Номер 1.120, страница 42 - гдз по алгебре 9 класс учебник Арефьева, Пирютко

Алгебра, 9 класс Учебник, авторы: Арефьева Ирина Глебовна, Пирютко Ольга Николаевна, издательство Народная асвета, Минск, 2019, голубого цвета

Авторы: Арефьева И. Г., Пирютко О. Н.

Тип: Учебник

Издательство: Народная асвета

Год издания: 2019 - 2026

Цвет обложки: голубой, синий с графиком

ISBN: 978-985-03-3077-2

Допущено Министерством образования Республики Беларусь

Популярные ГДЗ в 9 классе

Глава 1. Рациональные выражения. Параграф 3. Сложение и вычитание рациональных дробей - номер 1.120, страница 42.

№1.120 (с. 42)
Условие. №1.120 (с. 42)
скриншот условия
Алгебра, 9 класс Учебник, авторы: Арефьева Ирина Глебовна, Пирютко Ольга Николаевна, издательство Народная асвета, Минск, 2019, голубого цвета, страница 42, номер 1.120, Условие

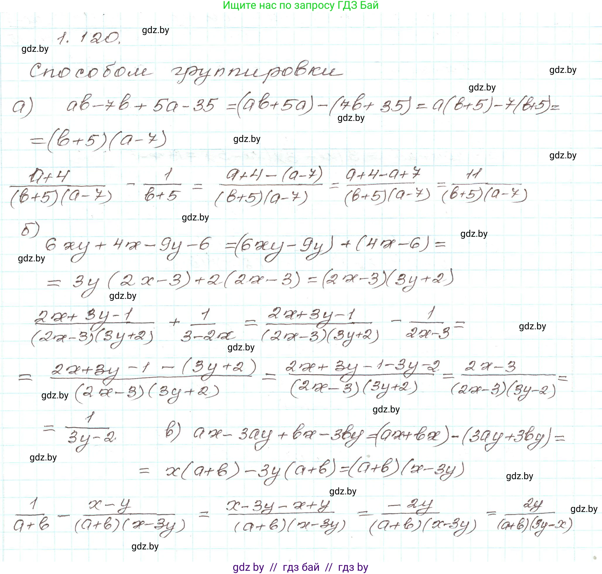
1.120. С помощью какого способа можно разложить на множители знаменатели данных дробей? Примените этот способ и выполните действия:

а) $\frac{a+4}{ab-7b+5a-35} - \frac{1}{b+5}$

б) $\frac{2x+3y-1}{6xy+4x-9y-6} + \frac{1}{3-2x}$

в) $\frac{1}{a+b} - \frac{x-y}{ax-3ay+bx-3by}$

Решение. №1.120 (с. 42)
Алгебра, 9 класс Учебник, авторы: Арефьева Ирина Глебовна, Пирютко Ольга Николаевна, издательство Народная асвета, Минск, 2019, голубого цвета, страница 42, номер 1.120, Решение
Решение 2. №1.120 (с. 42)

Для разложения на множители знаменателей данных дробей используется способ группировки. Этот способ заключается в объединении слагаемых в группы таким образом, чтобы из каждой группы можно было вынести общий множитель, а после этого вынести за скобки общий множитель для всех групп.

Применим этот способ и выполним действия:

а) $ \frac{a+4}{ab-7b+5a-35} - \frac{1}{b+5} $

1. Разложим на множители знаменатель первой дроби способом группировки:

$ ab - 7b + 5a - 35 = (ab - 7b) + (5a - 35) = b(a - 7) + 5(a - 7) = (a - 7)(b + 5) $

2. Подставим разложенный знаменатель в исходное выражение:

$ \frac{a+4}{(a-7)(b+5)} - \frac{1}{b+5} $

3. Приведем дроби к общему знаменателю $ (a-7)(b+5) $. Для этого домножим числитель и знаменатель второй дроби на $ (a-7) $:

$ \frac{a+4}{(a-7)(b+5)} - \frac{1 \cdot (a-7)}{(b+5)(a-7)} = \frac{a+4 - (a-7)}{(a-7)(b+5)} $

4. Упростим числитель, раскрыв скобки:

$ \frac{a+4-a+7}{(a-7)(b+5)} = \frac{11}{(a-7)(b+5)} $

Ответ: $ \frac{11}{(a-7)(b+5)} $

б) $ \frac{2x+3y-1}{6xy+4x-9y-6} + \frac{1}{3-2x} $

1. Разложим на множители знаменатель первой дроби способом группировки:

$ 6xy+4x-9y-6 = (6xy+4x) - (9y+6) = 2x(3y+2) - 3(3y+2) = (2x-3)(3y+2) $

2. Преобразуем знаменатель второй дроби, вынеся $-1$ за скобки: $ 3-2x = -(2x-3) $. Тогда вся дробь примет вид: $ \frac{1}{-(2x-3)} = -\frac{1}{2x-3} $.

3. Подставим преобразованные выражения в исходный пример:

$ \frac{2x+3y-1}{(2x-3)(3y+2)} - \frac{1}{2x-3} $

4. Приведем дроби к общему знаменателю $ (2x-3)(3y+2) $. Для этого домножим числитель и знаменатель второй дроби на $ (3y+2) $:

$ \frac{2x+3y-1}{(2x-3)(3y+2)} - \frac{1 \cdot (3y+2)}{(2x-3)(3y+2)} = \frac{2x+3y-1 - (3y+2)}{(2x-3)(3y+2)} $

5. Упростим числитель, раскрыв скобки:

$ \frac{2x+3y-1-3y-2}{(2x-3)(3y+2)} = \frac{2x-3}{(2x-3)(3y+2)} $

6. Сократим дробь на общий множитель $ (2x-3) $:

$ \frac{1}{3y+2} $

Ответ: $ \frac{1}{3y+2} $

в) $ \frac{1}{a+b} - \frac{x-y}{ax-3ay+bx-3by} $

1. Разложим на множители знаменатель второй дроби способом группировки:

$ ax-3ay+bx-3by = (ax+bx) - (3ay+3by) = x(a+b) - 3y(a+b) = (a+b)(x-3y) $

2. Подставим разложенный знаменатель в исходное выражение:

$ \frac{1}{a+b} - \frac{x-y}{(a+b)(x-3y)} $

3. Приведем дроби к общему знаменателю $ (a+b)(x-3y) $. Для этого домножим числитель и знаменатель первой дроби на $ (x-3y) $:

$ \frac{1 \cdot (x-3y)}{(a+b)(x-3y)} - \frac{x-y}{(a+b)(x-3y)} = \frac{(x-3y) - (x-y)}{(a+b)(x-3y)} $

4. Упростим числитель, раскрыв скобки:

$ \frac{x-3y-x+y}{(a+b)(x-3y)} = \frac{-2y}{(a+b)(x-3y)} $

Ответ: $ -\frac{2y}{(a+b)(x-3y)} $

Помогло решение? Оставьте отзыв в комментариях ниже.

Присоединяйтесь к Телеграм-группе @gdz_by_belarus

Присоединиться

Мы подготовили для вас ответ c подробным объяснением домашего задания по алгебре за 9 класс, для упражнения номер 1.120 расположенного на странице 42 к учебнику 2019 года издания для учащихся школ и гимназий.

Теперь на нашем сайте ГДЗ.ТОП вы всегда легко и бесплатно найдёте условие с правильным ответом на вопрос «Как решить ДЗ» и «Как сделать» задание по алгебре к упражнению №1.120 (с. 42), авторов: Арефьева (Ирина Глебовна), Пирютко (Ольга Николаевна), учебного пособия издательства Народная асвета.