Номер 3.334, страница 242 - гдз по алгебре 7 класс учебник Арефьева, Пирютко

Алгебра, 7 класс Учебник, авторы: Арефьева Ирина Глебовна, Пирютко Ольга Николаевна, издательство Народная асвета, Минск, 2022, зелёного цвета

Авторы: Арефьева И. Г., Пирютко О. Н.

Тип: Учебник

Издательство: Народная асвета

Год издания: 2022 - 2026

Цвет обложки: зелёный с графиком

ISBN: ISBN 978-985-03-3770-2

Допущено Министерством образования Республики Беларусь

Популярные ГДЗ в 7 классе

Глава 3. Линейные уравнения. Линейные неравенства. Линейная функция. Параграф 20. Линейная функция и ее свойства - номер 3.334, страница 242.

№3.334 (с. 242)
Условие. №3.334 (с. 242)
скриншот условия
Алгебра, 7 класс Учебник, авторы: Арефьева Ирина Глебовна, Пирютко Ольга Николаевна, издательство Народная асвета, Минск, 2022, зелёного цвета, страница 242, номер 3.334, Условие

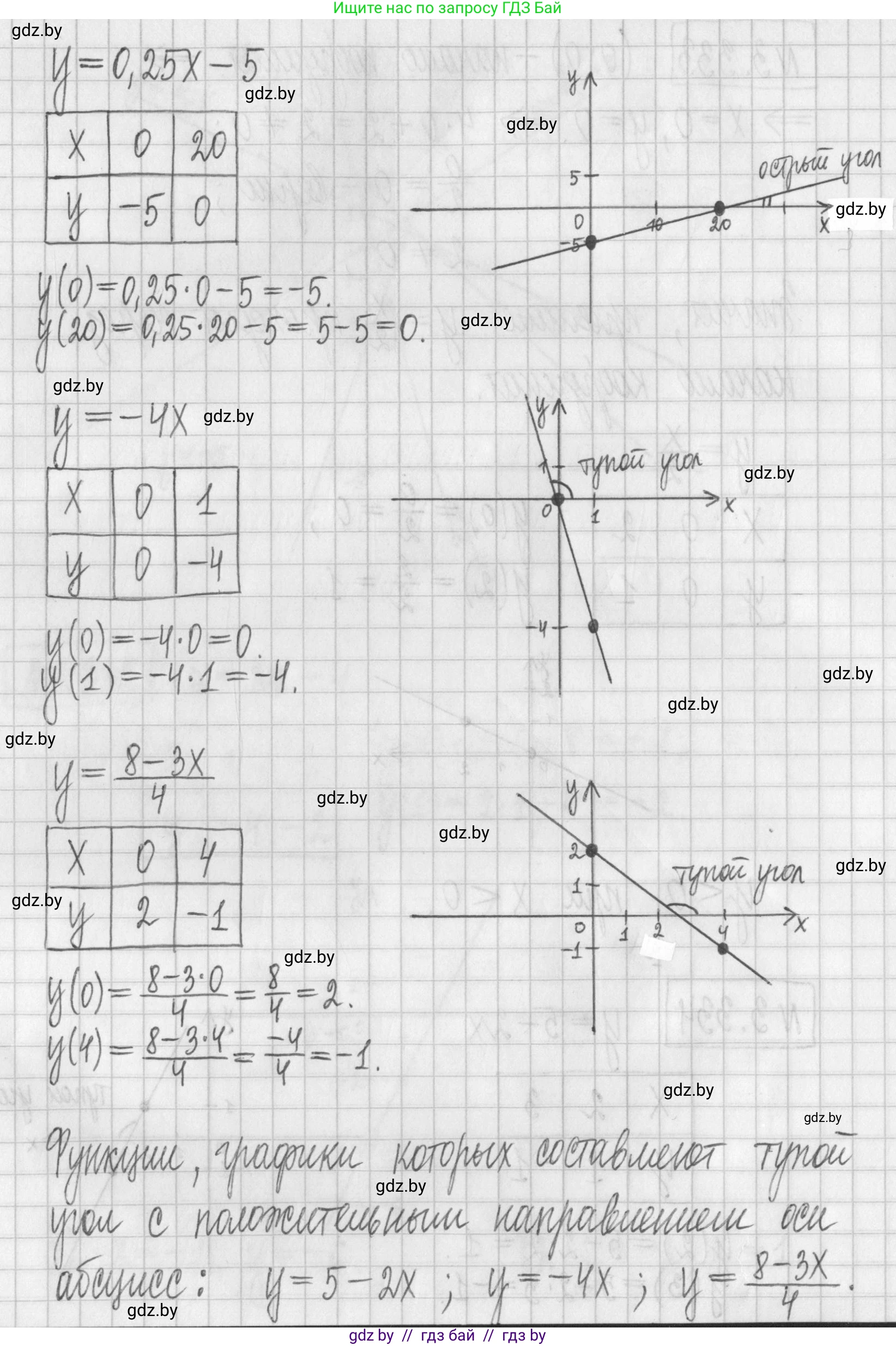
3.334. Постройте графики линейных функций $y=5-2x$; $y=0,25x-5$; $y=-4x$; $y=\frac{8-3x}{4}$. Укажите функции, графики которых составляют тупой угол с положительным направлением оси абсцисс. Можно ли назвать такие функции, не выполняя построения их графиков?

