Номер 325, страница 207 - гдз по алгебре 11 класс учебник Арефьева, Пирютко

Алгебра, 11 класс Учебник, авторы: Арефьева Ирина Глебовна, Пирютко Ольга Николаевна, издательство Народная асвета, Минск, 2020, бирюзового цвета

Авторы: Арефьева И. Г., Пирютко О. Н.

Тип: Учебник

Издательство: Народная асвета

Год издания: 2020 - 2026

Цвет обложки: бирюзовый, зелёный с графиком

ISBN: 978-985-03-3165-6

Популярные ГДЗ в 11 классе

Упражнения для итогового повторения. Выражения и их преобразования - номер 325, страница 207.

№325 (с. 207)
Условие. №325 (с. 207)
скриншот условия
Алгебра, 11 класс Учебник, авторы: Арефьева Ирина Глебовна, Пирютко Ольга Николаевна, издательство Народная асвета, Минск, 2020, бирюзового цвета, страница 207, номер 325, Условие

325. Решите неравенство, представив число в правой части неравенства в виде логарифма числа по заданному основанию:

а) $log_3(2x - 4) > 1;$

б) $log_{\frac{1}{2}}(4x + 3) \ge -3;$

в) $log_{0.2}(x^2 - 4x) \ge -1;$

г) $log_{\frac{1}{3}}\frac{x^2 - 2x}{2x - 3} < 1.$

Решение. №325 (с. 207)
Алгебра, 11 класс Учебник, авторы: Арефьева Ирина Глебовна, Пирютко Ольга Николаевна, издательство Народная асвета, Минск, 2020, бирюзового цвета, страница 207, номер 325, Решение Алгебра, 11 класс Учебник, авторы: Арефьева Ирина Глебовна, Пирютко Ольга Николаевна, издательство Народная асвета, Минск, 2020, бирюзового цвета, страница 207, номер 325, Решение (продолжение 2)
Решение 2. №325 (с. 207)

а) $ \log_3(2x - 4) > 1 $

1. Найдем область допустимых значений (ОДЗ). Аргумент логарифма должен быть строго больше нуля:

$ 2x - 4 > 0 $

$ 2x > 4 $

$ x > 2 $

ОДЗ: $ x \in (2; +\infty) $.

2. Представим правую часть неравенства в виде логарифма по основанию 3, используя свойство $ a = \log_b b^a $:

$ 1 = \log_3 3^1 = \log_3 3 $

Неравенство принимает вид:

$ \log_3(2x - 4) > \log_3 3 $

3. Так как основание логарифма $ 3 > 1 $, логарифмическая функция является возрастающей. При переходе к неравенству для аргументов знак неравенства сохраняется:

$ 2x - 4 > 3 $

$ 2x > 7 $

$ x > 3.5 $

4. Найдем пересечение полученного решения $ x > 3.5 $ с ОДЗ $ x > 2 $. Общим решением является $ x > 3.5 $.

Ответ: $ (3.5; +\infty) $.

б) $ \log_{\frac{1}{2}}(4x + 3) \ge -3 $

1. ОДЗ:

$ 4x + 3 > 0 $

$ 4x > -3 $

$ x > -\frac{3}{4} $

ОДЗ: $ x \in (-\frac{3}{4}; +\infty) $.

2. Представим -3 в виде логарифма по основанию $ \frac{1}{2} $:

$ -3 = \log_{\frac{1}{2}} \left(\frac{1}{2}\right)^{-3} = \log_{\frac{1}{2}} 2^3 = \log_{\frac{1}{2}} 8 $

Неравенство принимает вид:

$ \log_{\frac{1}{2}}(4x + 3) \ge \log_{\frac{1}{2}} 8 $

3. Так как основание логарифма $ 0 < \frac{1}{2} < 1 $, логарифмическая функция является убывающей. При переходе к неравенству для аргументов знак неравенства меняется на противоположный:

$ 4x + 3 \le 8 $

$ 4x \le 5 $

$ x \le \frac{5}{4} $

4. Учтем ОДЗ. Решение является пересечением интервалов $ x > -\frac{3}{4} $ и $ x \le \frac{5}{4} $.

Ответ: $ \left(-\frac{3}{4}; \frac{5}{4}\right] $.

