Номер 4.171, страница 298 - гдз по алгебре 7 класс учебник Арефьева, Пирютко

Алгебра, 7 класс Учебник, авторы: Арефьева Ирина Глебовна, Пирютко Ольга Николаевна, издательство Народная асвета, Минск, 2022, зелёного цвета

Авторы: Арефьева И. Г., Пирютко О. Н.

Тип: Учебник

Издательство: Народная асвета

Год издания: 2022 - 2026

Цвет обложки: зелёный с графиком

ISBN: ISBN 978-985-03-3770-2

Допущено Министерством образования Республики Беларусь

Популярные ГДЗ в 7 классе

Глава 4. Системы двух линейных уравнений с двумя переменными. Параграф 25. Решение текстовых задач с помощью системы линейных уравнений - номер 4.171, страница 298.

№4.171 (с. 298)
Условие. №4.171 (с. 298)
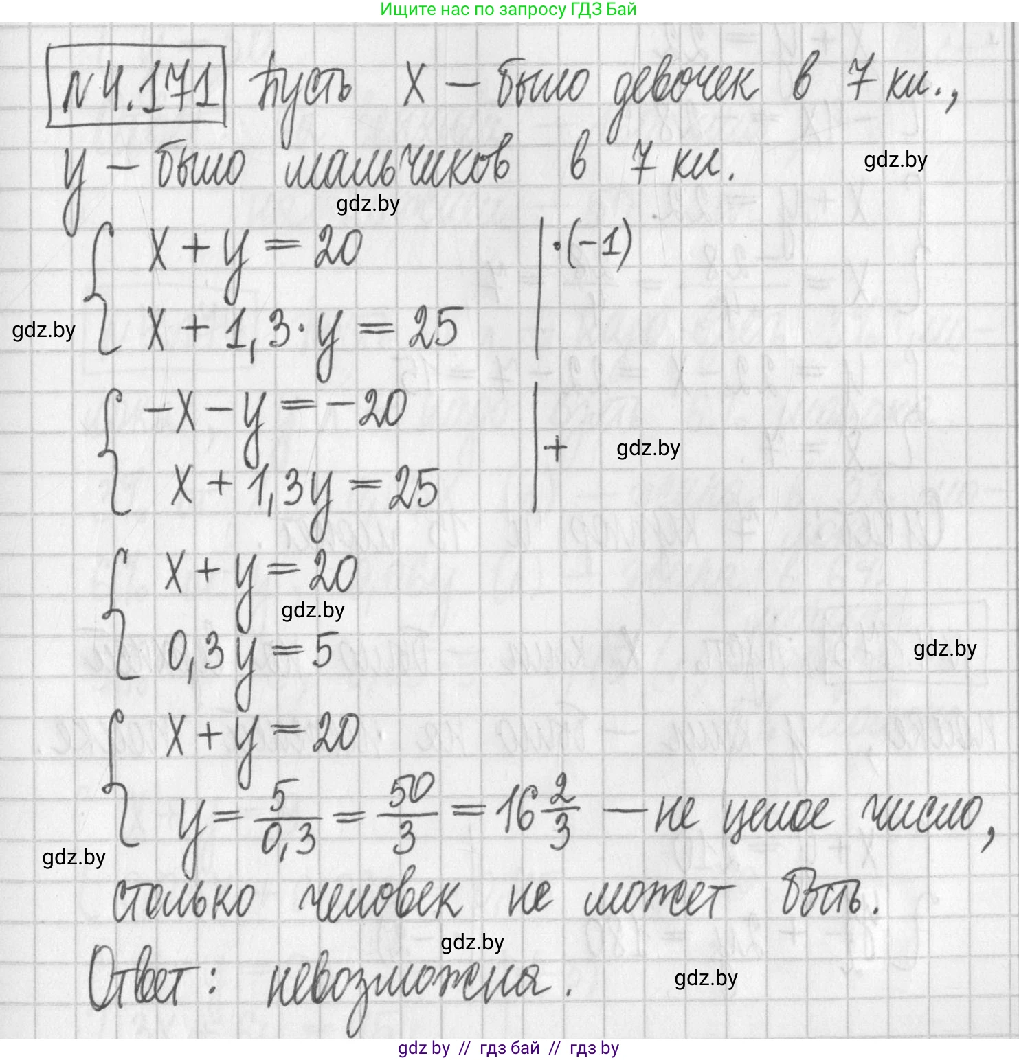
скриншот условия
Алгебра, 7 класс Учебник, авторы: Арефьева Ирина Глебовна, Пирютко Ольга Николаевна, издательство Народная асвета, Минск, 2022, зелёного цвета, страница 298, номер 4.171, Условие

4.171. Возможна ли такая ситуация: в седьмом классе училось 20 учеников, после перехода в восьмой класс пришли новые ученики, в результате количество мальчиков возросло в 1,3 раза, общее количество учеников стало равно 25?

