Номер 2.293, страница 113 - гдз по алгебре 7 класс учебник Арефьева, Пирютко

Алгебра, 7 класс Учебник, авторы: Арефьева Ирина Глебовна, Пирютко Ольга Николаевна, издательство Народная асвета, Минск, 2022, зелёного цвета

Авторы: Арефьева И. Г., Пирютко О. Н.

Тип: Учебник

Издательство: Народная асвета

Год издания: 2022 - 2026

Цвет обложки: зелёный с графиком

ISBN: ISBN 978-985-03-3770-2

Допущено Министерством образования Республики Беларусь

Популярные ГДЗ в 7 классе

Глава 2. Выражения и их преобразования. Параграф 12. Формулы сокращенного умножения: квадрат суммы и квадрат разности двух выражений - номер 2.293, страница 113.

№2.293 (с. 113)
Условие. №2.293 (с. 113)
скриншот условия
Алгебра, 7 класс Учебник, авторы: Арефьева Ирина Глебовна, Пирютко Ольга Николаевна, издательство Народная асвета, Минск, 2022, зелёного цвета, страница 113, номер 2.293, Условие

2.293. Прибавьте к двучлену такой одночлен, чтобы полученное выражение можно было представить в виде квадрата двучлена:

а) $y^2 + 2y;$

б) $m^2 - 6mn;$

в) $49x^2 + 1.$

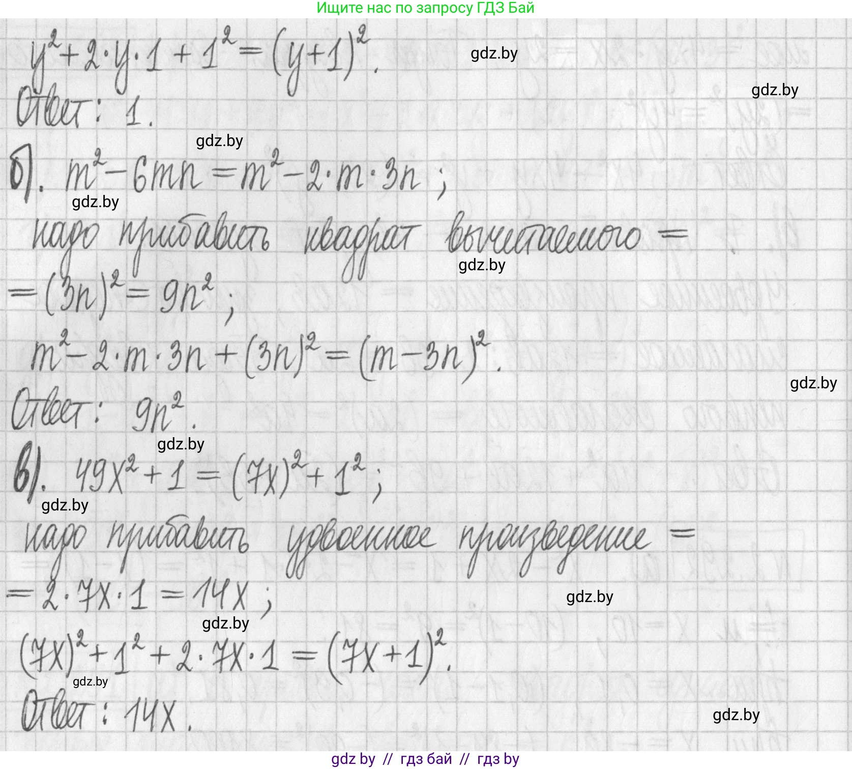
Решение. №2.293 (с. 113)
Алгебра, 7 класс Учебник, авторы: Арефьева Ирина Глебовна, Пирютко Ольга Николаевна, издательство Народная асвета, Минск, 2022, зелёного цвета, страница 113, номер 2.293, Решение Алгебра, 7 класс Учебник, авторы: Арефьева Ирина Глебовна, Пирютко Ольга Николаевна, издательство Народная асвета, Минск, 2022, зелёного цвета, страница 113, номер 2.293, Решение (продолжение 2)
Решение 2. №2.293 (с. 113)