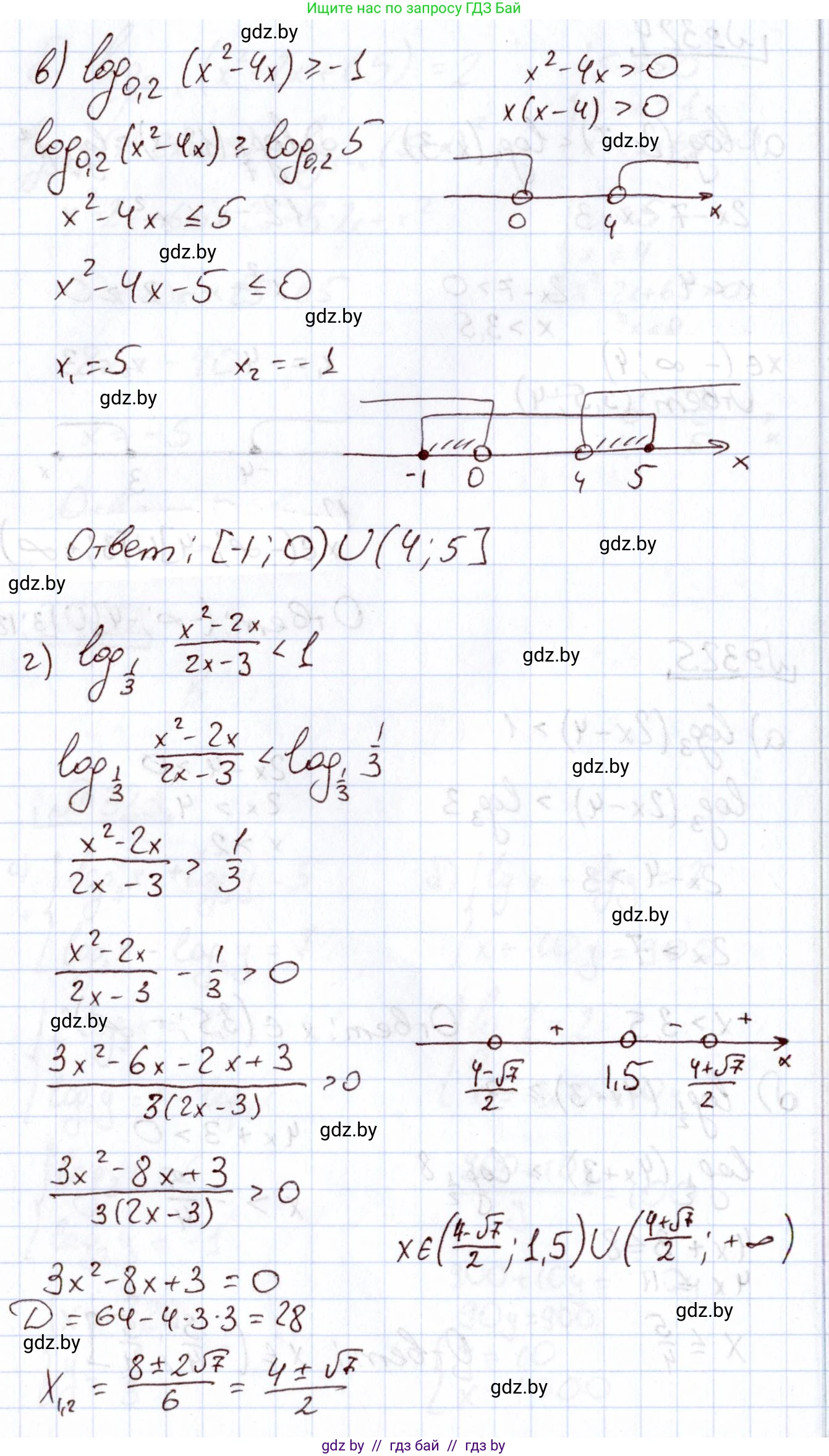
в) $ \log_{0.2}(x^2 - 4x) \ge -1 $

1. ОДЗ:

$ x^2 - 4x > 0 $

$ x(x - 4) > 0 $

Решая это квадратичное неравенство методом интервалов, получаем: $ x \in (-\infty; 0) \cup (4; +\infty) $.

2. Представим -1 в виде логарифма по основанию 0.2:

$ -1 = \log_{0.2} (0.2)^{-1} = \log_{0.2} \left(\frac{1}{5}\right)^{-1} = \log_{0.2} 5 $

Неравенство принимает вид:

$ \log_{0.2}(x^2 - 4x) \ge \log_{0.2} 5 $

3. Так как основание логарифма $ 0 < 0.2 < 1 $, функция является убывающей. Знак неравенства меняется на противоположный:

$ x^2 - 4x \le 5 $

$ x^2 - 4x - 5 \le 0 $

Найдем корни уравнения $ x^2 - 4x - 5 = 0 $. По теореме Виета, корни $ x_1 = 5, x_2 = -1 $.

