Номер 3.328, страница 241 - гдз по алгебре 7 класс учебник Арефьева, Пирютко

Алгебра, 7 класс Учебник, авторы: Арефьева Ирина Глебовна, Пирютко Ольга Николаевна, издательство Народная асвета, Минск, 2022, зелёного цвета

Авторы: Арефьева И. Г., Пирютко О. Н.

Тип: Учебник

Издательство: Народная асвета

Год издания: 2022 - 2026

Цвет обложки: зелёный с графиком

ISBN: ISBN 978-985-03-3770-2

Допущено Министерством образования Республики Беларусь

Популярные ГДЗ в 7 классе

Глава 3. Линейные уравнения. Линейные неравенства. Линейная функция. Параграф 20. Линейная функция и ее свойства - номер 3.328, страница 241.

№3.328 (с. 241)
Условие. №3.328 (с. 241)
скриншот условия
Алгебра, 7 класс Учебник, авторы: Арефьева Ирина Глебовна, Пирютко Ольга Николаевна, издательство Народная асвета, Минск, 2022, зелёного цвета, страница 241, номер 3.328, Условие

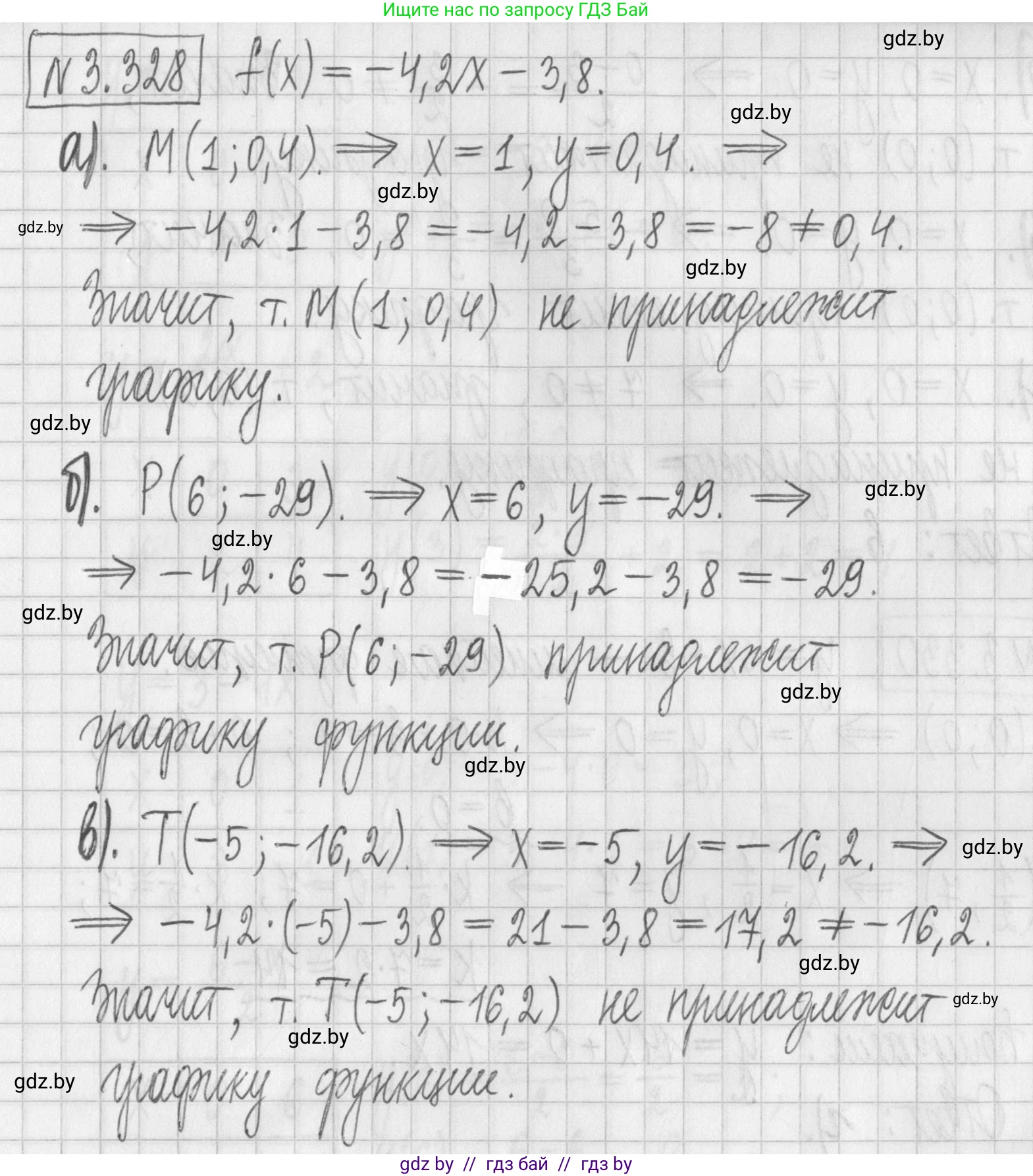
3.328. Функция задана формулой $f(x) = -4.2x - 3.8$. Определите, какая из точек принадлежит графику данной функции:

