Номер 2.290, страница 112 - гдз по алгебре 7 класс учебник Арефьева, Пирютко

Алгебра, 7 класс Учебник, авторы: Арефьева Ирина Глебовна, Пирютко Ольга Николаевна, издательство Народная асвета, Минск, 2022, зелёного цвета

Авторы: Арефьева И. Г., Пирютко О. Н.

Тип: Учебник

Издательство: Народная асвета

Год издания: 2022 - 2026

Цвет обложки: зелёный с графиком

ISBN: ISBN 978-985-03-3770-2

Допущено Министерством образования Республики Беларусь

Популярные ГДЗ в 7 классе

Глава 2. Выражения и их преобразования. Параграф 12. Формулы сокращенного умножения: квадрат суммы и квадрат разности двух выражений - номер 2.290, страница 112.

№2.290 (с. 112)
Условие. №2.290 (с. 112)
скриншот условия
Алгебра, 7 класс Учебник, авторы: Арефьева Ирина Глебовна, Пирютко Ольга Николаевна, издательство Народная асвета, Минск, 2022, зелёного цвета, страница 112, номер 2.290, Условие

2.290. Представьте трехчлен в виде квадрата двучлена:

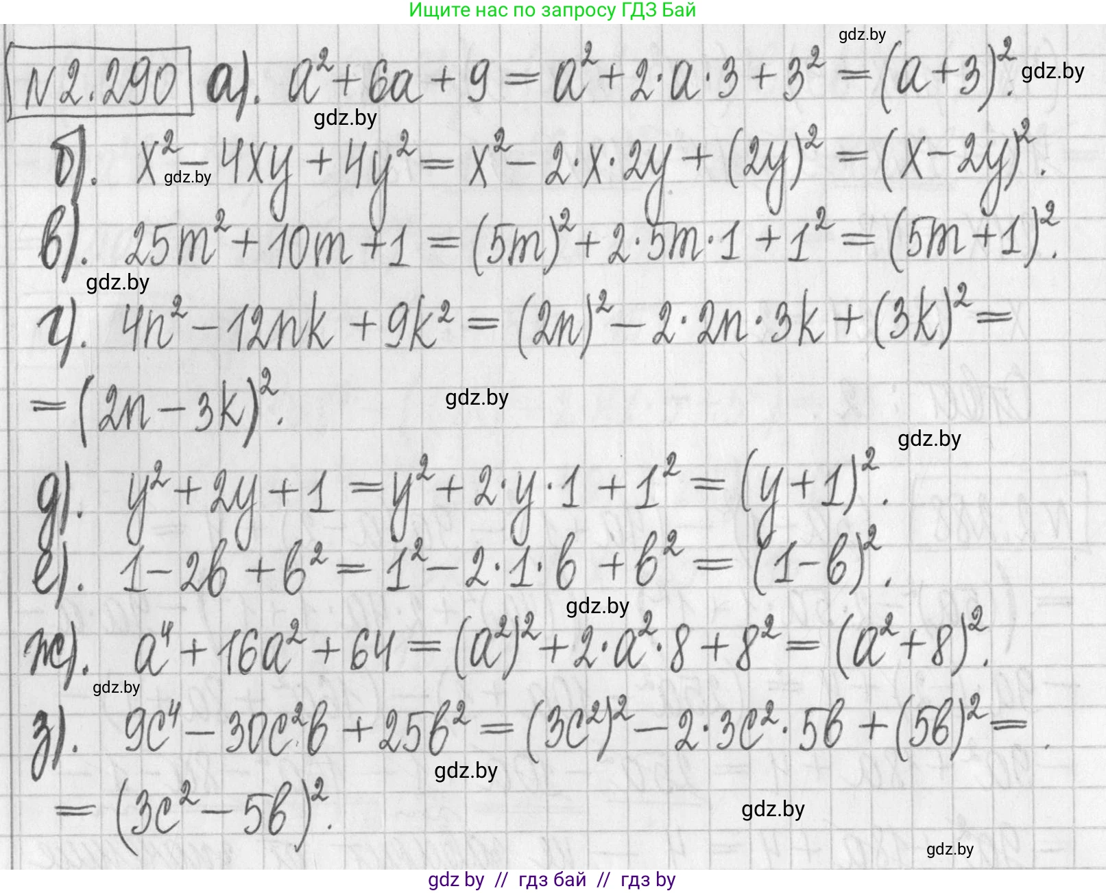
а) $a^2 + 6a + 9$;

б) $x^2 - 4xy + 4y^2$;

в) $25m^2 + 10m + 1$;

г) $4n^2 - 12nk + 9k^2$;

д) $y^2 + 2y + 1$;

е) $1 - 2b + b^2$;

ж) $a^4 + 16a^2 + 64$;

з) $9c^4 - 30c^2b + 25b^2$.

Решение. №2.290 (с. 112)
Алгебра, 7 класс Учебник, авторы: Арефьева Ирина Глебовна, Пирютко Ольга Николаевна, издательство Народная асвета, Минск, 2022, зелёного цвета, страница 112, номер 2.290, Решение
Решение 2. №2.290 (с. 112)

Для решения данной задачи необходимо использовать формулы сокращенного умножения, а именно квадрат суммы и квадрат разности:

  • Квадрат суммы: $(A+B)^2 = A^2 + 2AB + B^2$
  • Квадрат разности: $(A-B)^2 = A^2 - 2AB + B^2$

Задача состоит в том, чтобы для каждого трехчлена определить, какой формуле он соответствует, и найти соответствующие значения $A$ и $B$.


а) $a^2 + 6a + 9$

Этот трехчлен соответствует формуле квадрата суммы $(A+B)^2 = A^2 + 2AB + B^2$.