Решение. №4.171 (с. 298)
Алгебра, 7 класс Учебник, авторы: Арефьева Ирина Глебовна, Пирютко Ольга Николаевна, издательство Народная асвета, Минск, 2022, зелёного цвета, страница 298, номер 4.171, Решение
Решение 2. №4.171 (с. 298)

Для того чтобы определить, возможна ли описанная в задаче ситуация, необходимо провести анализ исходных данных и проверить их на непротиворечивость.

Анализ и решение задачи

Обозначим количество мальчиков в седьмом классе как $M_7$. Поскольку общее количество учеников в седьмом классе равно 20, то $M_7$ является целым числом, и его значение находится в пределах $0 \le M_7 \le 20$.

По условию, в восьмом классе количество мальчиков, которое мы обозначим как $M_8$, возросло в 1,3 раза по сравнению с седьмым классом. Математически это выражается формулой:

$M_8 = M_7 \times 1,3$

Количество учеников всегда должно быть целым числом, поэтому $M_8$ также должно быть целым. Для этого необходимо, чтобы произведение $M_7 \times 1,3$ было целым. Представим десятичную дробь 1,3 в виде обыкновенной:

$1,3 = \frac{13}{10}$

Тогда наша формула примет вид:

$M_8 = M_7 \times \frac{13}{10} = \frac{13 \cdot M_7}{10}$

Чтобы $M_8$ было целым, числитель дроби $(13 \cdot M_7)$ должен делиться на знаменатель 10 без остатка. Так как числа 13 и 10 не имеют общих делителей (они взаимно простые), то на 10 должно делиться само число $M_7$.

Теперь рассмотрим все возможные значения $M_7$ из диапазона от 0 до 20, которые кратны 10:

  • Если $M_7 = 0$, то $M_8 = 0 \times 1,3 = 0$. В этом случае количество мальчиков не "возросло", что противоречит условию задачи.
  • Если $M_7 = 10$, то количество мальчиков в восьмом классе составит: $M_8 = 10 \times 1,3 = 13$. Это целое число. Давайте проверим, согласуется ли это с остальными данными. В седьмом классе было 10 мальчиков, значит девочек было $20 - 10 = 10$. В восьмом классе стало 13 мальчиков, а всего учеников 25. Значит девочек стало $25 - 13 = 12$. Такой сценарий полностью возможен: в класс пришли 3 новых мальчика и 2 новых девочки. Все условия задачи выполнены.
  • Если $M_7 = 20$, то количество мальчиков в восьмом классе составит: $M_8 = 20 \times 1,3 = 26$. Это невозможно, так как количество мальчиков (26) не может превышать общее число учеников в классе (25).

Мы нашли единственный возможный вариант, который удовлетворяет всем условиям задачи. Следовательно, описанная ситуация возможна.

Возможна ли такая ситуация: в седьмом классе училось 20 учеников, после перехода в восьмой класс пришли новые ученики, в результате количество мальчиков возросло в 1,3 раза, общее количество учеников стало равно 25?
Ответ: Да, такая ситуация возможна. Например, если в седьмом классе было 10 мальчиков, то в восьмом их стало 13. Если в седьмом классе было 10 девочек, то в восьмом их стало 12. Общее число учеников выросло с 20 до 25.

Помогло решение? Оставьте отзыв в комментариях ниже.

Присоединяйтесь к Телеграм-группе @gdz_by_belarus

Присоединиться

Мы подготовили для вас ответ c подробным объяснением домашего задания по алгебре за 7 класс, для упражнения номер 4.171 расположенного на странице 298 к учебнику 2022 года издания для учащихся школ и гимназий.

Теперь на нашем сайте ГДЗ.ТОП вы всегда легко и бесплатно найдёте условие с правильным ответом на вопрос «Как решить ДЗ» и «Как сделать» задание по алгебре к упражнению №4.171 (с. 298), авторов: Арефьева (Ирина Глебовна), Пирютко (Ольга Николаевна), учебного пособия издательства Народная асвета.