Номер 1.132, страница 44 - гдз по алгебре 9 класс учебник Арефьева, Пирютко

Алгебра, 9 класс Учебник, авторы: Арефьева Ирина Глебовна, Пирютко Ольга Николаевна, издательство Народная асвета, Минск, 2019, голубого цвета

Авторы: Арефьева И. Г., Пирютко О. Н.

Тип: Учебник

Издательство: Народная асвета

Год издания: 2019 - 2026

Цвет обложки: голубой, синий с графиком

ISBN: 978-985-03-3077-2

Допущено Министерством образования Республики Беларусь

Популярные ГДЗ в 9 классе

Глава 1. Рациональные выражения. Параграф 3. Сложение и вычитание рациональных дробей - номер 1.132, страница 44.

№1.132 (с. 44)
Условие. №1.132 (с. 44)
скриншот условия
Алгебра, 9 класс Учебник, авторы: Арефьева Ирина Глебовна, Пирютко Ольга Николаевна, издательство Народная асвета, Минск, 2019, голубого цвета, страница 44, номер 1.132, Условие

1.132. Выполните действия:

а) $\frac{a}{a^2 - 9} + \frac{3}{a^2 - 9};$

б) $\frac{x^2}{x - 4} - \frac{16}{x - 4};$

В) $\frac{5m}{m^2 - n^2} + \frac{5n}{m^2 - n^2};$

Г) $\frac{6}{b^2 - 9} - \frac{2b}{b^2 - 9};$

Д) $\frac{a^2}{a^2 - 9b^2} + \frac{6ab + 9b^2}{a^2 - 9b^2};$

е) $\frac{y^2 + 7y}{y^2 - 1} - \frac{5y - 1}{y^2 - 1};$

Ж) $\frac{a^2 + 3a}{a - 1} + \frac{2a - 6}{a - 1};$

З) $\frac{x^2}{x^2 - 4x + 3} - \frac{1}{x^2 - 4x + 3};$

Решение. №1.132 (с. 44)
Алгебра, 9 класс Учебник, авторы: Арефьева Ирина Глебовна, Пирютко Ольга Николаевна, издательство Народная асвета, Минск, 2019, голубого цвета, страница 44, номер 1.132, Решение
Решение 2. №1.132 (с. 44)

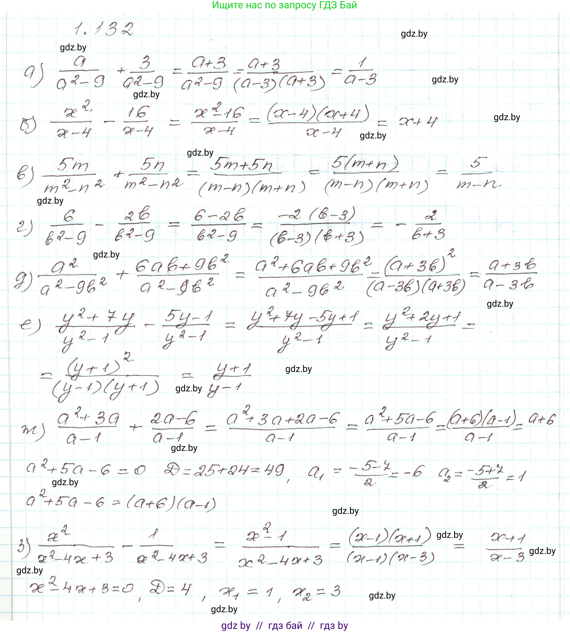
а) Так как знаменатели дробей одинаковы, для их сложения необходимо сложить числители, а знаменатель оставить без изменений.

$\frac{a}{a^2 - 9} + \frac{3}{a^2 - 9} = \frac{a + 3}{a^2 - 9}$

Знаменатель $a^2 - 9$ является разностью квадратов, которую можно разложить на множители по формуле $x^2 - y^2 = (x - y)(x + y)$:

$a^2 - 9 = (a - 3)(a + 3)$

Подставим разложенный знаменатель в выражение и сократим дробь на общий множитель $(a + 3)$:

$\frac{a + 3}{(a - 3)(a + 3)} = \frac{1}{a - 3}$

Ответ: $\frac{1}{a - 3}$

б) Так как знаменатели дробей одинаковы, для их вычитания необходимо из числителя первой дроби вычесть числитель второй, а знаменатель оставить прежним.

$\frac{x^2}{x - 4} - \frac{16}{x - 4} = \frac{x^2 - 16}{x - 4}$

Числитель $x^2 - 16$ является разностью квадратов. Разложим его на множители:

$x^2 - 16 = (x - 4)(x + 4)$

Подставим разложение в дробь и сократим на общий множитель $(x - 4)$:

$\frac{(x - 4)(x + 4)}{x - 4} = x + 4$

Ответ: $x + 4$

в) Складываем дроби с одинаковыми знаменателями, складывая их числители.

$\frac{5m}{m^2 - n^2} + \frac{5n}{m^2 - n^2} = \frac{5m + 5n}{m^2 - n^2}$

В числителе вынесем общий множитель 5 за скобки. Знаменатель разложим по формуле разности квадратов.

$\frac{5(m + n)}{(m - n)(m + n)}$

Сократим дробь на общий множитель $(m + n)$:

$\frac{5}{m - n}$

Ответ: $\frac{5}{m - n}$

г) Вычитаем дроби с одинаковыми знаменателями, вычитая их числители.

