Номер 3.331, страница 242 - гдз по алгебре 7 класс учебник Арефьева, Пирютко
Авторы: Арефьева И. Г., Пирютко О. Н.
Тип: Учебник
Издательство: Народная асвета
Год издания: 2022 - 2026
Цвет обложки: зелёный с графиком
ISBN: ISBN 978-985-03-3770-2
Допущено Министерством образования Республики Беларусь
Популярные ГДЗ в 7 классе
Глава 3. Линейные уравнения. Линейные неравенства. Линейная функция. Параграф 20. Линейная функция и ее свойства - номер 3.331, страница 242.
№3.331 (с. 242)
Условие. №3.331 (с. 242)
скриншот условия
3.331. В одной системе координат постройте графики линейных функций $y=3x-1$; $y=-x+4$; $y=\frac{2x}{3}+2$; $y=3-4x$; $y=\frac{6-x}{2}$; $y=-5$.
Решение. №3.331 (с. 242)
Решение 2. №3.331 (с. 242)
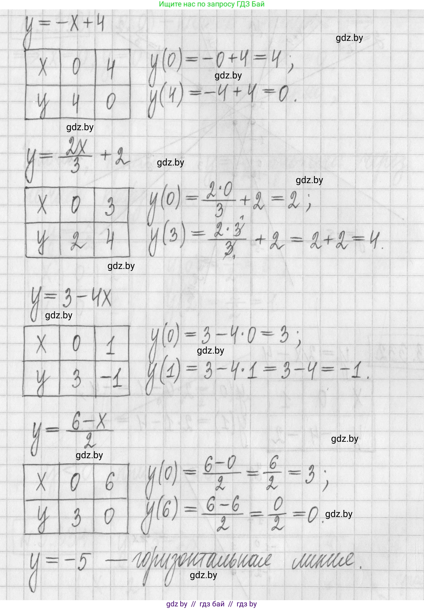
Для построения графика каждой линейной функции, которая представляет собой прямую линию, достаточно найти координаты двух точек, удовлетворяющих уравнению функции. Затем через эти две точки проводится прямая.
Это линейная функция, ее график - прямая. Для построения найдем координаты двух точек, принадлежащих этой прямой.
- Пусть $x = 0$, тогда $y = 3 \cdot 0 - 1 = -1$. Получаем точку A(0; -1).
- Пусть $x = 1$, тогда $y = 3 \cdot 1 - 1 = 2$. Получаем точку B(1; 2).
Ответ: График функции $y=3x-1$ – это прямая, проходящая через точки с координатами (0; -1) и (1; 2).
Это линейная функция, ее график - прямая. Найдем координаты двух точек.
- Пусть $x = 0$, тогда $y = -0 + 4 = 4$. Получаем точку C(0; 4).
- Пусть $x = 4$, тогда $y = -4 + 4 = 0$. Получаем точку D(4; 0).
Ответ: График функции $y=-x+4$ – это прямая, проходящая через точки с координатами (0; 4) и (4; 0).
Это линейная функция вида $y=kx+b$ с коэффициентами $k=\frac{2}{3}$ и $b=2$. Ее график - прямая. Для удобства построения выберем значения $x$, кратные 3, чтобы получить целочисленные координаты.
- Пусть $x = 0$, тогда $y = \frac{2 \cdot 0}{3} + 2 = 0 + 2 = 2$. Получаем точку E(0; 2).
- Пусть $x = 3$, тогда $y = \frac{2 \cdot 3}{3} + 2 = 2 + 2 = 4$. Получаем точку F(3; 4).
- Для примера найдем точку с нецелочисленной координатой. Пусть $x=2$, тогда $y = \frac{2 \cdot 2}{3} + 2 = \frac{4}{3} + 2 = 1\frac{1}{3} + 2 = 3\frac{1}{3}$. Получаем точку G(2; $3\frac{1}{3}$).
Ответ: График функции $y=\frac{2x}{3} + 2$ – это прямая, проходящая через точки с координатами (0; 2) и (3; 4).
Это линейная функция, ее график - прямая. Найдем координаты двух точек.
- Пусть $x = 0$, тогда $y = 3 - 4 \cdot 0 = 3$. Получаем точку H(0; 3).
- Пусть $x = 1$, тогда $y = 3 - 4 \cdot 1 = -1$. Получаем точку I(1; -1).
Ответ: График функции $y=3-4x$ – это прямая, проходящая через точки с координатами (0; 3) и (1; -1).
Преобразуем функцию к стандартному виду $y=kx+b$: $y = \frac{6}{2} - \frac{x}{2} = 3 - \frac{1}{2}x$. Это линейная функция, ее график - прямая. Для удобства выберем четные значения $x$.
- Пусть $x = 0$, тогда $y = 3 - \frac{1}{2} \cdot 0 = 3$. Получаем точку J(0; 3).
- Пусть $x = 2$, тогда $y = 3 - \frac{1}{2} \cdot 2 = 3 - 1 = 2$. Получаем точку K(2; 2).
- Для примера найдем точку с нецелочисленной координатой. Пусть $x=3$, тогда $y = 3 - \frac{1}{2} \cdot 3 = 3 - \frac{3}{2} = 3 - 1\frac{1}{2} = 1\frac{1}{2}$. Получаем точку L(3; $1\frac{1}{2}$).
Ответ: График функции $y=\frac{6-x}{2}$ – это прямая, проходящая через точки с координатами (0; 3) и (2; 2).
Это частный случай линейной функции, где угловой коэффициент $k=0$. Графиком является прямая, параллельная оси абсцисс (оси Ox) и проходящая через точку, где ордината $y$ равна -5.
- Для любого значения $x$ значение $y$ всегда будет равно -5.
- Например, точки M(0; -5) и N(4; -5) принадлежат этой прямой.
Ответ: График функции $y=-5$ – это прямая, параллельная оси Ox и проходящая через точку (0; -5) на оси Oy.
Другие задания:
Помогло решение? Оставьте отзыв в комментариях ниже.
Присоединяйтесь к Телеграм-группе @gdz_by_belarus
ПрисоединитьсяМы подготовили для вас ответ c подробным объяснением домашего задания по алгебре за 7 класс, для упражнения номер 3.331 расположенного на странице 242 к учебнику 2022 года издания для учащихся школ и гимназий.
Теперь на нашем сайте ГДЗ.ТОП вы всегда легко и бесплатно найдёте условие с правильным ответом на вопрос «Как решить ДЗ» и «Как сделать» задание по алгебре к упражнению №3.331 (с. 242), авторов: Арефьева (Ирина Глебовна), Пирютко (Ольга Николаевна), учебного пособия издательства Народная асвета.