Парабола $ y = x^2 - 4x - 5 $ имеет ветви вверх, значит, неравенство $ \le 0 $ выполняется между корнями (включая их): $ x \in [-1; 5] $.

4. Найдем пересечение решения $ [-1; 5] $ с ОДЗ $ (-\infty; 0) \cup (4; +\infty) $.

Пересечение $ [-1; 5] $ с $ (-\infty; 0) $ дает $ [-1; 0) $.

Пересечение $ [-1; 5] $ с $ (4; +\infty) $ дает $ (4; 5] $.

Объединяем полученные интервалы.

Ответ: $ [-1; 0) \cup (4; 5] $.

г) $ \log_{\frac{1}{3}}\frac{x^2 - 2x}{2x - 3} < 1 $

1. ОДЗ:

$ \frac{x^2 - 2x}{2x - 3} > 0 \implies \frac{x(x - 2)}{2x - 3} > 0 $

Решая методом интервалов с точками $ 0, 1.5, 2 $, получаем ОДЗ: $ x \in (0; 1.5) \cup (2; +\infty) $.

2. Представим 1 в виде логарифма по основанию $ \frac{1}{3} $:

$ 1 = \log_{\frac{1}{3}} \left(\frac{1}{3}\right)^1 = \log_{\frac{1}{3}} \frac{1}{3} $

Неравенство принимает вид:

$ \log_{\frac{1}{3}}\frac{x^2 - 2x}{2x - 3} < \log_{\frac{1}{3}} \frac{1}{3} $

3. Так как основание логарифма $ 0 < \frac{1}{3} < 1 $, функция является убывающей. Знак неравенства меняется на противоположный:

$ \frac{x^2 - 2x}{2x - 3} > \frac{1}{3} $

$ \frac{x^2 - 2x}{2x - 3} - \frac{1}{3} > 0 $

$ \frac{3(x^2 - 2x) - (2x - 3)}{3(2x - 3)} > 0 $

$ \frac{3x^2 - 6x - 2x + 3}{3(2x - 3)} > 0 $

$ \frac{3x^2 - 8x + 3}{2x - 3} > 0 $

Найдем корни числителя $ 3x^2 - 8x + 3 = 0 $. Дискриминант $ D = (-8)^2 - 4 \cdot 3 \cdot 3 = 64 - 36 = 28 $. Корни: $ x_{1,2} = \frac{8 \pm \sqrt{28}}{6} = \frac{8 \pm 2\sqrt{7}}{6} = \frac{4 \pm \sqrt{7}}{3} $.

Решаем неравенство $ \frac{3(x - \frac{4 - \sqrt{7}}{3})(x - \frac{4 + \sqrt{7}}{3})}{2(x - 1.5)} > 0 $ методом интервалов. Точки, разбивающие числовую прямую: $ \frac{4 - \sqrt{7}}{3} \approx 0.45 $, $ 1.5 $, $ \frac{4 + \sqrt{7}}{3} \approx 2.22 $.

Решением является $ x \in \left(\frac{4 - \sqrt{7}}{3}; 1.5\right) \cup \left(\frac{4 + \sqrt{7}}{3}; +\infty\right) $.

4. Совместим полученное решение с ОДЗ $ (0; 1.5) \cup (2; +\infty) $.

Пересечение $ \left(\frac{4 - \sqrt{7}}{3}; 1.5\right) $ и $ (0; 1.5) $ дает $ \left(\frac{4 - \sqrt{7}}{3}; 1.5\right) $.

Пересечение $ \left(\frac{4 + \sqrt{7}}{3}; +\infty\right) $ и $ (2; +\infty) $ дает $ \left(\frac{4 + \sqrt{7}}{3}; +\infty\right) $.

Объединив эти интервалы и представив 1.5 в виде дроби, получим окончательный ответ.

Ответ: $ \left(\frac{4 - \sqrt{7}}{3}; \frac{3}{2}\right) \cup \left(\frac{4 + \sqrt{7}}{3}; +\infty\right) $.

Помогло решение? Оставьте отзыв в комментариях ниже.

Присоединяйтесь к Телеграм-группе @gdz_by_belarus

Присоединиться

Мы подготовили для вас ответ c подробным объяснением домашего задания по алгебре за 11 класс, для упражнения номер 325 расположенного на странице 207 к учебнику 2020 года издания для учащихся школ и гимназий.

Теперь на нашем сайте ГДЗ.ТОП вы всегда легко и бесплатно найдёте условие с правильным ответом на вопрос «Как решить ДЗ» и «Как сделать» задание по алгебре к упражнению №325 (с. 207), авторов: Арефьева (Ирина Глебовна), Пирютко (Ольга Николаевна), учебного пособия издательства Народная асвета.