Номер 4.166, страница 297 - гдз по алгебре 7 класс учебник Арефьева, Пирютко

Алгебра, 7 класс Учебник, авторы: Арефьева Ирина Глебовна, Пирютко Ольга Николаевна, издательство Народная асвета, Минск, 2022, зелёного цвета

Авторы: Арефьева И. Г., Пирютко О. Н.

Тип: Учебник

Издательство: Народная асвета

Год издания: 2022 - 2026

Цвет обложки: зелёный с графиком

ISBN: ISBN 978-985-03-3770-2

Допущено Министерством образования Республики Беларусь

Популярные ГДЗ в 7 классе

Глава 4. Системы двух линейных уравнений с двумя переменными. Параграф 25. Решение текстовых задач с помощью системы линейных уравнений - номер 4.166, страница 297.

№4.166 (с. 297)
Условие. №4.166 (с. 297)
скриншот условия
Алгебра, 7 класс Учебник, авторы: Арефьева Ирина Глебовна, Пирютко Ольга Николаевна, издательство Народная асвета, Минск, 2022, зелёного цвета, страница 297, номер 4.166, Условие

4.166*. Теплоход, двигаясь по течению реки, прошел расстояние между пристанями за 10 ч. Обратно он прошел это же расстояние за 15 ч. Найдите, за какое время теплоход прошел бы такое же расстояние по озеру.

Составьте математическую модель для решения задачи и найдите ответ в соответствии с требованием задачи.

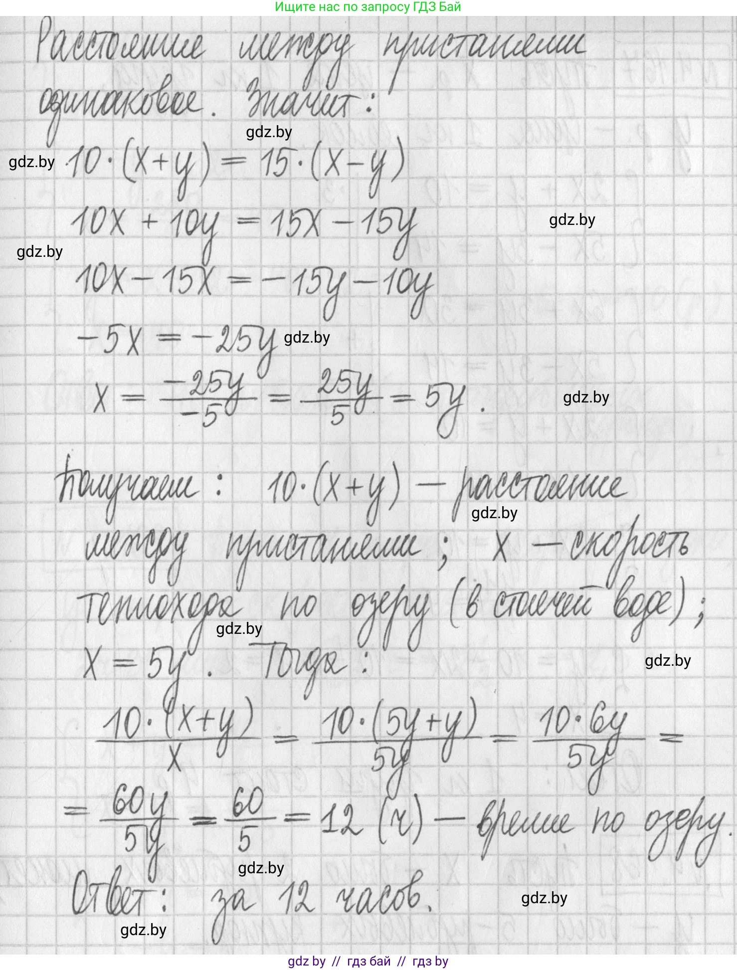
Решение. №4.166 (с. 297)
Алгебра, 7 класс Учебник, авторы: Арефьева Ирина Глебовна, Пирютко Ольга Николаевна, издательство Народная асвета, Минск, 2022, зелёного цвета, страница 297, номер 4.166, Решение Алгебра, 7 класс Учебник, авторы: Арефьева Ирина Глебовна, Пирютко Ольга Николаевна, издательство Народная асвета, Минск, 2022, зелёного цвета, страница 297, номер 4.166, Решение (продолжение 2)
Решение 2. №4.166 (с. 297)

Для решения этой задачи необходимо составить математическую модель, описывающую движение теплохода по реке и в стоячей воде (озере).

Составление математической модели

Введем следующие обозначения:

  • $S$ — расстояние между пристанями;
  • $v_т$ — собственная скорость теплохода (его скорость в стоячей воде, например, в озере);
  • $v_р$ — скорость течения реки.

Исходя из условия задачи, мы знаем:

  • Время движения по течению: $t_1 = 10$ ч.
  • Время движения против течения: $t_2 = 15$ ч.

Скорость теплохода при движении по течению равна сумме его собственной скорости и скорости течения: $v_т + v_р$.

Скорость теплохода при движении против течения равна разности его собственной скорости и скорости течения: $v_т - v_р$.

Используя основную формулу движения $S = v \cdot t$, мы можем составить систему из двух уравнений:

  1. Движение по течению: $S = (v_т + v_р) \cdot 10$
  2. Движение против течения: $S = (v_т - v_р) \cdot 15$

Цель задачи — найти время $t_о$, за которое теплоход пройдет расстояние $S$ по озеру. В озере скорость течения равна нулю, поэтому теплоход будет двигаться со своей собственной скоростью $v_т$. Таким образом, нам нужно найти $t_о$ из уравнения: $S = v_т \cdot t_о$, откуда $t_о = \frac{S}{v_т}$.

Решение

Выразим скорости из первых двух уравнений:

$v_т + v_р = \frac{S}{10}$

$v_т - v_р = \frac{S}{15}$

Мы получили систему линейных уравнений. Чтобы найти собственную скорость теплохода $v_т$, сложим оба уравнения. При этом скорость течения $v_р$ сократится:

$(v_т + v_р) + (v_т - v_р) = \frac{S}{10} + \frac{S}{15}$

$2v_т = S \cdot \left(\frac{1}{10} + \frac{1}{15}\right)$

Приведем дроби в скобках к общему знаменателю (30):

$2v_т = S \cdot \left(\frac{3}{30} + \frac{2}{30}\right)$

$2v_т = S \cdot \frac{5}{30}$

$2v_т = S \cdot \frac{1}{6}$

Отсюда находим собственную скорость теплохода:

$v_т = \frac{S}{12}$

Теперь, зная собственную скорость, мы можем найти время движения по озеру $t_о$:

$t_о = \frac{S}{v_т} = \frac{S}{\frac{S}{12}} = S \cdot \frac{12}{S} = 12$ часов.


Найдите, за какое время теплоход прошел бы такое же расстояние по озеру.

Ответ: 12 часов.

Помогло решение? Оставьте отзыв в комментариях ниже.

Присоединяйтесь к Телеграм-группе @gdz_by_belarus

Присоединиться

Мы подготовили для вас ответ c подробным объяснением домашего задания по алгебре за 7 класс, для упражнения номер 4.166 расположенного на странице 297 к учебнику 2022 года издания для учащихся школ и гимназий.

Теперь на нашем сайте ГДЗ.ТОП вы всегда легко и бесплатно найдёте условие с правильным ответом на вопрос «Как решить ДЗ» и «Как сделать» задание по алгебре к упражнению №4.166 (с. 297), авторов: Арефьева (Ирина Глебовна), Пирютко (Ольга Николаевна), учебного пособия издательства Народная асвета.