Номер 3.114, страница 171 - гдз по алгебре 9 класс учебник Арефьева, Пирютко
Авторы: Арефьева И. Г., Пирютко О. Н.
Тип: Учебник
Издательство: Народная асвета
Год издания: 2019 - 2026
Цвет обложки: голубой, синий с графиком
ISBN: 978-985-03-3077-2
Допущено Министерством образования Республики Беларусь
Популярные ГДЗ в 9 классе
Глава 3. Дробно-рациональные уравнения и неравенства. Параграф 11. Системы нелинейных уравнений - номер 3.114, страница 171.
№3.114 (с. 171)
Условие. №3.114 (с. 171)
скриншот условия
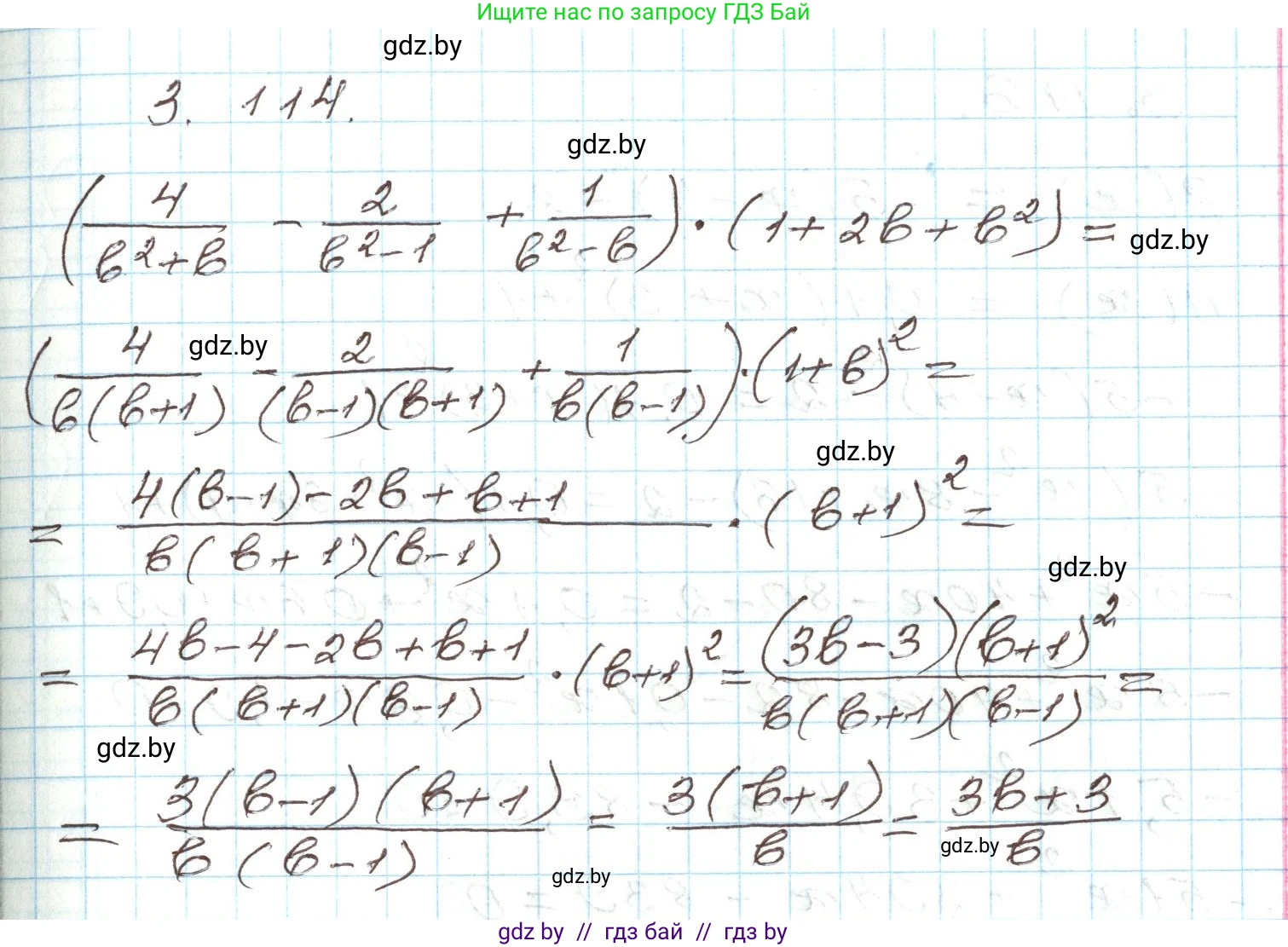
$(\frac{4}{b^2+b} - \frac{2}{b^2-1} + \frac{1}{b^2-b}) \cdot (1+2b+b^2).$
Решение. №3.114 (с. 171)
Решение 2. №3.114 (с. 171)
Для упрощения данного выражения выполним действия по шагам, предварительно определив область допустимых значений (ОДЗ). Знаменатели дробей не могут быть равны нулю, поэтому:
- $ b^2 + b = b(b+1) \neq 0 \Rightarrow b \neq 0, b \neq -1 $
- $ b^2 - 1 = (b-1)(b+1) \neq 0 \Rightarrow b \neq 1, b \neq -1 $
- $ b^2 - b = b(b-1) \neq 0 \Rightarrow b \neq 0, b \neq 1 $
Итак, ОДЗ: $ b \notin \{-1, 0, 1\} $.
1. Упрощение выражения в первых скобках: $ \left(\frac{4}{b^2 + b} - \frac{2}{b^2 - 1} + \frac{1}{b^2 - b}\right) $
Мы уже разложили знаменатели на множители. Общий знаменатель для дробей - это $ b(b-1)(b+1) $. Приведем все дроби к этому знаменателю:
$ \frac{4(b-1)}{b(b+1)(b-1)} - \frac{2b}{b(b^2-1)} + \frac{1(b+1)}{b(b-1)(b+1)} $
Теперь объединим дроби, выполнив действия в числителе:
$ \frac{4(b-1) - 2b + (b+1)}{b(b-1)(b+1)} = \frac{4b - 4 - 2b + b + 1}{b(b-1)(b+1)} = \frac{3b - 3}{b(b-1)(b+1)} $
