вопрос 2, страница 250 - гдз по алгебре 9 класс учебник Арефьева, Пирютко

Алгебра, 9 класс Учебник, авторы: Арефьева Ирина Глебовна, Пирютко Ольга Николаевна, издательство Народная асвета, Минск, 2019, голубого цвета

Авторы: Арефьева И. Г., Пирютко О. Н.

Тип: Учебник

Издательство: Народная асвета

Год издания: 2019 - 2026

Цвет обложки: голубой, синий с графиком

ISBN: 978-985-03-3077-2

Допущено Министерством образования Республики Беларусь

Популярные ГДЗ в 9 классе

Глава 4. Прогрессии. Параграф 18. Формула суммы n первых членов геометрической прогрессии - страница 250.

вопрос 2 (с. 250)
Условие. вопрос 2 (с. 250)
скриншот условия
Алгебра, 9 класс Учебник, авторы: Арефьева Ирина Глебовна, Пирютко Ольга Николаевна, издательство Народная асвета, Минск, 2019, голубого цвета, страница 250, Условие

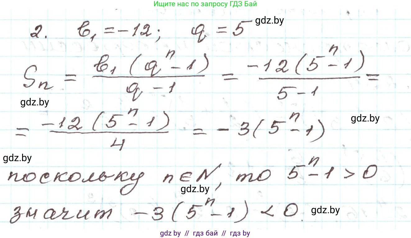
2. В геометрической прогрессии $(b_n)$ известно, что $b_1 = -12$, $q=5$.

Верно ли, что сумма $n$ первых членов данной прогрессии при любом $n$ является отрицательным числом?

Решение. вопрос 2 (с. 250)
Алгебра, 9 класс Учебник, авторы: Арефьева Ирина Глебовна, Пирютко Ольга Николаевна, издательство Народная асвета, Минск, 2019, голубого цвета, страница 250, Решение
Решение 2. вопрос 2 (с. 250)

Для того чтобы определить, будет ли сумма первых $n$ членов данной геометрической прогрессии всегда отрицательной, воспользуемся формулой для суммы.

Дано:

  • Первый член прогрессии: $b_1 = -12$
  • Знаменатель прогрессии: $q = 5$

Формула для суммы первых $n$ членов геометрической прогрессии $(S_n)$ выглядит так:

$S_n = \frac{b_1(q^n - 1)}{q - 1}$

Подставим в эту формулу известные нам значения $b_1$ и $q$:

$S_n = \frac{-12(5^n - 1)}{5 - 1}$

Упростим знаменатель:

$S_n = \frac{-12(5^n - 1)}{4}$

Сократим дробь:

$S_n = -3(5^n - 1)$

Теперь проанализируем знак полученного выражения для любого натурального числа $n$ (то есть при $n \ge 1$).

  1. Рассмотрим выражение в скобках: $(5^n - 1)$. Поскольку $n$ — натуральное число, $n$ может быть $1, 2, 3, \ldots$.
  2. При $n=1$, $5^1 - 1 = 4 > 0$.
  3. При $n > 1$, $5^n$ будет еще больше, и, соответственно, $5^n - 1$ всегда будет положительным числом.
  4. Таким образом, для любого натурального $n$ выражение $(5^n - 1)$ всегда положительно.

Сумма $S_n$ вычисляется как произведение отрицательного числа $(-3)$ на положительное число $(5^n - 1)$. Произведение отрицательного и положительного чисел всегда дает в результате отрицательное число.

$S_n = (-3) \cdot (5^n - 1) < 0$

Следовательно, сумма первых $n$ членов данной прогрессии при любом натуральном $n$ действительно является отрицательным числом.

Верно ли, что сумма n первых членов данной прогрессии при любом n является отрицательным числом? Ответ: Да, верно.

Помогло решение? Оставьте отзыв в комментариях ниже.

Присоединяйтесь к Телеграм-группе @gdz_by_belarus

Присоединиться

Мы подготовили для вас ответ c подробным объяснением домашего задания по алгебре за 9 класс, для упражнения вопрос 2 расположенного на странице 250 к учебнику 2019 года издания для учащихся школ и гимназий.

Теперь на нашем сайте ГДЗ.ТОП вы всегда легко и бесплатно найдёте условие с правильным ответом на вопрос «Как решить ДЗ» и «Как сделать» задание по алгебре к упражнению вопрос 2 (с. 250), авторов: Арефьева (Ирина Глебовна), Пирютко (Ольга Николаевна), учебного пособия издательства Народная асвета.