Номер 1.153, страница 46 - гдз по алгебре 9 класс учебник Арефьева, Пирютко

Алгебра, 9 класс Учебник, авторы: Арефьева Ирина Глебовна, Пирютко Ольга Николаевна, издательство Народная асвета, Минск, 2019, голубого цвета

Авторы: Арефьева И. Г., Пирютко О. Н.

Тип: Учебник

Издательство: Народная асвета

Год издания: 2019 - 2026

Цвет обложки: голубой, синий с графиком

ISBN: 978-985-03-3077-2

Допущено Министерством образования Республики Беларусь

Популярные ГДЗ в 9 классе

Глава 1. Рациональные выражения. Параграф 3. Сложение и вычитание рациональных дробей - номер 1.153, страница 46.

№1.153 (с. 46)
Условие. №1.153 (с. 46)
скриншот условия
Алгебра, 9 класс Учебник, авторы: Арефьева Ирина Глебовна, Пирютко Ольга Николаевна, издательство Народная асвета, Минск, 2019, голубого цвета, страница 46, номер 1.153, Условие
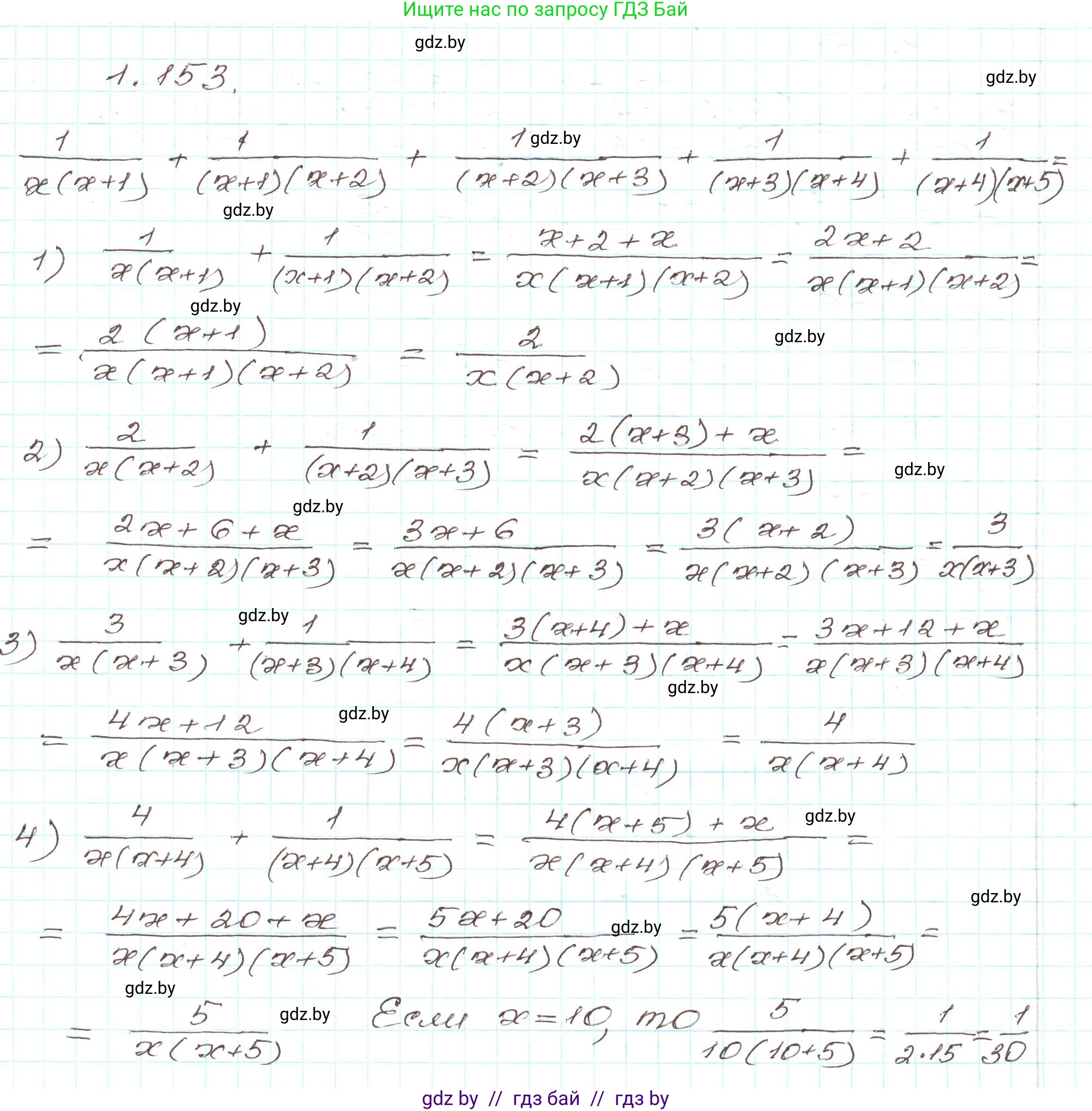
1.153*. Упростите выражение

