Номер 4.159, страница 296 - гдз по алгебре 7 класс учебник Арефьева, Пирютко

Алгебра, 7 класс Учебник, авторы: Арефьева Ирина Глебовна, Пирютко Ольга Николаевна, издательство Народная асвета, Минск, 2022, зелёного цвета

Авторы: Арефьева И. Г., Пирютко О. Н.

Тип: Учебник

Издательство: Народная асвета

Год издания: 2022 - 2026

Цвет обложки: зелёный с графиком

ISBN: ISBN 978-985-03-3770-2

Допущено Министерством образования Республики Беларусь

Популярные ГДЗ в 7 классе

Глава 4. Системы двух линейных уравнений с двумя переменными. Параграф 25. Решение текстовых задач с помощью системы линейных уравнений - номер 4.159, страница 296.

№4.159 (с. 296)
Условие. №4.159 (с. 296)
скриншот условия
Алгебра, 7 класс Учебник, авторы: Арефьева Ирина Глебовна, Пирютко Ольга Николаевна, издательство Народная асвета, Минск, 2022, зелёного цвета, страница 296, номер 4.159, Условие

4.159. Смешав $35 \text{ \%}$-й раствор кислоты с $20 \text{ \%}$-м раствором этой же кислоты, получили 2 л $32 \text{ \%}$-го раствора. Сколько литров $35 \text{ \%}$-го раствора было взято?

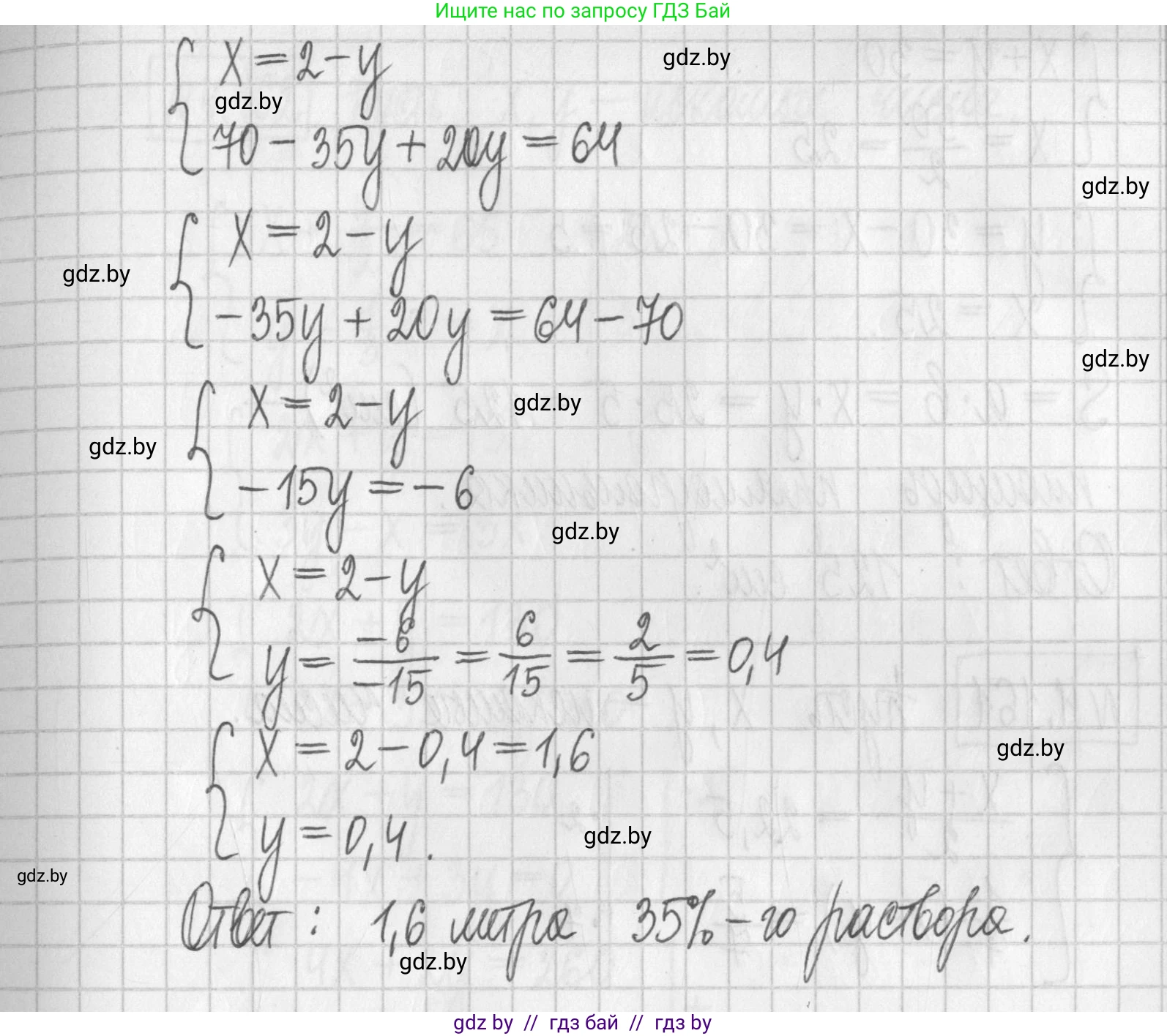
Решение. №4.159 (с. 296)
Алгебра, 7 класс Учебник, авторы: Арефьева Ирина Глебовна, Пирютко Ольга Николаевна, издательство Народная асвета, Минск, 2022, зелёного цвета, страница 296, номер 4.159, Решение Алгебра, 7 класс Учебник, авторы: Арефьева Ирина Глебовна, Пирютко Ольга Николаевна, издательство Народная асвета, Минск, 2022, зелёного цвета, страница 296, номер 4.159, Решение (продолжение 2)
Решение 2. №4.159 (с. 296)