Вынесем общий множитель 3 в числителе и сократим полученную дробь на множитель $ (b-1) $:
$ \frac{3(b-1)}{b(b-1)(b+1)} = \frac{3}{b(b+1)} $
2. Упрощение выражения во вторых скобках: $ (1 + 2b + b^2) $
Это выражение является полным квадратом суммы, который можно свернуть по формуле $ (a+b)^2 = a^2 + 2ab + b^2 $:
$ 1 + 2b + b^2 = (1+b)^2 = (b+1)^2 $
3. Перемножение полученных результатов
Теперь умножим упрощенные выражения из первого и второго шагов:
$ \frac{3}{b(b+1)} \cdot (b+1)^2 = \frac{3(b+1)^2}{b(b+1)} $
Сократим дробь на общий множитель $ (b+1) $:
$ \frac{3(b+1)}{b} $
4. Выделение целой части из неправильной дроби
Полученное выражение $ \frac{3(b+1)}{b} $ является неправильной рациональной дробью. Раскроем скобки в числителе и разделим его почленно на знаменатель, чтобы выделить целую часть:
$ \frac{3b+3}{b} = \frac{3b}{b} + \frac{3}{b} = 3 + \frac{3}{b} $
Ответ: $ \mathbf{3} + \frac{3}{b} $
Другие задания:
Помогло решение? Оставьте отзыв в комментариях ниже.
Присоединяйтесь к Телеграм-группе @gdz_by_belarus
ПрисоединитьсяМы подготовили для вас ответ c подробным объяснением домашего задания по алгебре за 9 класс, для упражнения номер 3.114 расположенного на странице 171 к учебнику 2019 года издания для учащихся школ и гимназий.
Теперь на нашем сайте ГДЗ.ТОП вы всегда легко и бесплатно найдёте условие с правильным ответом на вопрос «Как решить ДЗ» и «Как сделать» задание по алгебре к упражнению №3.114 (с. 171), авторов: Арефьева (Ирина Глебовна), Пирютко (Ольга Николаевна), учебного пособия издательства Народная асвета.