Решение. №3.334 (с. 242)
Алгебра, 7 класс Учебник, авторы: Арефьева Ирина Глебовна, Пирютко Ольга Николаевна, издательство Народная асвета, Минск, 2022, зелёного цвета, страница 242, номер 3.334, Решение Алгебра, 7 класс Учебник, авторы: Арефьева Ирина Глебовна, Пирютко Ольга Николаевна, издательство Народная асвета, Минск, 2022, зелёного цвета, страница 242, номер 3.334, Решение (продолжение 2)
Решение 2. №3.334 (с. 242)

Для решения задачи необходимо выполнить три последовательных шага: построить графики заданных функций, определить, какие из них образуют тупой угол с осью абсцисс, и ответить на вопрос о возможности такого определения без построений.

Постройте графики линейных функций $y=5-2x; y=0,25x-5; y=-4x; y = \frac{8-3x}{4}$.

Графиком линейной функции является прямая. Для ее построения достаточно найти координаты двух точек. Удобнее всего выбирать точки пересечения с осями координат.

  1. Функция $y = 5 - 2x$

    Приведем к стандартному виду $y=kx+b$: $y = -2x + 5$.

    • Точка пересечения с осью Oy (при $x=0$):
      $y = 5 - 2 \cdot 0 = 5$. Получаем точку $(0; 5)$.
    • Точка пересечения с осью Ox (при $y=0$):
      $0 = 5 - 2x \Rightarrow 2x = 5 \Rightarrow x = \frac{5}{2}$. Получаем точку $(\frac{5}{2}; 0)$.
  2. Функция $y = 0,25x - 5$

    • Точка пересечения с осью Oy (при $x=0$):
      $y = 0,25 \cdot 0 - 5 = -5$. Получаем точку $(0; -5)$.
    • Точка пересечения с осью Ox (при $y=0$):
      $0 = 0,25x - 5 \Rightarrow 0,25x = 5 \Rightarrow x = \frac{5}{0,25} = 20$. Получаем точку $(20; 0)$.
      (Для удобства построения можно взять другую точку, например, при $x=4$: $y = 0,25 \cdot 4 - 5 = 1 - 5 = -4$. Точка $(4; -4)$).
  3. Функция $y = -4x$

    График этой функции — прямая пропорциональность, он проходит через начало координат.

