Номер 1.152, страница 46 - гдз по алгебре 9 класс учебник Арефьева, Пирютко

Алгебра, 9 класс Учебник, авторы: Арефьева Ирина Глебовна, Пирютко Ольга Николаевна, издательство Народная асвета, Минск, 2019, голубого цвета

Авторы: Арефьева И. Г., Пирютко О. Н.

Тип: Учебник

Издательство: Народная асвета

Год издания: 2019 - 2026

Цвет обложки: голубой, синий с графиком

ISBN: 978-985-03-3077-2

Допущено Министерством образования Республики Беларусь

Популярные ГДЗ в 9 классе

Глава 1. Рациональные выражения. Параграф 3. Сложение и вычитание рациональных дробей - номер 1.152, страница 46.

№1.152 (с. 46)
Условие. №1.152 (с. 46)
скриншот условия
Алгебра, 9 класс Учебник, авторы: Арефьева Ирина Глебовна, Пирютко Ольга Николаевна, издательство Народная асвета, Минск, 2019, голубого цвета, страница 46, номер 1.152, Условие

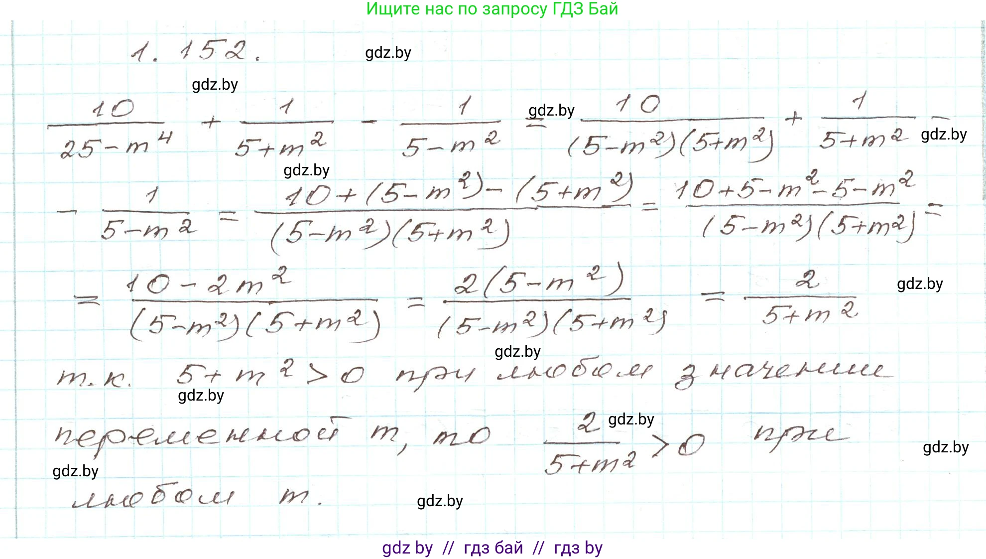
1.152* Докажите, что при всех допустимых значениях переменной выражение $\frac{10}{25 - m^4} + \frac{1}{5 + m^2} - \frac{1}{5 - m^2}$ принимает только положительные значения.

Решение. №1.152 (с. 46)
Алгебра, 9 класс Учебник, авторы: Арефьева Ирина Глебовна, Пирютко Ольга Николаевна, издательство Народная асвета, Минск, 2019, голубого цвета, страница 46, номер 1.152, Решение
Решение 2. №1.152 (с. 46)

Чтобы доказать, что данное выражение при всех допустимых значениях переменной принимает только положительные значения, необходимо его упростить и проанализировать результат.

Исходное выражение: $ \frac{10}{25 - m^4} + \frac{1}{5 + m^2} - \frac{1}{5 - m^2} $.

Сначала определим область допустимых значений (ОДЗ). Выражение имеет смысл, если знаменатели дробей не равны нулю. Знаменатель первого слагаемого $25 - m^4$ можно разложить по формуле разности квадратов: $a^2 - b^2 = (a-b)(a+b)$.

$25 - m^4 = 5^2 - (m^2)^2 = (5 - m^2)(5 + m^2)$.

Таким образом, ОДЗ определяется следующими условиями:

  • $5 + m^2 \neq 0$. Это условие выполняется всегда, так как $m^2 \ge 0$, следовательно, $5 + m^2 \ge 5$.
  • $5 - m^2 \neq 0$. Это означает, что $m^2 \neq 5$, то есть $m \neq \sqrt{5}$ и $m \neq -\sqrt{5}$.

Итак, ОДЗ: все действительные числа $m$, кроме $m = \pm\sqrt{5}$.

Теперь упростим выражение, приведя все дроби к общему знаменателю $(5 - m^2)(5 + m^2)$.

$ \frac{10}{(5 - m^2)(5 + m^2)} + \frac{1 \cdot (5 - m^2)}{(5 + m^2)(5 - m^2)} - \frac{1 \cdot (5 + m^2)}{(5 - m^2)(5 + m^2)} = $

Объединим дроби под одним знаменателем и упростим числитель:

$ = \frac{10 + (5 - m^2) - (5 + m^2)}{(5 - m^2)(5 + m^2)} = \frac{10 + 5 - m^2 - 5 - m^2}{(5 - m^2)(5 + m^2)} = \frac{10 - 2m^2}{(5 - m^2)(5 + m^2)} $

Вынесем общий множитель 2 в числителе:

$ = \frac{2(5 - m^2)}{(5 - m^2)(5 + m^2)} $

Поскольку мы работаем в области допустимых значений, где $5 - m^2 \neq 0$, мы можем сократить дробь на множитель $(5 - m^2)$:

$ \frac{2}{5 + m^2} $

Проанализируем полученное выражение $ \frac{2}{5 + m^2} $. Его числитель равен 2 (положительное число), а знаменатель $5 + m^2$ всегда положителен (так как $m^2 \ge 0$, то $5 + m^2 \ge 5$). Частное двух положительных чисел всегда является положительным числом. Таким образом, исходное выражение тождественно равно $ \frac{2}{5 + m^2} $ при всех допустимых значениях $m$, а значит, всегда принимает положительные значения. Ответ: Что и требовалось доказать.

Помогло решение? Оставьте отзыв в комментариях ниже.

Присоединяйтесь к Телеграм-группе @gdz_by_belarus

Присоединиться

Мы подготовили для вас ответ c подробным объяснением домашего задания по алгебре за 9 класс, для упражнения номер 1.152 расположенного на странице 46 к учебнику 2019 года издания для учащихся школ и гимназий.

Теперь на нашем сайте ГДЗ.ТОП вы всегда легко и бесплатно найдёте условие с правильным ответом на вопрос «Как решить ДЗ» и «Как сделать» задание по алгебре к упражнению №1.152 (с. 46), авторов: Арефьева (Ирина Глебовна), Пирютко (Ольга Николаевна), учебного пособия издательства Народная асвета.