а) $M(1; 0.4)$;

б) $P(6; -29)$;

в) $T(-5; -16.2)$.

Решение. №3.328 (с. 241)
Алгебра, 7 класс Учебник, авторы: Арефьева Ирина Глебовна, Пирютко Ольга Николаевна, издательство Народная асвета, Минск, 2022, зелёного цвета, страница 241, номер 3.328, Решение
Решение 2. №3.328 (с. 241)
Чтобы определить, какая из точек принадлежит графику функции, необходимо подставить координаты каждой точки $(x; y)$ в уравнение функции $f(x) = -4,2x - 3,8$. Если при подстановке значения $x$ из координат точки, вычисленное значение функции $f(x)$ совпадет со значением $y$ из координат той же точки (т.е. $f(x) = y$), то точка принадлежит графику.

а) M(1; 0,4)
Подставим координату $x=1$ в формулу функции: $f(1) = -4,2 \cdot 1 - 3,8 = -4,2 - 3,8 = -8$.
Сравним полученный результат с y-координатой точки M: $y=0,4$.
Поскольку $-8 \neq 0,4$, точка M не принадлежит графику функции.
Ответ: нет.

б) P(6; -29)
Подставим координату $x=6$ в формулу функции: $f(6) = -4,2 \cdot 6 - 3,8 = -25,2 - 3,8 = -29$.
Сравним полученный результат с y-координатой точки P: $y=-29$.
Поскольку $-29 = -29$, точка P принадлежит графику функции.
Ответ: да.

в) T(-5; -16,2)
Подставим координату $x=-5$ в формулу функции: $f(-5) = -4,2 \cdot (-5) - 3,8 = 21 - 3,8 = 17,2$.
Сравним полученный результат с y-координатой точки T: $y=-16,2$.
Поскольку $17,2 \neq -16,2$, точка T не принадлежит графику функции.
Ответ: нет.

Помогло решение? Оставьте отзыв в комментариях ниже.

Присоединяйтесь к Телеграм-группе @gdz_by_belarus

Присоединиться

Мы подготовили для вас ответ c подробным объяснением домашего задания по алгебре за 7 класс, для упражнения номер 3.328 расположенного на странице 241 к учебнику 2022 года издания для учащихся школ и гимназий.

Теперь на нашем сайте ГДЗ.ТОП вы всегда легко и бесплатно найдёте условие с правильным ответом на вопрос «Как решить ДЗ» и «Как сделать» задание по алгебре к упражнению №3.328 (с. 241), авторов: Арефьева (Ирина Глебовна), Пирютко (Ольга Николаевна), учебного пособия издательства Народная асвета.