Номер 1.147, страница 45 - гдз по алгебре 9 класс учебник Арефьева, Пирютко

Алгебра, 9 класс Учебник, авторы: Арефьева Ирина Глебовна, Пирютко Ольга Николаевна, издательство Народная асвета, Минск, 2019, голубого цвета

Авторы: Арефьева И. Г., Пирютко О. Н.

Тип: Учебник

Издательство: Народная асвета

Год издания: 2019 - 2026

Цвет обложки: голубой, синий с графиком

ISBN: 978-985-03-3077-2

Допущено Министерством образования Республики Беларусь

Популярные ГДЗ в 9 классе

Глава 1. Рациональные выражения. Параграф 3. Сложение и вычитание рациональных дробей - номер 1.147, страница 45.

№1.147 (с. 45)
Условие. №1.147 (с. 45)
скриншот условия
Алгебра, 9 класс Учебник, авторы: Арефьева Ирина Глебовна, Пирютко Ольга Николаевна, издательство Народная асвета, Минск, 2019, голубого цвета, страница 45, номер 1.147, Условие

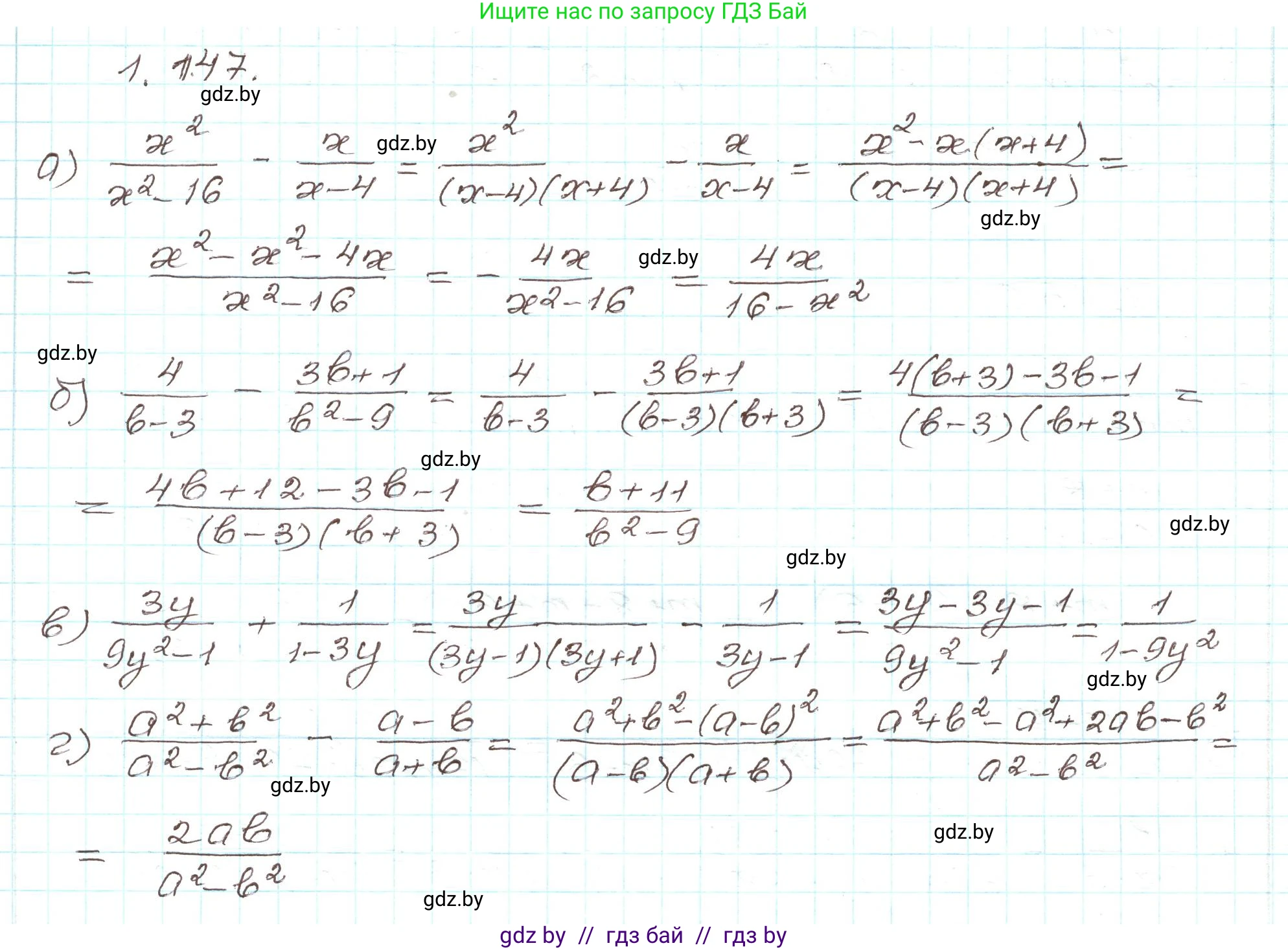
1.147. Примените формулу разности квадратов для разложения на множители знаменателей дробей и приведите выражение к несократимой дроби:

