функция является убывающей. Знак неравенства при переходе к аргументам меняется на противоположный: $x \le 0.5$.

4. Учитывая ОДЗ ($x > 0$) и полученное решение ($x \le 0.5$), составим систему:

$\begin{cases} x > 0 \\ x \le 0.5 \end{cases}$

Решением системы является полуинтервал $0 < x \le 0.5$.

Ответ: $(0; 0.5]$.

в)

Дано неравенство: $\log_5 x > -2$.

1. ОДЗ: $x > 0$.

2. Представим правую часть в виде логарифма по основанию 5: $-2 = -2 \cdot \log_5 5 = \log_5 5^{-2} = \log_5 \frac{1}{25}$.

Получаем неравенство: $\log_5 x > \log_5 \frac{1}{25}$.

3. Основание логарифма $a=5 > 1$, функция возрастающая, знак неравенства сохраняется: $x > \frac{1}{25}$.

4. Учитывая ОДЗ ($x > 0$) и полученное решение ($x > \frac{1}{25}$), получаем, что итоговое решение - это $x > \frac{1}{25}$.

Ответ: $(\frac{1}{25}; +\infty)$.

г)

Дано неравенство: $\log_{\frac{1}{6}} x \le -3$.

1. ОДЗ: $x > 0$.

2. Представим правую часть в виде логарифма по основанию $\frac{1}{6}$: $-3 = -3 \cdot \log_{\frac{1}{6}} (\frac{1}{6}) = \log_{\frac{1}{6}} ((\frac{1}{6})^{-3})$.

Вычислим $(\frac{1}{6})^{-3} = (6^{-1})^{-3} = 6^3 = 216$.

Получаем неравенство: $\log_{\frac{1}{6}} x \le \log_{\frac{1}{6}} 216$.

3. Основание логарифма $a=\frac{1}{6} < 1$, функция убывающая, знак неравенства меняется на противоположный: $x \ge 216$.

4. Учитывая ОДЗ ($x > 0$) и полученное решение ($x \ge 216$), получаем, что итоговое решение - это $x \ge 216$.

Ответ: $[216; +\infty)$.

Помогло решение? Оставьте отзыв в комментариях ниже.

Присоединяйтесь к Телеграм-группе @gdz_by_belarus

Присоединиться

Мы подготовили для вас ответ c подробным объяснением домашего задания по алгебре за 11 класс, для упражнения номер 3.244 расположенного на странице 158 к учебнику 2020 года издания для учащихся школ и гимназий.

Теперь на нашем сайте ГДЗ.ТОП вы всегда легко и бесплатно найдёте условие с правильным ответом на вопрос «Как решить ДЗ» и «Как сделать» задание по алгебре к упражнению №3.244 (с. 158), авторов: Арефьева (Ирина Глебовна), Пирютко (Ольга Николаевна), учебного пособия издательства Народная асвета.