Номер 2.292, страница 113 - гдз по алгебре 7 класс учебник Арефьева, Пирютко
Авторы: Арефьева И. Г., Пирютко О. Н.
Тип: Учебник
Издательство: Народная асвета
Год издания: 2022 - 2026
Цвет обложки: зелёный с графиком
ISBN: ISBN 978-985-03-3770-2
Допущено Министерством образования Республики Беларусь
Популярные ГДЗ в 7 классе
Глава 2. Выражения и их преобразования. Параграф 12. Формулы сокращенного умножения: квадрат суммы и квадрат разности двух выражений - номер 2.292, страница 113.
№2.292 (с. 113)
Условие. №2.292 (с. 113)
скриншот условия
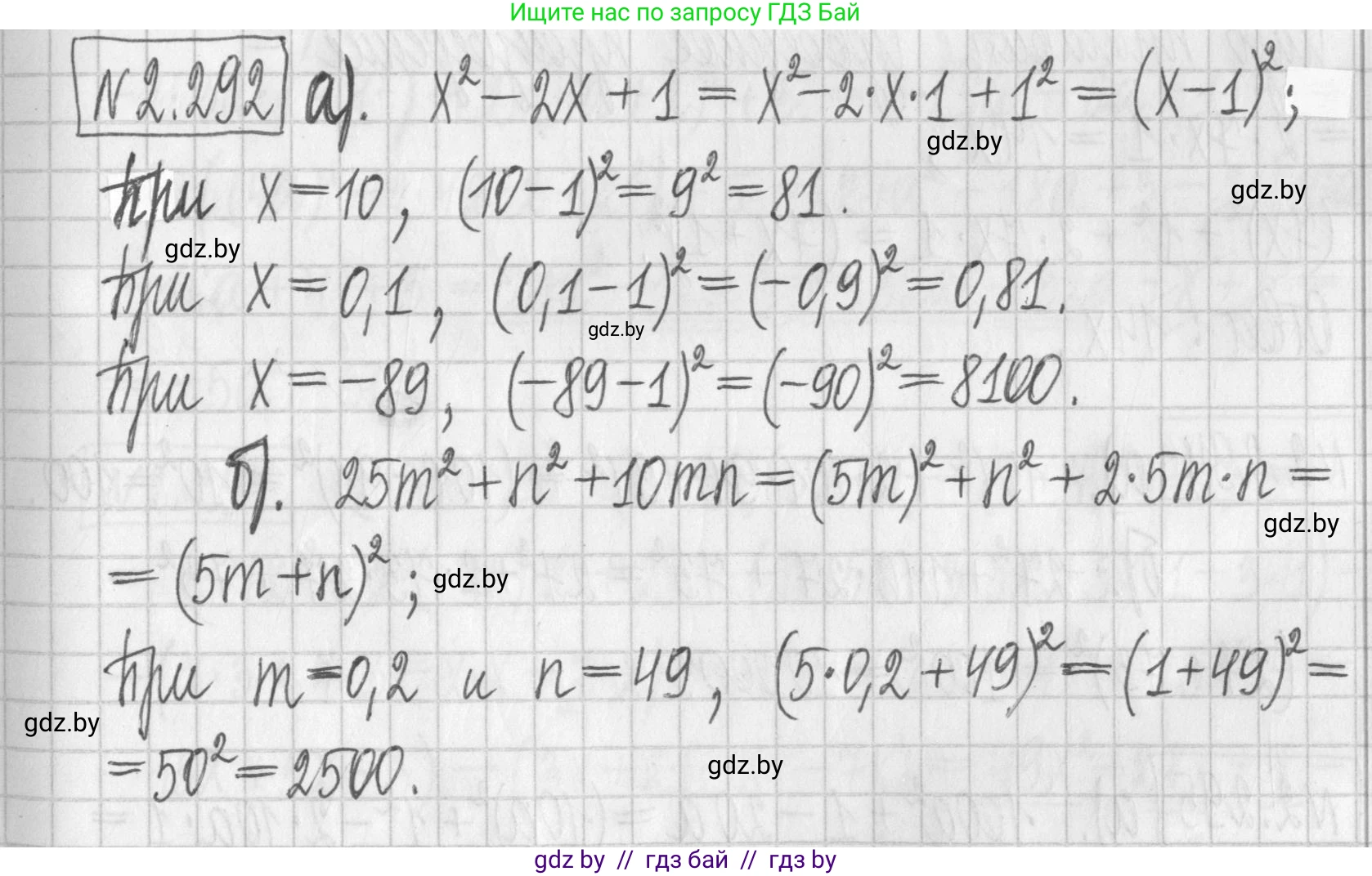
2.292. Упростите выражение и найдите его значение:
а) $x^2 - 2x + 1$ при $x = 10$; $0,1$; $-89$;
б) $25m^2 + n^2 + 10mn$ при $m = 0,2$, $n = 49$.
Решение. №2.292 (с. 113)
Решение 2. №2.292 (с. 113)
а) $x^2 - 2x + 1$ при $x = 10; 0,1; -89$
Сначала упростим выражение. Данное выражение представляет собой полный квадрат разности, который можно представить по формуле сокращенного умножения: $(a-b)^2 = a^2 - 2ab + b^2$.
В нашем случае $a = x$ и $b = 1$, поэтому:
$x^2 - 2x + 1 = (x-1)^2$
Теперь вычислим значение упрощенного выражения для каждого заданного значения $x$:
- При $x = 10$:
$(10 - 1)^2 = 9^2 = 81$ - При $x = 0,1$:
$(0,1 - 1)^2 = (-0,9)^2 = 0,81$ - При $x = -89$:
$(-89 - 1)^2 = (-90)^2 = 8100$
Ответ: $81$; $0,81$; $8100$.
б) $25m^2 + n^2 + 10mn$ при $m = 0,2, n = 49$
Сначала переставим слагаемые для наглядности: $25m^2 + 10mn + n^2$.
Это выражение является полным квадратом суммы, который можно свернуть по формуле: $(a+b)^2 = a^2 + 2ab + b^2$.
В данном случае $a^2 = 25m^2$, значит $a = 5m$. А $b^2=n^2$, значит $b=n$. Проверим удвоенное произведение: $2ab = 2 \cdot (5m) \cdot n = 10mn$, что соответствует нашему выражению.
Таким образом, упрощенное выражение выглядит так:
$25m^2 + 10mn + n^2 = (5m + n)^2$
Теперь подставим значения $m = 0,2$ и $n = 49$:
$(5 \cdot 0,2 + 49)^2 = (1 + 49)^2 = 50^2 = 2500$
Ответ: $2500$.
Другие задания:
Помогло решение? Оставьте отзыв в комментариях ниже.
Присоединяйтесь к Телеграм-группе @gdz_by_belarus
ПрисоединитьсяМы подготовили для вас ответ c подробным объяснением домашего задания по алгебре за 7 класс, для упражнения номер 2.292 расположенного на странице 113 к учебнику 2022 года издания для учащихся школ и гимназий.
Теперь на нашем сайте ГДЗ.ТОП вы всегда легко и бесплатно найдёте условие с правильным ответом на вопрос «Как решить ДЗ» и «Как сделать» задание по алгебре к упражнению №2.292 (с. 113), авторов: Арефьева (Ирина Глебовна), Пирютко (Ольга Николаевна), учебного пособия издательства Народная асвета.