а) $\frac{x^2}{x^2-16} - \frac{x}{x-4};$

б) $\frac{4}{b-3} - \frac{3b+1}{b^2-9};$

в) $\frac{3y}{9y^2-1} + \frac{1}{1-3y};$

г) $\frac{a^2+b^2}{a^2-b^2} - \frac{a-b}{a+b}.$

Решение. №1.147 (с. 45)
Алгебра, 9 класс Учебник, авторы: Арефьева Ирина Глебовна, Пирютко Ольга Николаевна, издательство Народная асвета, Минск, 2019, голубого цвета, страница 45, номер 1.147, Решение
Решение 2. №1.147 (с. 45)

Для решения данных задач мы будем использовать формулу разности квадратов $a^2 - b^2 = (a-b)(a+b)$ для разложения знаменателей на множители, а затем приводить дроби к общему знаменателю и упрощать полученное выражение.

а) Рассмотрим выражение $ \frac{x^2}{x^2 - 16} - \frac{x}{x-4} $.

Знаменатель первой дроби, $x^2 - 16$, является разностью квадратов. Применим формулу: $ x^2 - 16 = x^2 - 4^2 = (x-4)(x+4) $.

Теперь выражение можно переписать так: $ \frac{x^2}{(x-4)(x+4)} - \frac{x}{x-4} $.

Общим знаменателем для этих дробей является $(x-4)(x+4)$. Приведем вторую дробь к этому знаменателю, домножив ее числитель и знаменатель на дополнительный множитель $(x+4)$: $ \frac{x^2}{(x-4)(x+4)} - \frac{x(x+4)}{(x-4)(x+4)} $.

Выполним вычитание дробей, объединив числители под общим знаменателем: $ \frac{x^2 - x(x+4)}{(x-4)(x+4)} $.

Упростим выражение в числителе, раскрыв скобки: $ x^2 - x^2 - 4x = -4x $.

В результате получаем несократимую дробь: $ \frac{-4x}{(x-4)(x+4)} = -\frac{4x}{x^2-16} $.

Ответ: $ -\frac{4x}{x^2-16} $

б) Рассмотрим выражение $ \frac{4}{b-3} - \frac{3b+1}{b^2-9} $.

Разложим знаменатель второй дроби $b^2 - 9$ по формуле разности квадратов: $ b^2 - 9 = b^2 - 3^2 = (b-3)(b+3) $.

Перепишем исходное выражение с разложенным знаменателем: $ \frac{4}{b-3} - \frac{3b+1}{(b-3)(b+3)} $.

