Номер 4.231, страница 246 - гдз по алгебре 9 класс учебник Арефьева, Пирютко

Алгебра, 9 класс Учебник, авторы: Арефьева Ирина Глебовна, Пирютко Ольга Николаевна, издательство Народная асвета, Минск, 2019, голубого цвета

Авторы: Арефьева И. Г., Пирютко О. Н.

Тип: Учебник

Издательство: Народная асвета

Год издания: 2019 - 2026

Цвет обложки: голубой, синий с графиком

ISBN: 978-985-03-3077-2

Допущено Министерством образования Республики Беларусь

Популярные ГДЗ в 9 классе

Глава 4. Прогрессии. Параграф 17. Геометрическая прогрессия - номер 4.231, страница 246.

№4.231 (с. 246)
Условие. №4.231 (с. 246)
скриншот условия
Алгебра, 9 класс Учебник, авторы: Арефьева Ирина Глебовна, Пирютко Ольга Николаевна, издательство Народная асвета, Минск, 2019, голубого цвета, страница 246, номер 4.231, Условие

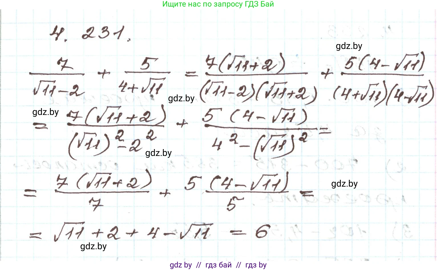
4.231. Найдите значение выражения

$\frac{7}{\sqrt{11}-2} + \frac{5}{4+\sqrt{11}}$.

Решение. №4.231 (с. 246)
Алгебра, 9 класс Учебник, авторы: Арефьева Ирина Глебовна, Пирютко Ольга Николаевна, издательство Народная асвета, Минск, 2019, голубого цвета, страница 246, номер 4.231, Решение
Решение 2. №4.231 (с. 246)

Чтобы найти значение выражения, необходимо упростить каждое слагаемое, избавившись от иррациональности в знаменателе. Для этого умножим числитель и знаменатель каждой дроби на выражение, сопряженное ее знаменателю.

1. Упростим первое слагаемое $ \frac{7}{\sqrt{11} - 2} $.

Сопряженным выражением для знаменателя $ (\sqrt{11} - 2) $ является $ (\sqrt{11} + 2) $. Умножим числитель и знаменатель дроби на это выражение:

$$ \frac{7}{\sqrt{11} - 2} = \frac{7 \cdot (\sqrt{11} + 2)}{(\sqrt{11} - 2) \cdot (\sqrt{11} + 2)} $$

В знаменателе применим формулу разности квадратов $ (a-b)(a+b) = a^2 - b^2 $:

$$ (\sqrt{11} - 2)(\sqrt{11} + 2) = (\sqrt{11})^2 - 2^2 = 11 - 4 = 7 $$

Подставим полученное значение в знаменатель и сократим дробь:

$$ \frac{7(\sqrt{11} + 2)}{7} = \sqrt{11} + 2 $$

2. Упростим второе слагаемое $ \frac{5}{4 + \sqrt{11}} $.

Сопряженным выражением для знаменателя $ (4 + \sqrt{11}) $ является $ (4 - \sqrt{11}) $. Умножим на него числитель и знаменатель:

$$ \frac{5}{4 + \sqrt{11}} = \frac{5 \cdot (4 - \sqrt{11})}{(4 + \sqrt{11}) \cdot (4 - \sqrt{11})} $$

В знаменателе также используем формулу разности квадратов:

$$ (4 + \sqrt{11})(4 - \sqrt{11}) = 4^2 - (\sqrt{11})^2 = 16 - 11 = 5 $$

Подставим значение в знаменатель и сократим:

$$ \frac{5(4 - \sqrt{11})}{5} = 4 - \sqrt{11} $$

3. Сложим полученные результаты.

Теперь исходное выражение можно записать в виде суммы упрощенных слагаемых:

$$ (\sqrt{11} + 2) + (4 - \sqrt{11}) $$

Раскроем скобки и приведем подобные члены:

$$ \sqrt{11} + 2 + 4 - \sqrt{11} = (\sqrt{11} - \sqrt{11}) + (2 + 4) = 0 + 6 = 6 $$

Ответ: 6

Помогло решение? Оставьте отзыв в комментариях ниже.

Присоединяйтесь к Телеграм-группе @gdz_by_belarus

Присоединиться

Мы подготовили для вас ответ c подробным объяснением домашего задания по алгебре за 9 класс, для упражнения номер 4.231 расположенного на странице 246 к учебнику 2019 года издания для учащихся школ и гимназий.

Теперь на нашем сайте ГДЗ.ТОП вы всегда легко и бесплатно найдёте условие с правильным ответом на вопрос «Как решить ДЗ» и «Как сделать» задание по алгебре к упражнению №4.231 (с. 246), авторов: Арефьева (Ирина Глебовна), Пирютко (Ольга Николаевна), учебного пособия издательства Народная асвета.