    • Первая точка: $(0; 0)$.
    • Возьмем вторую точку при $x=1$:
      $y = -4 \cdot 1 = -4$. Получаем точку $(1; -4)$.
  4. Функция $y = \frac{8 - 3x}{4}$

    Приведем к стандартному виду $y=kx+b$: $y = \frac{8}{4} - \frac{3x}{4} = 2 - \frac{3}{4}x \Rightarrow y = -\frac{3}{4}x + 2$.

    • Точка пересечения с осью Oy (при $x=0$):
      $y = 2 - \frac{3}{4} \cdot 0 = 2$. Получаем точку $(0; 2)$.
    • Точка пересечения с осью Ox (при $y=0$):
      $0 = 2 - \frac{3}{4}x \Rightarrow \frac{3}{4}x = 2 \Rightarrow x = 2 \cdot \frac{4}{3} = \frac{8}{3}$. Получаем точку $(\frac{8}{3}; 0)$.

Ответ: Для построения графиков нужно соединить прямыми линиями следующие пары точек (или любые другие две точки, принадлежащие соответствующей прямой):
- для $y=5-2x$: $(0; 5)$ и $(\bf{2}\frac{1}{2}; 0)$;
- для $y=0,25x-5$: $(0; -5)$ и $(20; 0)$;
- для $y=-4x$: $(0; 0)$ и $(1; -4)$;
- для $y=\frac{8-3x}{4}$: $(0; 2)$ и $(\bf{2}\frac{2}{3}; 0)$.

Укажите функции, графики которых составляют тупой угол с положительным направлением оси абсцисс.

Угол, который график линейной функции $y = kx + b$ образует с положительным направлением оси абсцисс, определяется знаком углового коэффициента $k$ (коэффициента при $x$).

  • Если $k > 0$, угол острый (от 0° до 90°).
  • Если $k < 0$, угол тупой (от 90° до 180°).

Определим знак коэффициента $k$ для каждой функции:

  1. $y = 5 - 2x \Rightarrow y = -2x + 5 \Rightarrow k = -2$. Так как $k < 0$, угол тупой.
  2. $y = 0,25x - 5 \Rightarrow k = 0,25$. Так как $k > 0$, угол острый.
  3. $y = -4x \Rightarrow k = -4$. Так как $k < 0$, угол тупой.
  4. $y = \frac{8 - 3x}{4} \Rightarrow y = -\frac{3}{4}x + 2 \Rightarrow k = -\frac{3}{4}$. Так как $k < 0$, угол тупой.

Ответ: Тупой угол с положительным направлением оси абсцисс составляют графики функций $y = 5 - 2x$, $y = -4x$ и $y = \frac{8 - 3x}{4}$.

Можно ли назвать такие функции, не выполняя построения их графиков?

Да, можно. Как показано выше, для определения типа угла (острый или тупой) достаточно проанализировать знак углового коэффициента $k$ в уравнении функции, приведенном к виду $y = kx + b$. Построение самого графика для этого не требуется.

Если коэффициент $k$ отрицательный, функция убывает, и угол с положительным направлением оси Ox тупой. Если $k$ положительный, функция возрастает, и угол острый.

Ответ: Да, можно. Для этого необходимо найти угловой коэффициент $k$ для каждой функции. Если $k$ имеет отрицательный знак ($k<0$), то график функции составляет тупой угол с положительным направлением оси абсцисс.

Помогло решение? Оставьте отзыв в комментариях ниже.

Присоединяйтесь к Телеграм-группе @gdz_by_belarus

Присоединиться

Мы подготовили для вас ответ c подробным объяснением домашего задания по алгебре за 7 класс, для упражнения номер 3.334 расположенного на странице 242 к учебнику 2022 года издания для учащихся школ и гимназий.

Теперь на нашем сайте ГДЗ.ТОП вы всегда легко и бесплатно найдёте условие с правильным ответом на вопрос «Как решить ДЗ» и «Как сделать» задание по алгебре к упражнению №3.334 (с. 242), авторов: Арефьева (Ирина Глебовна), Пирютко (Ольга Николаевна), учебного пособия издательства Народная асвета.