Общий знаменатель — $(b-3)(b+3)$. Домножим первую дробь на недостающий множитель $(b+3)$: $ \frac{4(b+3)}{(b-3)(b+3)} - \frac{3b+1}{(b-3)(b+3)} $.

Произведем вычитание дробей: $ \frac{4(b+3) - (3b+1)}{(b-3)(b+3)} $.

Упростим числитель: $ 4b + 12 - 3b - 1 = b + 11 $.

Итоговая несократимая дробь: $ \frac{b+11}{(b-3)(b+3)} = \frac{b+11}{b^2-9} $.

Ответ: $ \frac{b+11}{b^2-9} $

в) Рассмотрим выражение $ \frac{3y}{9y^2 - 1} + \frac{1}{1-3y} $.

Разложим знаменатель первой дроби $9y^2 - 1$ по формуле разности квадратов: $ 9y^2 - 1 = (3y)^2 - 1^2 = (3y-1)(3y+1) $.

Знаменатель второй дроби $1-3y$ можно представить как $-(3y-1)$. Преобразуем вторую дробь, вынеся минус за знак дроби: $ \frac{1}{1-3y} = \frac{1}{-(3y-1)} = -\frac{1}{3y-1} $.

Выражение примет вид: $ \frac{3y}{(3y-1)(3y+1)} - \frac{1}{3y-1} $.

Общий знаменатель — $(3y-1)(3y+1)$. Приведем вторую дробь к общему знаменателю, домножив ее на $(3y+1)$: $ \frac{3y}{(3y-1)(3y+1)} - \frac{1(3y+1)}{(3y-1)(3y+1)} $.

Выполним вычитание: $ \frac{3y - (3y+1)}{(3y-1)(3y+1)} $.

Упростим числитель: $ 3y - 3y - 1 = -1 $.

Конечный результат: $ \frac{-1}{(3y-1)(3y+1)} = -\frac{1}{9y^2-1} $.

Ответ: $ -\frac{1}{9y^2-1} $

г) Рассмотрим выражение $ \frac{a^2+b^2}{a^2 - b^2} - \frac{a-b}{a+b} $.

Разложим знаменатель первой дроби $a^2 - b^2$ на множители: $ a^2 - b^2 = (a-b)(a+b) $.

Подставим разложение в исходное выражение: $ \frac{a^2+b^2}{(a-b)(a+b)} - \frac{a-b}{a+b} $.

Общий знаменатель — $(a-b)(a+b)$. Домножим вторую дробь на множитель $(a-b)$: $ \frac{a^2+b^2}{(a-b)(a+b)} - \frac{(a-b)(a-b)}{(a+b)(a-b)} = \frac{a^2+b^2 - (a-b)^2}{(a-b)(a+b)} $.

Упростим числитель, используя формулу квадрата разности $(a-b)^2 = a^2-2ab+b^2$: $ a^2+b^2 - (a^2 - 2ab + b^2) = a^2+b^2 - a^2 + 2ab - b^2 = 2ab $.

Получаем итоговую дробь: $ \frac{2ab}{(a-b)(a+b)} = \frac{2ab}{a^2-b^2} $.

Ответ: $ \frac{2ab}{a^2-b^2} $

Помогло решение? Оставьте отзыв в комментариях ниже.

Присоединяйтесь к Телеграм-группе @gdz_by_belarus

Присоединиться

Мы подготовили для вас ответ c подробным объяснением домашего задания по алгебре за 9 класс, для упражнения номер 1.147 расположенного на странице 45 к учебнику 2019 года издания для учащихся школ и гимназий.

Теперь на нашем сайте ГДЗ.ТОП вы всегда легко и бесплатно найдёте условие с правильным ответом на вопрос «Как решить ДЗ» и «Как сделать» задание по алгебре к упражнению №1.147 (с. 45), авторов: Арефьева (Ирина Глебовна), Пирютко (Ольга Николаевна), учебного пособия издательства Народная асвета.