Номер 3.124, страница 177 - гдз по алгебре 9 класс учебник Арефьева, Пирютко

Алгебра, 9 класс Учебник, авторы: Арефьева Ирина Глебовна, Пирютко Ольга Николаевна, издательство Народная асвета, Минск, 2019, голубого цвета

Авторы: Арефьева И. Г., Пирютко О. Н.

Тип: Учебник

Издательство: Народная асвета

Год издания: 2019 - 2026

Цвет обложки: голубой, синий с графиком

ISBN: 978-985-03-3077-2

Допущено Министерством образования Республики Беларусь

Популярные ГДЗ в 9 классе

Глава 3. Дробно-рациональные уравнения и неравенства. Параграф 12. Формула длины отрезка с заданными координатами его концов. Уравнение окружности - номер 3.124, страница 177.

№3.124 (с. 177)
Условие. №3.124 (с. 177)
скриншот условия
Алгебра, 9 класс Учебник, авторы: Арефьева Ирина Глебовна, Пирютко Ольга Николаевна, издательство Народная асвета, Минск, 2019, голубого цвета, страница 177, номер 3.124, Условие

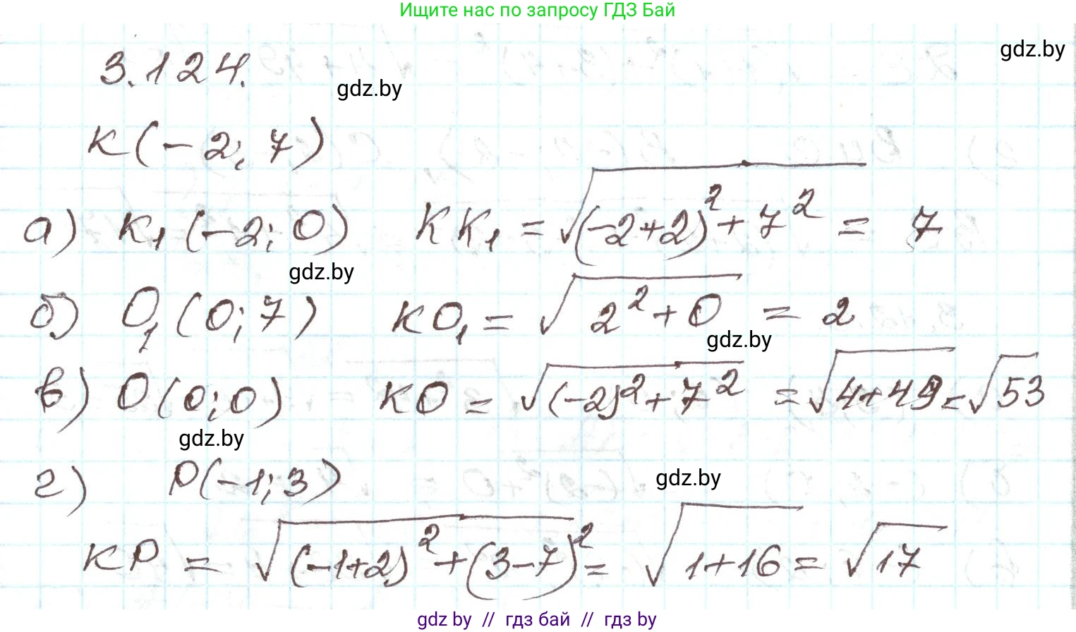
3.124. Составьте план решения и найдите расстояние от точки $K(-2; 7)$ до:

а) оси абсцисс;

б) оси ординат;

в) начала координат;

г) точки $P(-1; 3)$.

Решение. №3.124 (с. 177)
Алгебра, 9 класс Учебник, авторы: Арефьева Ирина Глебовна, Пирютко Ольга Николаевна, издательство Народная асвета, Минск, 2019, голубого цвета, страница 177, номер 3.124, Решение
Решение 2. №3.124 (с. 177)

Для нахождения расстояний от точки $K(-2; 7)$ до указанных объектов, составим план и выполним вычисления для каждого пункта.

а) оси абсцисс;

План решения: Расстояние от точки до оси абсцисс (оси Ox) равно модулю ее ординаты (y-координаты). Для точки $K(x_K; y_K)$ это расстояние вычисляется как $d = |y_K|$.

Вычисление:
Ордината точки $K(-2; 7)$ равна $y_K = 7$.
Следовательно, расстояние до оси абсцисс равно $d = |7| = 7$.

Ответ: 7.

б) оси ординат;

План решения: Расстояние от точки до оси ординат (оси Oy) равно модулю ее абсциссы (x-координаты). Для точки $K(x_K; y_K)$ это расстояние вычисляется как $d = |x_K|$.

Вычисление:
Абсцисса точки $K(-2; 7)$ равна $x_K = -2$.
Следовательно, расстояние до оси ординат равно $d = |-2| = 2$.

Ответ: 2.

в) начала координат;

План решения: Расстояние от точки $K(x_K; y_K)$ до начала координат $O(0; 0)$ находится по формуле расстояния между двумя точками, которая является следствием теоремы Пифагора: $d = \sqrt{(x_K - 0)^2 + (y_K - 0)^2} = \sqrt{x_K^2 + y_K^2}$.

Вычисление:
Подставляем координаты точки $K(-2; 7)$ в формулу:
$d = \sqrt{(-2)^2 + 7^2} = \sqrt{4 + 49} = \sqrt{53}$.

Ответ: $\sqrt{53}$.

г) точки P(-1; 3).

План решения: Расстояние между двумя точками $K(x_K; y_K)$ и $P(x_P; y_P)$ вычисляется по стандартной формуле расстояния: $d = \sqrt{(x_P - x_K)^2 + (y_P - y_K)^2}$.

Вычисление:
Подставляем координаты точек $K(-2; 7)$ и $P(-1; 3)$ в формулу:
$d = \sqrt{(-1 - (-2))^2 + (3 - 7)^2}$
$d = \sqrt{(-1 + 2)^2 + (-4)^2}$
$d = \sqrt{1^2 + 16}$
$d = \sqrt{1 + 16} = \sqrt{17}$.

Ответ: $\sqrt{17}$.

Помогло решение? Оставьте отзыв в комментариях ниже.

Присоединяйтесь к Телеграм-группе @gdz_by_belarus

Присоединиться

Мы подготовили для вас ответ c подробным объяснением домашего задания по алгебре за 9 класс, для упражнения номер 3.124 расположенного на странице 177 к учебнику 2019 года издания для учащихся школ и гимназий.

Теперь на нашем сайте ГДЗ.ТОП вы всегда легко и бесплатно найдёте условие с правильным ответом на вопрос «Как решить ДЗ» и «Как сделать» задание по алгебре к упражнению №3.124 (с. 177), авторов: Арефьева (Ирина Глебовна), Пирютко (Ольга Николаевна), учебного пособия издательства Народная асвета.