Для того чтобы представить данное выражение в виде квадрата двучлена, необходимо дополнить его до полного квадрата, используя одну из формул сокращенного умножения:

  • Квадрат суммы: $(a + b)^2 = a^2 + 2ab + b^2$
  • Квадрат разности: $(a - b)^2 = a^2 - 2ab + b^2$

а) $y^2 + 2y$;

Выражение $y^2 + 2y$ похоже на первые два члена формулы квадрата суммы $a^2 + 2ab$.

Пусть $a^2 = y^2$, тогда $a = y$.

Тогда удвоенное произведение $2ab$ должно быть равно $2y$. Подставим $a=y$ в это равенство: $2 \cdot y \cdot b = 2y$.

Отсюда находим второй член $b$: $b = \frac{2y}{2y} = 1$.

Для получения полного квадрата не хватает члена $b^2$. В нашем случае это $1^2 = 1$.

Прибавив 1 к исходному выражению, мы получим полный квадрат: $y^2 + 2y + 1 = (y + 1)^2$.

Ответ: 1.

б) $m^2 - 6mn$;

Выражение $m^2 - 6mn$ похоже на первые два члена формулы квадрата разности $a^2 - 2ab$.

Пусть $a^2 = m^2$, тогда $a = m$.

Тогда удвоенное произведение $2ab$ должно быть равно $6mn$. Подставим $a=m$: $2 \cdot m \cdot b = 6mn$.

Отсюда находим второй член $b$: $b = \frac{6mn}{2m} = 3n$.

Для получения полного квадрата не хватает члена $b^2$. В нашем случае это $(3n)^2 = 9n^2$.

Прибавив $9n^2$ к исходному выражению, мы получим полный квадрат: $m^2 - 6mn + 9n^2 = (m - 3n)^2$.

Ответ: $9n^2$.

в) $49x^2 + 1$.

Выражение $49x^2 + 1$ содержит два слагаемых, которые являются квадратами: $a^2 = 49x^2$ и $b^2 = 1$.

Из $a^2 = 49x^2$ следует, что $a = 7x$.

Из $b^2 = 1$ следует, что $b = 1$.

Чтобы получить полный квадрат, не хватает среднего члена, равного удвоенному произведению $2ab$. Этот член может быть как положительным (для формулы квадрата суммы), так и отрицательным (для формулы квадрата разности).

  1. Если мы хотим получить квадрат суммы, нужно прибавить член $+2ab = 2 \cdot (7x) \cdot 1 = 14x$. Тогда получится: $49x^2 + 14x + 1 = (7x + 1)^2$.
  2. Если мы хотим получить квадрат разности, нужно прибавить член $-2ab = -2 \cdot (7x) \cdot 1 = -14x$. Тогда получится: $49x^2 - 14x + 1 = (7x - 1)^2$.

Оба одночлена, $14x$ и $-14x$, являются верными решениями.

Ответ: $14x$ (или $-14x$).

Помогло решение? Оставьте отзыв в комментариях ниже.

Присоединяйтесь к Телеграм-группе @gdz_by_belarus

Присоединиться

Мы подготовили для вас ответ c подробным объяснением домашего задания по алгебре за 7 класс, для упражнения номер 2.293 расположенного на странице 113 к учебнику 2022 года издания для учащихся школ и гимназий.

Теперь на нашем сайте ГДЗ.ТОП вы всегда легко и бесплатно найдёте условие с правильным ответом на вопрос «Как решить ДЗ» и «Как сделать» задание по алгебре к упражнению №2.293 (с. 113), авторов: Арефьева (Ирина Глебовна), Пирютко (Ольга Николаевна), учебного пособия издательства Народная асвета.