вопрос 2, страница 176 - гдз по алгебре 9 класс учебник Арефьева, Пирютко

Алгебра, 9 класс Учебник, авторы: Арефьева Ирина Глебовна, Пирютко Ольга Николаевна, издательство Народная асвета, Минск, 2019, голубого цвета

Авторы: Арефьева И. Г., Пирютко О. Н.

Тип: Учебник

Издательство: Народная асвета

Год издания: 2019 - 2026

Цвет обложки: голубой, синий с графиком

ISBN: 978-985-03-3077-2

Допущено Министерством образования Республики Беларусь

Популярные ГДЗ в 9 классе

Глава 3. Дробно-рациональные уравнения и неравенства. Параграф 12. Формула длины отрезка с заданными координатами его концов. Уравнение окружности - страница 176.

вопрос 2 (с. 176)
Условие. вопрос 2 (с. 176)
скриншот условия
Алгебра, 9 класс Учебник, авторы: Арефьева Ирина Глебовна, Пирютко Ольга Николаевна, издательство Народная асвета, Минск, 2019, голубого цвета, страница 176, Условие

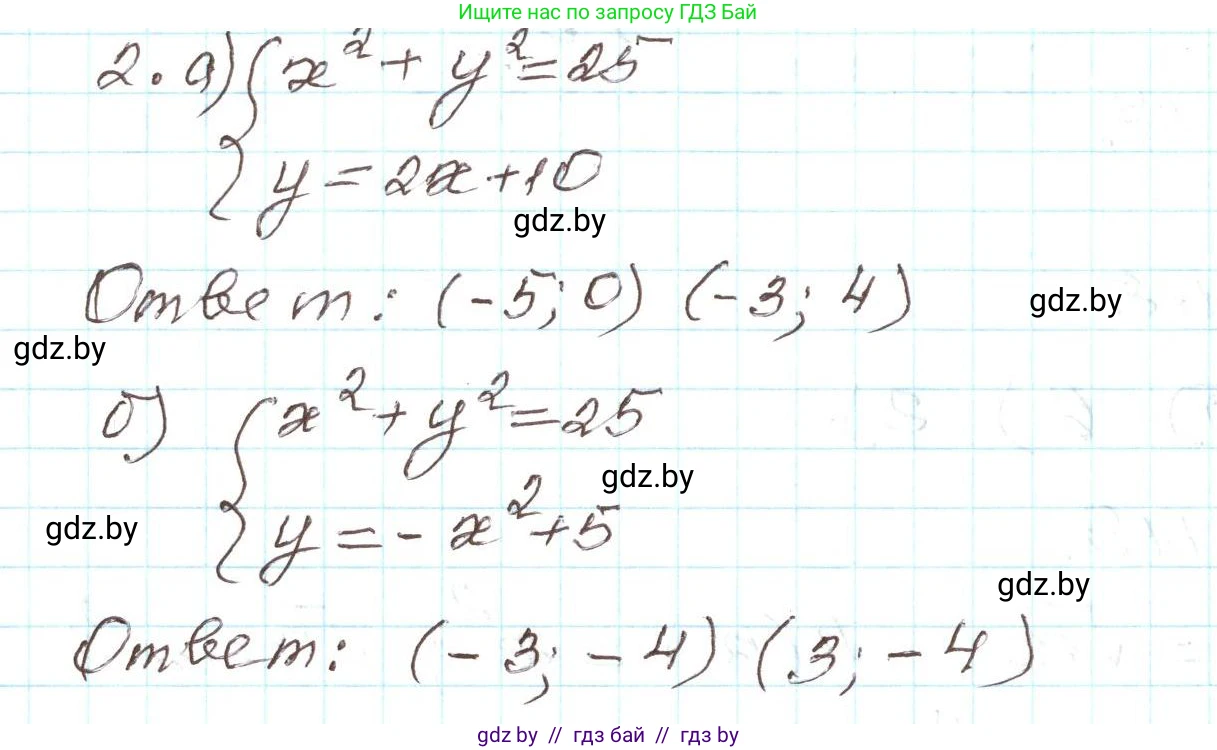
2. Используя рисунок 76, запишите две различные системы, одно из уравнений которых — уравнение окружности. Запишите решения этих систем.