Определим $A$ и $B$:

  • Первый член $A^2 = a^2$, следовательно, $A = a$.
  • Третий член $B^2 = 9 = 3^2$, следовательно, $B = 3$.
  • Проверим средний член: $2AB = 2 \cdot a \cdot 3 = 6a$. Он совпадает со средним членом трехчлена.

Значит, $a^2 + 6a + 9 = (a+3)^2$.

Ответ: $(a+3)^2$.


б) $x^2 - 4xy + 4y^2$

Этот трехчлен соответствует формуле квадрата разности $(A-B)^2 = A^2 - 2AB + B^2$.

Определим $A$ и $B$:

  • Первый член $A^2 = x^2$, следовательно, $A = x$.
  • Третий член $B^2 = 4y^2 = (2y)^2$, следовательно, $B = 2y$.
  • Проверим средний член: $2AB = 2 \cdot x \cdot 2y = 4xy$. Он совпадает со средним членом трехчлена (по модулю).

Значит, $x^2 - 4xy + 4y^2 = (x-2y)^2$.

Ответ: $(x-2y)^2$.


в) $25m^2 + 10m + 1$

Этот трехчлен соответствует формуле квадрата суммы $(A+B)^2 = A^2 + 2AB + B^2$.

Определим $A$ и $B$:

  • Первый член $A^2 = 25m^2 = (5m)^2$, следовательно, $A = 5m$.
  • Третий член $B^2 = 1 = 1^2$, следовательно, $B = 1$.
  • Проверим средний член: $2AB = 2 \cdot 5m \cdot 1 = 10m$. Он совпадает со средним членом трехчлена.

Значит, $25m^2 + 10m + 1 = (5m+1)^2$.

Ответ: $(5m+1)^2$.


г) $4n^2 - 12nk + 9k^2$

Этот трехчлен соответствует формуле квадрата разности $(A-B)^2 = A^2 - 2AB + B^2$.

Определим $A$ и $B$:

  • Первый член $A^2 = 4n^2 = (2n)^2$, следовательно, $A = 2n$.
  • Третий член $B^2 = 9k^2 = (3k)^2$, следовательно, $B = 3k$.
  • Проверим средний член: $2AB = 2 \cdot 2n \cdot 3k = 12nk$. Он совпадает со средним членом трехчлена (по модулю).

Значит, $4n^2 - 12nk + 9k^2 = (2n-3k)^2$.

Ответ: $(2n-3k)^2$.


д) $y^2 + 2y + 1$

Этот трехчлен соответствует формуле квадрата суммы $(A+B)^2 = A^2 + 2AB + B^2$.

Определим $A$ и $B$:

  • Первый член $A^2 = y^2$, следовательно, $A = y$.
  • Третий член $B^2 = 1 = 1^2$, следовательно, $B = 1$.
  • Проверим средний член: $2AB = 2 \cdot y \cdot 1 = 2y$. Он совпадает со средним членом трехчлена.

Значит, $y^2 + 2y + 1 = (y+1)^2$.

Ответ: $(y+1)^2$.


е) $1 - 2b + b^2$

Этот трехчлен соответствует формуле квадрата разности $(A-B)^2 = A^2 - 2AB + B^2$.

Определим $A$ и $B$:

  • Первый член $A^2 = 1 = 1^2$, следовательно, $A = 1$.
  • Третий член $B^2 = b^2$, следовательно, $B = b$.
  • Проверим средний член: $2AB = 2 \cdot 1 \cdot b = 2b$. Он совпадает со средним членом трехчлена (по модулю).

Значит, $1 - 2b + b^2 = (1-b)^2$.

Ответ: $(1-b)^2$.


ж) $a^4 + 16a^2 + 64$

Этот трехчлен соответствует формуле квадрата суммы $(A+B)^2 = A^2 + 2AB + B^2$.

Определим $A$ и $B$:

  • Первый член $A^2 = a^4 = (a^2)^2$, следовательно, $A = a^2$.
  • Третий член $B^2 = 64 = 8^2$, следовательно, $B = 8$.
  • Проверим средний член: $2AB = 2 \cdot a^2 \cdot 8 = 16a^2$. Он совпадает со средним членом трехчлена.

Значит, $a^4 + 16a^2 + 64 = (a^2+8)^2$.

Ответ: $(a^2+8)^2$.


з) $9c^4 - 30c^2b + 25b^2$

Этот трехчлен соответствует формуле квадрата разности $(A-B)^2 = A^2 - 2AB + B^2$.

Определим $A$ и $B$:

  • Первый член $A^2 = 9c^4 = (3c^2)^2$, следовательно, $A = 3c^2$.
  • Третий член $B^2 = 25b^2 = (5b)^2$, следовательно, $B = 5b$.
  • Проверим средний член: $2AB = 2 \cdot 3c^2 \cdot 5b = 30c^2b$. Он совпадает со средним членом трехчлена (по модулю).

Значит, $9c^4 - 30c^2b + 25b^2 = (3c^2-5b)^2$.

Ответ: $(3c^2-5b)^2$.

Помогло решение? Оставьте отзыв в комментариях ниже.

Присоединяйтесь к Телеграм-группе @gdz_by_belarus

Присоединиться

Мы подготовили для вас ответ c подробным объяснением домашего задания по алгебре за 7 класс, для упражнения номер 2.290 расположенного на странице 112 к учебнику 2022 года издания для учащихся школ и гимназий.

Теперь на нашем сайте ГДЗ.ТОП вы всегда легко и бесплатно найдёте условие с правильным ответом на вопрос «Как решить ДЗ» и «Как сделать» задание по алгебре к упражнению №2.290 (с. 112), авторов: Арефьева (Ирина Глебовна), Пирютко (Ольга Николаевна), учебного пособия издательства Народная асвета.