Номер 318, страница 206 - гдз по алгебре 11 класс учебник Арефьева, Пирютко

Алгебра, 11 класс Учебник, авторы: Арефьева Ирина Глебовна, Пирютко Ольга Николаевна, издательство Народная асвета, Минск, 2020, бирюзового цвета

Авторы: Арефьева И. Г., Пирютко О. Н.

Тип: Учебник

Издательство: Народная асвета

Год издания: 2020 - 2026

Цвет обложки: бирюзовый, зелёный с графиком

ISBN: 978-985-03-3165-6

Популярные ГДЗ в 11 классе

Упражнения для итогового повторения. Выражения и их преобразования - номер 318, страница 206.

№318 (с. 206)
Условие. №318 (с. 206)
скриншот условия
Алгебра, 11 класс Учебник, авторы: Арефьева Ирина Глебовна, Пирютко Ольга Николаевна, издательство Народная асвета, Минск, 2020, бирюзового цвета, страница 206, номер 318, Условие

318. Используйте свойства логарифмов и решите уравнение:

а) $\log_2(x + 3) + \log_2(x + 1) = 3;$

б) $\log_8(x - 7) = 1 - \log_8 x;$

в) $\log_{0,3}(x - 3) + \log_{0,3}(x + 3) = \log_{0,3}(7x - 1);$

г) $\log_4(7 - x) + \log_4(5 + x) = 2 + \log_4(5 - x).$

Решение. №318 (с. 206)
Алгебра, 11 класс Учебник, авторы: Арефьева Ирина Глебовна, Пирютко Ольга Николаевна, издательство Народная асвета, Минск, 2020, бирюзового цвета, страница 206, номер 318, Решение Алгебра, 11 класс Учебник, авторы: Арефьева Ирина Глебовна, Пирютко Ольга Николаевна, издательство Народная асвета, Минск, 2020, бирюзового цвета, страница 206, номер 318, Решение (продолжение 2)
Решение 2. №318 (с. 206)

а) $\log_2(x + 3) + \log_2(x + 1) = 3$

1. Найдем область допустимых значений (ОДЗ). Аргумент логарифма должен быть строго положительным:
$\begin{cases} x + 3 > 0 \\ x + 1 > 0 \end{cases} \Rightarrow \begin{cases} x > -3 \\ x > -1 \end{cases}$
Следовательно, ОДЗ: $x \in (-1; +\infty)$.

2. Решим уравнение. Используем свойство суммы логарифмов $\log_a b + \log_a c = \log_a (b \cdot c)$:
$\log_2((x + 3)(x + 1)) = 3$

По определению логарифма $\log_a b = c \Leftrightarrow a^c = b$:
$(x + 3)(x + 1) = 2^3$
$x^2 + x + 3x + 3 = 8$
$x^2 + 4x + 3 - 8 = 0$
$x^2 + 4x - 5 = 0$

3. Найдем корни квадратного уравнения. По теореме Виета:
$x_1 + x_2 = -4$
$x_1 \cdot x_2 = -5$
Корни: $x_1 = 1$, $x_2 = -5$.

4. Проверим корни на соответствие ОДЗ.
$x_1 = 1$ принадлежит интервалу $(-1; +\infty)$, значит, это корень уравнения.
$x_2 = -5$ не принадлежит интервалу $(-1; +\infty)$, значит, это посторонний корень.

Ответ: $1$.

