Номер 4.239, страница 251 - гдз по алгебре 9 класс учебник Арефьева, Пирютко

Алгебра, 9 класс Учебник, авторы: Арефьева Ирина Глебовна, Пирютко Ольга Николаевна, издательство Народная асвета, Минск, 2019, голубого цвета

Авторы: Арефьева И. Г., Пирютко О. Н.

Тип: Учебник

Издательство: Народная асвета

Год издания: 2019 - 2026

Цвет обложки: голубой, синий с графиком

ISBN: 978-985-03-3077-2

Допущено Министерством образования Республики Беларусь

Популярные ГДЗ в 9 классе

Глава 4. Прогрессии. Параграф 18. Формула суммы n первых членов геометрической прогрессии - номер 4.239, страница 251.

№4.239 (с. 251)
Условие. №4.239 (с. 251)
скриншот условия
Алгебра, 9 класс Учебник, авторы: Арефьева Ирина Глебовна, Пирютко Ольга Николаевна, издательство Народная асвета, Минск, 2019, голубого цвета, страница 251, номер 4.239, Условие

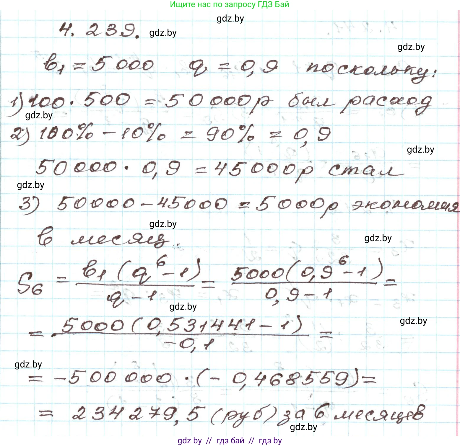
4.239. Предприятие в течение полугода проводило модернизацию производства, в результате чего расходы на выпуск единицы продукции снижались ежемесячно на 10 % по сравнению с предыдущим месяцем. Определите, сколько средств удалось сэкономить предприятию за шесть месяцев, если до модернизации расходы на выпуск единицы продукции составляли 100 р. и ежемесячно предприятие выпускает 500 единиц продукции.

Решение. №4.239 (с. 251)
Алгебра, 9 класс Учебник, авторы: Арефьева Ирина Глебовна, Пирютко Ольга Николаевна, издательство Народная асвета, Минск, 2019, голубого цвета, страница 251, номер 4.239, Решение
Решение 2. №4.239 (с. 251)

Для того чтобы определить, сколько средств удалось сэкономить предприятию, необходимо вычислить общие расходы на производство за 6 месяцев в двух сценариях: без модернизации и с модернизацией, а затем найти их разницу.

1. Расчет общих расходов без модернизации.

Стоимость производства одной единицы продукции до модернизации — $100$ р. Ежемесячно предприятие выпускает $500$ единиц. Следовательно, ежемесячные расходы без модернизации составляют:

$100 \text{ р.} \times 500 = 50 \, 000 \text{ р.}$

За 6 месяцев общие расходы составили бы:

$50 \, 000 \text{ р.} \times 6 = 300 \, 000 \text{ р.}$

2. Расчет общих расходов с учетом модернизации.

Расходы на выпуск единицы продукции ежемесячно снижались на 10%, то есть каждый месяц стоимость составляла $1 - 0.1 = 0.9$ от стоимости предыдущего месяца. Стоимость единицы продукции по месяцам представляет собой убывающую геометрическую прогрессию.

Найдем общие расходы с модернизацией. Для этого сначала рассчитаем суммарную стоимость производства одной единицы продукции за все 6 месяцев. Это сумма шести членов геометрической прогрессии, где первый член $b_1$ — это стоимость в первый месяц, а знаменатель прогрессии $q = 0.9$.

Стоимость в первый месяц: $b_1 = 100 \times 0.9 = 90$ р.

Сумма шести членов прогрессии ($S_6$) вычисляется по формуле:

$S_6 = \frac{b_1(1-q^n)}{1-q} = \frac{90(1-0.9^6)}{1-0.9}$

$S_6 = \frac{90(1-0.531441)}{0.1} = 900 \times 0.468559 = 421.7031$ р.

Это суммарная стоимость производства одной единицы за 6 месяцев. Так как ежемесячно производится 500 единиц, общие расходы за полгода с модернизацией составят:

$C_{общие} = 500 \times 421.7031 = 210 \, 851.55 \text{ р.}$

3. Расчет экономии.

Экономия — это разница между расходами без модернизации и с ней:

$Экономия = 300 \, 000 \text{ р.} - 210 \, 851.55 \text{ р.} = 89 \, 148.45 \text{ р.}$

Для соответствия формату ответа, переведем десятичную часть в обыкновенную дробь: $0.45 = \frac{45}{100} = \frac{9}{20}$.

Определите, сколько средств удалось сэкономить предприятию за шесть месяцев: Ответ: 89148 $\frac{9}{20}$ р.

Помогло решение? Оставьте отзыв в комментариях ниже.

Присоединяйтесь к Телеграм-группе @gdz_by_belarus

Присоединиться

Мы подготовили для вас ответ c подробным объяснением домашего задания по алгебре за 9 класс, для упражнения номер 4.239 расположенного на странице 251 к учебнику 2019 года издания для учащихся школ и гимназий.

Теперь на нашем сайте ГДЗ.ТОП вы всегда легко и бесплатно найдёте условие с правильным ответом на вопрос «Как решить ДЗ» и «Как сделать» задание по алгебре к упражнению №4.239 (с. 251), авторов: Арефьева (Ирина Глебовна), Пирютко (Ольга Николаевна), учебного пособия издательства Народная асвета.