Для решения данной задачи необходимо составить и решить систему уравнений, описывающую смешивание двух растворов кислоты.

Пусть $x$ л — это объем 35%-го раствора кислоты, который был взят.
Пусть $y$ л — это объем 20%-го раствора кислоты, который был взят.

Из условия задачи известно, что общий объем полученной смеси составляет 2 литра. На основе этого можно составить первое уравнение:
$x + y = 2$

Второе уравнение составим на основе количества чистой кислоты в растворах.

  • Количество чистой кислоты в первом растворе: $0.35 \cdot x$
  • Количество чистой кислоты во втором растворе: $0.20 \cdot y$
  • Количество чистой кислоты в итоговом 2-литровом 32%-м растворе: $0.32 \cdot 2 = 0.64$ л

Сумма кислоты в исходных растворах равна количеству кислоты в конечном растворе:
$0.35x + 0.20y = 0.64$

Мы получили систему из двух линейных уравнений: $$ \begin{cases} x + y = 2 \\ 0.35x + 0.20y = 0.64 \end{cases} $$

Решим эту систему. Из первого уравнения выразим $y$:
$y = 2 - x$

Теперь подставим это выражение во второе уравнение:
$0.35x + 0.20(2 - x) = 0.64$

Раскроем скобки и решим уравнение относительно $x$:
$0.35x + 0.4 - 0.20x = 0.64$
$(0.35 - 0.20)x = 0.64 - 0.4$
$0.15x = 0.24$
$x = \frac{0.24}{0.15}$

Чтобы избавиться от десятичных дробей, умножим числитель и знаменатель на 100:
$x = \frac{24}{15}$

Сократим полученную дробь, разделив числитель и знаменатель на 3:
$x = \frac{8}{5}$

Сколько литров 35 %-го раствора было взято?
Мы нашли, что было взято $\frac{8}{5}$ литра 35%-го раствора. Для финального ответа преобразуем эту неправильную дробь в смешанное число, выделив целую часть.
$\frac{8}{5} = 1 \frac{3}{5}$ л.
Ответ: 1 $\frac{3}{5}$ л.

Помогло решение? Оставьте отзыв в комментариях ниже.

Присоединяйтесь к Телеграм-группе @gdz_by_belarus

Присоединиться

Мы подготовили для вас ответ c подробным объяснением домашего задания по алгебре за 7 класс, для упражнения номер 4.159 расположенного на странице 296 к учебнику 2022 года издания для учащихся школ и гимназий.

Теперь на нашем сайте ГДЗ.ТОП вы всегда легко и бесплатно найдёте условие с правильным ответом на вопрос «Как решить ДЗ» и «Как сделать» задание по алгебре к упражнению №4.159 (с. 296), авторов: Арефьева (Ирина Глебовна), Пирютко (Ольга Николаевна), учебного пособия издательства Народная асвета.