Номер 1.126, страница 43 - гдз по алгебре 9 класс учебник Арефьева, Пирютко

Алгебра, 9 класс Учебник, авторы: Арефьева Ирина Глебовна, Пирютко Ольга Николаевна, издательство Народная асвета, Минск, 2019, голубого цвета

Авторы: Арефьева И. Г., Пирютко О. Н.

Тип: Учебник

Издательство: Народная асвета

Год издания: 2019 - 2026

Цвет обложки: голубой, синий с графиком

ISBN: 978-985-03-3077-2

Допущено Министерством образования Республики Беларусь

Популярные ГДЗ в 9 классе

Глава 1. Рациональные выражения. Параграф 3. Сложение и вычитание рациональных дробей - номер 1.126, страница 43.

№1.126 (с. 43)
Условие. №1.126 (с. 43)
скриншот условия
Алгебра, 9 класс Учебник, авторы: Арефьева Ирина Глебовна, Пирютко Ольга Николаевна, издательство Народная асвета, Минск, 2019, голубого цвета, страница 43, номер 1.126, Условие

1.126*. Упростите выражение:

а) $\frac{1}{a(a+2)} + \frac{1}{(a+2)(a+4)} + \frac{1}{(a+4)(a+6)} + \frac{1}{(a+6)(a+8)}$;

б) $\frac{1}{b^2+3b} + \frac{1}{b^2+9b+18} + \frac{1}{b^2+15b+54} + \frac{1}{b^2+21b+108}$.

Решение. №1.126 (с. 43)
Алгебра, 9 класс Учебник, авторы: Арефьева Ирина Глебовна, Пирютко Ольга Николаевна, издательство Народная асвета, Минск, 2019, голубого цвета, страница 43, номер 1.126, Решение Алгебра, 9 класс Учебник, авторы: Арефьева Ирина Глебовна, Пирютко Ольга Николаевна, издательство Народная асвета, Минск, 2019, голубого цвета, страница 43, номер 1.126, Решение (продолжение 2)
Решение 2. №1.126 (с. 43)

а) Исходное выражение:

$\frac{1}{a(a+2)} + \frac{1}{(a+2)(a+4)} + \frac{1}{(a+4)(a+6)} + \frac{1}{(a+6)(a+8)}$

Каждую дробь в этой сумме можно представить в виде разности двух дробей. Для этого воспользуемся общей формулой разложения на простейшие дроби:

$\frac{1}{x(x+d)} = \frac{1}{d} \left(\frac{1}{x} - \frac{1}{x+d}\right)$

В нашем случае разность между множителями в знаменателе $d = (a+2) - a = 2$. Применим эту формулу к каждому слагаемому:

$\frac{1}{a(a+2)} = \frac{1}{2} \left(\frac{1}{a} - \frac{1}{a+2}\right)$

$\frac{1}{(a+2)(a+4)} = \frac{1}{2} \left(\frac{1}{a+2} - \frac{1}{a+4}\right)$

$\frac{1}{(a+4)(a+6)} = \frac{1}{2} \left(\frac{1}{a+4} - \frac{1}{a+6}\right)$

$\frac{1}{(a+6)(a+8)} = \frac{1}{2} \left(\frac{1}{a+6} - \frac{1}{a+8}\right)$

Теперь подставим эти разложения обратно в исходное выражение и вынесем общий множитель $\frac{1}{2}$ за скобки:

$\frac{1}{2} \left[ \left(\frac{1}{a} - \frac{1}{a+2}\right) + \left(\frac{1}{a+2} - \frac{1}{a+4}\right) + \left(\frac{1}{a+4} - \frac{1}{a+6}\right) + \left(\frac{1}{a+6} - \frac{1}{a+8}\right) \right]$

Внутри скобок все промежуточные дроби взаимно уничтожаются (это называется телескопической суммой):

$\frac{1}{2} \left[ \frac{1}{a} - \cancel{\frac{1}{a+2}} + \cancel{\frac{1}{a+2}} - \cancel{\frac{1}{a+4}} + \cancel{\frac{1}{a+4}} - \cancel{\frac{1}{a+6}} + \cancel{\frac{1}{a+6}} - \frac{1}{a+8} \right]$

Остаются только первая и последняя дроби:

$\frac{1}{2} \left( \frac{1}{a} - \frac{1}{a+8} \right)$

Приведем дроби в скобках к общему знаменателю $a(a+8)$:

$\frac{1}{2} \left( \frac{a+8 - a}{a(a+8)} \right) = \frac{1}{2} \cdot \frac{8}{a(a+8)} = \frac{4}{a(a+8)}$