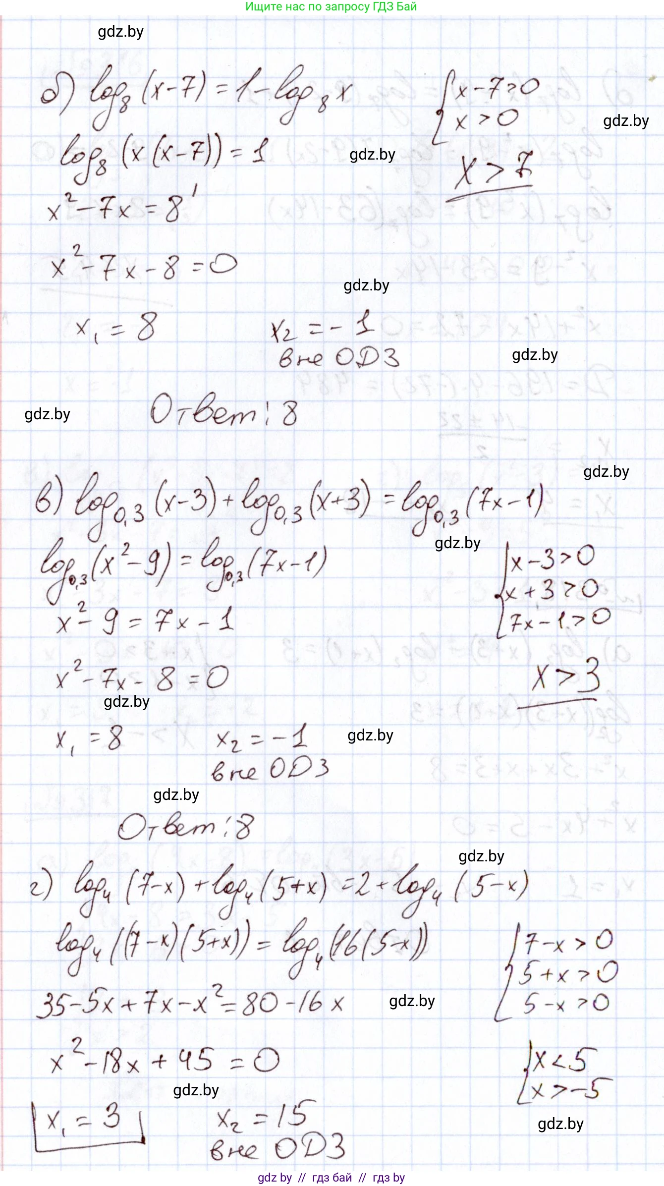
б) $\log_8(x - 7) = 1 - \log_8 x$

1. Найдем ОДЗ:
$\begin{cases} x - 7 > 0 \\ x > 0 \end{cases} \Rightarrow \begin{cases} x > 7 \\ x > 0 \end{cases}$
ОДЗ: $x \in (7; +\infty)$.

2. Решим уравнение. Перенесем логарифм в левую часть:
$\log_8(x - 7) + \log_8 x = 1$

Используем свойство суммы логарифмов:
$\log_8(x(x - 7)) = 1$

По определению логарифма:
$x(x - 7) = 8^1$
$x^2 - 7x = 8$
$x^2 - 7x - 8 = 0$

3. Найдем корни квадратного уравнения. По теореме Виета:
$x_1 + x_2 = 7$
$x_1 \cdot x_2 = -8$
Корни: $x_1 = 8$, $x_2 = -1$.

4. Проверим корни на соответствие ОДЗ.
$x_1 = 8$ принадлежит интервалу $(7; +\infty)$, значит, это корень уравнения.
$x_2 = -1$ не принадлежит интервалу $(7; +\infty)$, значит, это посторонний корень.

Ответ: $8$.

в) $\log_{0,3}(x - 3) + \log_{0,3}(x + 3) = \log_{0,3}(7x - 1)$

1. Найдем ОДЗ:
$\begin{cases} x - 3 > 0 \\ x + 3 > 0 \\ 7x - 1 > 0 \end{cases} \Rightarrow \begin{cases} x > 3 \\ x > -3 \\ x > 1/7 \end{cases}$
ОДЗ: $x \in (3; +\infty)$.

2. Решим уравнение. Применим свойство суммы логарифмов к левой части:
$\log_{0,3}((x - 3)(x + 3)) = \log_{0,3}(7x - 1)$

Так как основания логарифмов равны, приравниваем их аргументы:
$(x - 3)(x + 3) = 7x - 1$
$x^2 - 9 = 7x - 1$
$x^2 - 7x - 8 = 0$

3. Найдем корни квадратного уравнения. Корни этого уравнения уже найдены в пункте б): $x_1 = 8$, $x_2 = -1$.

4. Проверим корни на соответствие ОДЗ.
$x_1 = 8$ принадлежит интервалу $(3; +\infty)$, значит, это корень уравнения.
$x_2 = -1$ не принадлежит интервалу $(3; +\infty)$, значит, это посторонний корень.

Ответ: $8$.

г) $\log_4(7 - x) + \log_4(5 + x) = 2 + \log_4(5 - x)$

1. Найдем ОДЗ:
$\begin{cases} 7 - x > 0 \\ 5 + x > 0 \\ 5 - x > 0 \end{cases} \Rightarrow \begin{cases} x < 7 \\ x > -5 \\ x < 5 \end{cases}$
ОДЗ: $x \in (-5; 5)$.

2. Решим уравнение. Представим число $2$ в виде логарифма с основанием $4$: $2 = \log_4(4^2) = \log_4(16)$.
$\log_4(7 - x) + \log_4(5 + x) = \log_4(16) + \log_4(5 - x)$

Применим свойство суммы логарифмов к обеим частям уравнения:
$\log_4((7 - x)(5 + x)) = \log_4(16(5 - x))$

Приравниваем аргументы:
$(7 - x)(5 + x) = 16(5 - x)$
$35 + 7x - 5x - x^2 = 80 - 16x$
$35 + 2x - x^2 = 80 - 16x$
$x^2 - 18x + 45 = 0$

3. Найдем корни квадратного уравнения. По теореме Виета:
$x_1 + x_2 = 18$
$x_1 \cdot x_2 = 45$
Корни: $x_1 = 15$, $x_2 = 3$.

4. Проверим корни на соответствие ОДЗ.
$x_1 = 15$ не принадлежит интервалу $(-5; 5)$, значит, это посторонний корень.
$x_2 = 3$ принадлежит интервалу $(-5; 5)$, значит, это корень уравнения.

Ответ: $3$.

Помогло решение? Оставьте отзыв в комментариях ниже.

Присоединяйтесь к Телеграм-группе @gdz_by_belarus

Присоединиться

Мы подготовили для вас ответ c подробным объяснением домашего задания по алгебре за 11 класс, для упражнения номер 318 расположенного на странице 206 к учебнику 2020 года издания для учащихся школ и гимназий.

Теперь на нашем сайте ГДЗ.ТОП вы всегда легко и бесплатно найдёте условие с правильным ответом на вопрос «Как решить ДЗ» и «Как сделать» задание по алгебре к упражнению №318 (с. 206), авторов: Арефьева (Ирина Глебовна), Пирютко (Ольга Николаевна), учебного пособия издательства Народная асвета.