$\frac{6}{b^2 - 9} - \frac{2b}{b^2 - 9} = \frac{6 - 2b}{b^2 - 9}$

В числителе вынесем за скобки общий множитель 2. В знаменателе применим формулу разности квадратов.

$\frac{2(3 - b)}{(b - 3)(b + 3)}$

Заметим, что $3 - b = -(b - 3)$. Вынесем минус за дробь и сократим общий множитель $(b - 3)$:

$\frac{-2(b - 3)}{(b - 3)(b + 3)} = -\frac{2}{b + 3}$

Ответ: $-\frac{2}{b + 3}$

д) Складываем дроби с одинаковыми знаменателями:

$\frac{a^2}{a^2 - 9b^2} + \frac{6ab + 9b^2}{a^2 - 9b^2} = \frac{a^2 + 6ab + 9b^2}{a^2 - 9b^2}$

Числитель $a^2 + 6ab + 9b^2$ является полным квадратом суммы $(a + 3b)^2$. Знаменатель $a^2 - 9b^2$ является разностью квадратов $(a - 3b)(a + 3b)$.

$\frac{(a + 3b)^2}{(a - 3b)(a + 3b)} = \frac{a + 3b}{a - 3b}$

Полученная дробь является неправильной. Выделим в ней целую часть, представив числитель в виде $a + 3b = (a - 3b) + 6b$:

$\frac{(a - 3b) + 6b}{a - 3b} = \frac{a - 3b}{a - 3b} + \frac{6b}{a - 3b} = 1 + \frac{6b}{a - 3b}$

Ответ: $1 + \frac{6b}{a - 3b}$

е) Вычитаем дроби с одинаковыми знаменателями, не забывая поменять знаки в числителе вычитаемой дроби:

$\frac{y^2 + 7y}{y^2 - 1} - \frac{5y - 1}{y^2 - 1} = \frac{(y^2 + 7y) - (5y - 1)}{y^2 - 1} = \frac{y^2 + 7y - 5y + 1}{y^2 - 1} = \frac{y^2 + 2y + 1}{y^2 - 1}$

Числитель $y^2 + 2y + 1$ — это квадрат суммы $(y + 1)^2$. Знаменатель $y^2 - 1$ — это разность квадратов $(y - 1)(y + 1)$.

$\frac{(y + 1)^2}{(y - 1)(y + 1)} = \frac{y + 1}{y - 1}$

Это неправильная дробь. Выделим целую часть, представив числитель как $y + 1 = (y - 1) + 2$:

$\frac{(y - 1) + 2}{y - 1} = \frac{y - 1}{y - 1} + \frac{2}{y - 1} = 1 + \frac{2}{y - 1}$

Ответ: $1 + \frac{2}{y - 1}$

ж) Складываем дроби с одинаковыми знаменателями:

$\frac{a^2 + 3a}{a - 1} + \frac{2a - 6}{a - 1} = \frac{a^2 + 3a + 2a - 6}{a - 1} = \frac{a^2 + 5a - 6}{a - 1}$

Разложим числитель, квадратный трехчлен $a^2 + 5a - 6$, на множители. Корни уравнения $a^2 + 5a - 6 = 0$ равны $a_1 = 1$ и $a_2 = -6$. Тогда $a^2 + 5a - 6 = (a - 1)(a + 6)$.

$\frac{(a - 1)(a + 6)}{a - 1} = a + 6$

Ответ: $a + 6$

з) Вычитаем дроби с одинаковыми знаменателями:

$\frac{x^2}{x^2 - 4x + 3} - \frac{1}{x^2 - 4x + 3} = \frac{x^2 - 1}{x^2 - 4x + 3}$

Разложим на множители числитель и знаменатель. Числитель - разность квадратов: $x^2 - 1 = (x - 1)(x + 1)$. Для знаменателя решим уравнение $x^2 - 4x + 3 = 0$. Корни $x_1 = 1, x_2 = 3$. Тогда $x^2 - 4x + 3 = (x - 1)(x - 3)$.

$\frac{(x - 1)(x + 1)}{(x - 1)(x - 3)} = \frac{x + 1}{x - 3}$

Выделим целую часть из полученной неправильной дроби, представив числитель как $x + 1 = (x - 3) + 4$:

$\frac{(x - 3) + 4}{x - 3} = \frac{x - 3}{x - 3} + \frac{4}{x - 3} = 1 + \frac{4}{x - 3}$

Ответ: $1 + \frac{4}{x - 3}$

Помогло решение? Оставьте отзыв в комментариях ниже.

Присоединяйтесь к Телеграм-группе @gdz_by_belarus

Присоединиться

Мы подготовили для вас ответ c подробным объяснением домашего задания по алгебре за 9 класс, для упражнения номер 1.132 расположенного на странице 44 к учебнику 2019 года издания для учащихся школ и гимназий.

Теперь на нашем сайте ГДЗ.ТОП вы всегда легко и бесплатно найдёте условие с правильным ответом на вопрос «Как решить ДЗ» и «Как сделать» задание по алгебре к упражнению №1.132 (с. 44), авторов: Арефьева (Ирина Глебовна), Пирютко (Ольга Николаевна), учебного пособия издательства Народная асвета.