$\frac{1}{x(x+1)} + \frac{1}{(x+1)(x+2)} + \frac{1}{(x+2)(x+3)} + \frac{1}{(x+3)(x+4)} + \frac{1}{(x+4)(x+5)}$ и найдите его значение при $x = 10$.

Решение. №1.153 (с. 46)
Алгебра, 9 класс Учебник, авторы: Арефьева Ирина Глебовна, Пирютко Ольга Николаевна, издательство Народная асвета, Минск, 2019, голубого цвета, страница 46, номер 1.153, Решение
Решение 2. №1.153 (с. 46)

Для решения этой задачи мы сначала упростим данное выражение, а затем найдем его значение при $x=10$. Ключевой идеей для упрощения является представление каждой дроби в виде разности двух других дробей, что приводит к так называемой телескопической сумме.

Упростите выражение

Заметим, что каждый член суммы имеет вид $\frac{1}{a(a+1)}$. Такую дробь можно представить в виде разности:

$\frac{1}{a(a+1)} = \frac{(a+1)-a}{a(a+1)} = \frac{a+1}{a(a+1)} - \frac{a}{a(a+1)} = \frac{1}{a} - \frac{1}{a+1}$

Применим это правило к каждому слагаемому в исходном выражении:

  • $\frac{1}{x(x+1)} = \frac{1}{x} - \frac{1}{x+1}$
  • $\frac{1}{(x+1)(x+2)} = \frac{1}{x+1} - \frac{1}{x+2}$
  • $\frac{1}{(x+2)(x+3)} = \frac{1}{x+2} - \frac{1}{x+3}$
  • $\frac{1}{(x+3)(x+4)} = \frac{1}{x+3} - \frac{1}{x+4}$
  • $\frac{1}{(x+4)(x+5)} = \frac{1}{x+4} - \frac{1}{x+5}$

Теперь подставим эти разложения в исходную сумму:

$(\frac{1}{x} - \frac{1}{x+1}) + (\frac{1}{x+1} - \frac{1}{x+2}) + (\frac{1}{x+2} - \frac{1}{x+3}) + (\frac{1}{x+3} - \frac{1}{x+4}) + (\frac{1}{x+4} - \frac{1}{x+5})$

Мы видим, что все промежуточные члены взаимно уничтожаются, так как они идут парами с противоположными знаками (например, $-\frac{1}{x+1}$ и $+\frac{1}{x+1}$). В результате остаются только первый и последний члены:

$\frac{1}{x} - \frac{1}{x+5}$

Приведем это выражение к общему знаменателю $x(x+5)$:

$\frac{1 \cdot (x+5)}{x(x+5)} - \frac{1 \cdot x}{x(x+5)} = \frac{x+5-x}{x(x+5)} = \frac{5}{x(x+5)}$

Ответ: $\frac{5}{x(x+5)}$

найдите его значение при x = 10

Теперь подставим значение $x=10$ в полученное упрощенное выражение:

$\frac{5}{10(10+5)} = \frac{5}{10 \cdot 15} = \frac{5}{150}$

Сократим полученную дробь, разделив числитель и знаменатель на 5:

$\frac{5 \div 5}{150 \div 5} = \frac{1}{30}$

Полученная дробь $\frac{1}{30}$ является правильной, поэтому ее целая часть равна 0.

Ответ: $\frac{1}{30}$

Помогло решение? Оставьте отзыв в комментариях ниже.

Присоединяйтесь к Телеграм-группе @gdz_by_belarus

Присоединиться

Мы подготовили для вас ответ c подробным объяснением домашего задания по алгебре за 9 класс, для упражнения номер 1.153 расположенного на странице 46 к учебнику 2019 года издания для учащихся школ и гимназий.

Теперь на нашем сайте ГДЗ.ТОП вы всегда легко и бесплатно найдёте условие с правильным ответом на вопрос «Как решить ДЗ» и «Как сделать» задание по алгебре к упражнению №1.153 (с. 46), авторов: Арефьева (Ирина Глебовна), Пирютко (Ольга Николаевна), учебного пособия издательства Народная асвета.