Ответ: $\frac{4}{a(a+8)}$

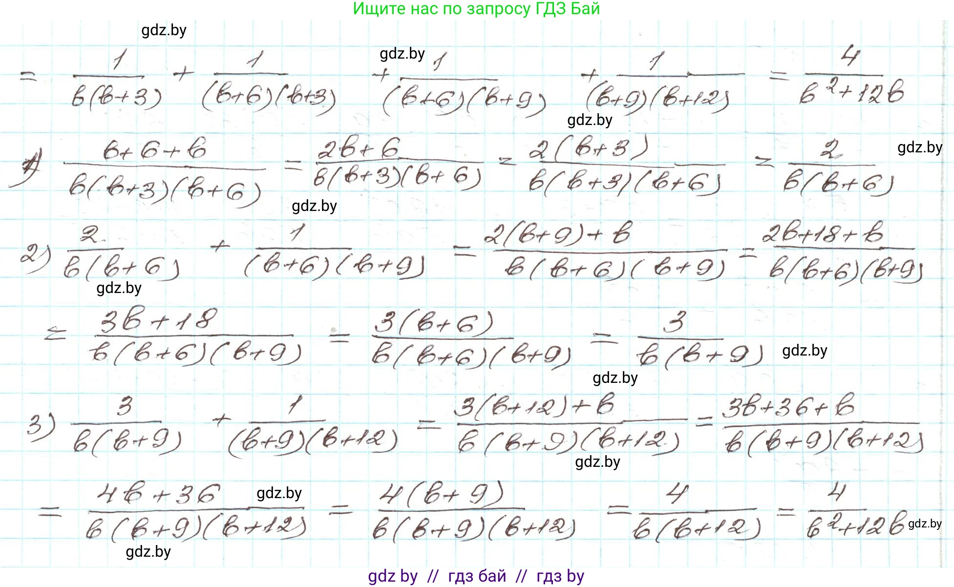
б) Исходное выражение:

$\frac{1}{b^2+3b} + \frac{1}{b^2+9b+18} + \frac{1}{b^2+15b+54} + \frac{1}{b^2+21b+108}$

Для упрощения выражения сначала разложим каждый знаменатель на множители:

  • $b^2+3b = b(b+3)$
  • $b^2+9b+18$: для квадратного уравнения $b^2+9b+18=0$ по теореме Виета корни $b_1=-3, b_2=-6$. Значит, $b^2+9b+18 = (b+3)(b+6)$.
  • $b^2+15b+54$: для уравнения $b^2+15b+54=0$ по теореме Виета корни $b_1=-6, b_2=-9$. Значит, $b^2+15b+54 = (b+6)(b+9)$.
  • $b^2+21b+108$: для уравнения $b^2+21b+108=0$ по теореме Виета корни $b_1=-9, b_2=-12$. Значит, $b^2+21b+108 = (b+9)(b+12)$.

Теперь выражение принимает вид:

$\frac{1}{b(b+3)} + \frac{1}{(b+3)(b+6)} + \frac{1}{(b+6)(b+9)} + \frac{1}{(b+9)(b+12)}$

Как и в предыдущем пункте, мы имеем телескопическую сумму. Воспользуемся той же формулой разложения на простейшие дроби:

$\frac{1}{x(x+d)} = \frac{1}{d} \left(\frac{1}{x} - \frac{1}{x+d}\right)$

В этом случае разность между множителями в знаменателе $d = (b+3) - b = 3$. Применим формулу к каждому слагаемому:

$\frac{1}{b(b+3)} = \frac{1}{3} \left(\frac{1}{b} - \frac{1}{b+3}\right)$

$\frac{1}{(b+3)(b+6)} = \frac{1}{3} \left(\frac{1}{b+3} - \frac{1}{b+6}\right)$

$\frac{1}{(b+6)(b+9)} = \frac{1}{3} \left(\frac{1}{b+6} - \frac{1}{b+9}\right)$

$\frac{1}{(b+9)(b+12)} = \frac{1}{3} \left(\frac{1}{b+9} - \frac{1}{b+12}\right)$

Подставим разложения в сумму и вынесем общий множитель $\frac{1}{3}$ за скобки:

$\frac{1}{3} \left[ \left(\frac{1}{b} - \frac{1}{b+3}\right) + \left(\frac{1}{b+3} - \frac{1}{b+6}\right) + \left(\frac{1}{b+6} - \frac{1}{b+9}\right) + \left(\frac{1}{b+9} - \frac{1}{b+12}\right) \right]$

Промежуточные слагаемые в скобках взаимно уничтожаются:

$\frac{1}{3} \left[ \frac{1}{b} - \cancel{\frac{1}{b+3}} + \cancel{\frac{1}{b+3}} - \cancel{\frac{1}{b+6}} + \cancel{\frac{1}{b+6}} - \cancel{\frac{1}{b+9}} + \cancel{\frac{1}{b+9}} - \frac{1}{b+12} \right]$

Остаются только первая и последняя дроби:

$\frac{1}{3} \left( \frac{1}{b} - \frac{1}{b+12} \right)$

Приведем дроби в скобках к общему знаменателю $b(b+12)$:

$\frac{1}{3} \left( \frac{b+12 - b}{b(b+12)} \right) = \frac{1}{3} \cdot \frac{12}{b(b+12)} = \frac{4}{b(b+12)}$

Ответ: $\frac{4}{b(b+12)}$

Помогло решение? Оставьте отзыв в комментариях ниже.

Присоединяйтесь к Телеграм-группе @gdz_by_belarus

Присоединиться

Мы подготовили для вас ответ c подробным объяснением домашего задания по алгебре за 9 класс, для упражнения номер 1.126 расположенного на странице 43 к учебнику 2019 года издания для учащихся школ и гимназий.

Теперь на нашем сайте ГДЗ.ТОП вы всегда легко и бесплатно найдёте условие с правильным ответом на вопрос «Как решить ДЗ» и «Как сделать» задание по алгебре к упражнению №1.126 (с. 43), авторов: Арефьева (Ирина Глебовна), Пирютко (Ольга Николаевна), учебного пособия издательства Народная асвета.