Система 1:

$y = 2x + 10$
$x^2 + y^2 = 25$

Решения:

$(-5; 0)$
$(-3; 4)$

Система 2:

$y = -x^2 + 5$
$x^2 + y^2 = 25$

Решения:

$(-3; -4)$
$(0; 5)$
$(3; -4)$

Рис. 76

Решение. вопрос 2 (с. 176)
Алгебра, 9 класс Учебник, авторы: Арефьева Ирина Глебовна, Пирютко Ольга Николаевна, издательство Народная асвета, Минск, 2019, голубого цвета, страница 176, Решение
Решение 2. вопрос 2 (с. 176)

На рисунке изображены графики трех уравнений: окружности $x^2 + y^2 = 25$, прямой $y = 2x + 10$ и параболы $y = -x^2 + 5$. Для решения задачи необходимо составить две системы уравнений, в каждую из которых будет входить уравнение окружности, и найти решения этих систем. Решениями систем являются координаты точек пересечения соответствующих графиков.

Первая система (окружность и прямая)

Составим систему, включающую уравнения окружности и прямой:

$ \begin{cases} x^2 + y^2 = 25 \\ y = 2x + 10 \end{cases} $

Для нахождения решения подставим выражение для $y$ из второго уравнения в первое:

$x^2 + (2x + 10)^2 = 25$

Раскроем скобки и приведем подобные слагаемые:

$x^2 + 4x^2 + 40x + 100 = 25$

$5x^2 + 40x + 75 = 0$

Разделим обе части уравнения на 5 для упрощения:

$x^2 + 8x + 15 = 0$

Корни этого квадратного уравнения можно найти по теореме Виета. Сумма корней равна -8, а произведение 15. Следовательно, корни: $x_1 = -3$ и $x_2 = -5$.

Теперь найдем соответствующие значения $y$ для каждого найденного $x$:

  • Если $x_1 = -3$, то $y_1 = 2(-3) + 10 = -6 + 10 = 4$. Координаты первой точки пересечения $(-3, 4)$.
  • Если $x_2 = -5$, то $y_2 = 2(-5) + 10 = -10 + 10 = 0$. Координаты второй точки пересечения $(-5, 0)$.

Эти точки можно также увидеть на графике как точки пересечения синей прямой и черной окружности.

Ответ: $(-3, 4)$; $(-5, 0)$.

Вторая система (окружность и парабола)

Составим систему, включающую уравнения окружности и параболы:

$ \begin{cases} x^2 + y^2 = 25 \\ y = -x^2 + 5 \end{cases} $

Для решения этой системы удобно выразить $x^2$ из второго уравнения: $x^2 = 5 - y$. Теперь подставим это выражение в первое уравнение:

$(5 - y) + y^2 = 25$

Перенесем все члены в одну сторону, чтобы получить стандартное квадратное уравнение:

$y^2 - y - 20 = 0$

Решим это уравнение относительно $y$ с помощью дискриминанта: $D = b^2 - 4ac = (-1)^2 - 4(1)(-20) = 1 + 80 = 81 = 9^2$.

Корни уравнения для $y$:

$y_1 = \frac{-b + \sqrt{D}}{2a} = \frac{1 + 9}{2} = 5$

$y_2 = \frac{-b - \sqrt{D}}{2a} = \frac{1 - 9}{2} = -4$

Теперь найдем соответствующие значения $x$ для каждого найденного $y$:

  • Если $y_1 = 5$, то $x^2 = 5 - 5 = 0$, откуда $x = 0$. Координаты первой точки пересечения $(0, 5)$.
  • Если $y_2 = -4$, то $x^2 = 5 - (-4) = 9$, откуда $x = \pm 3$. Координаты еще двух точек пересечения: $(3, -4)$ и $(-3, -4)$.

Эти три точки можно также увидеть на графике как точки пересечения красной параболы и черной окружности.

Ответ: $(0, 5)$; $(3, -4)$; $(-3, -4)$.

Помогло решение? Оставьте отзыв в комментариях ниже.

Присоединяйтесь к Телеграм-группе @gdz_by_belarus

Присоединиться

Мы подготовили для вас ответ c подробным объяснением домашего задания по алгебре за 9 класс, для упражнения вопрос 2 расположенного на странице 176 к учебнику 2019 года издания для учащихся школ и гимназий.

Теперь на нашем сайте ГДЗ.ТОП вы всегда легко и бесплатно найдёте условие с правильным ответом на вопрос «Как решить ДЗ» и «Как сделать» задание по алгебре к упражнению вопрос 2 (с. 176), авторов: Арефьева (Ирина Глебовна), Пирютко (Ольга Николаевна), учебного пособия издательства Народная асвета.