Номер 321, страница 206 - гдз по алгебре 11 класс учебник Арефьева, Пирютко

Алгебра, 11 класс Учебник, авторы: Арефьева Ирина Глебовна, Пирютко Ольга Николаевна, издательство Народная асвета, Минск, 2020, бирюзового цвета

Авторы: Арефьева И. Г., Пирютко О. Н.

Тип: Учебник

Издательство: Народная асвета

Год издания: 2020 - 2026

Цвет обложки: бирюзовый, зелёный с графиком

ISBN: 978-985-03-3165-6

Популярные ГДЗ в 11 классе

Упражнения для итогового повторения. Выражения и их преобразования - номер 321, страница 206.

№321 (с. 206)
Условие. №321 (с. 206)
скриншот условия
Алгебра, 11 класс Учебник, авторы: Арефьева Ирина Глебовна, Пирютко Ольга Николаевна, издательство Народная асвета, Минск, 2020, бирюзового цвета, страница 206, номер 321, Условие

321. Решите логарифмическое уравнение:

а) $\log_x (4x^2 - 3x) = 3;$

б) $\log_{5 - x} (x^2 - 2x + 65) = 2.$

Решение. №321 (с. 206)
Алгебра, 11 класс Учебник, авторы: Арефьева Ирина Глебовна, Пирютко Ольга Николаевна, издательство Народная асвета, Минск, 2020, бирюзового цвета, страница 206, номер 321, Решение Алгебра, 11 класс Учебник, авторы: Арефьева Ирина Глебовна, Пирютко Ольга Николаевна, издательство Народная асвета, Минск, 2020, бирюзового цвета, страница 206, номер 321, Решение (продолжение 2)
Решение 2. №321 (с. 206)

а) $\log_x(4x^2 - 3x) = 3$

Для решения логарифмического уравнения сначала определим область допустимых значений (ОДЗ).

1. Основание логарифма должно быть больше нуля и не равно единице:
$x > 0$
$x \neq 1$

2. Аргумент логарифма должен быть строго больше нуля:
$4x^2 - 3x > 0$
$x(4x - 3) > 0$
Решая это неравенство методом интервалов, находим, что $x \in (-\infty, 0) \cup (3/4, +\infty)$.

Объединяя все условия, получаем ОДЗ: $x \in (3/4, 1) \cup (1, +\infty)$.

Теперь решим само уравнение, используя определение логарифма: $\log_b a = c \Leftrightarrow a = b^c$.
$4x^2 - 3x = x^3$

Перенесем все члены в одну сторону и решим полученное кубическое уравнение:
$x^3 - 4x^2 + 3x = 0$
$x(x^2 - 4x + 3) = 0$

Отсюда получаем три возможных корня:
1) $x_1 = 0$
2) $x^2 - 4x + 3 = 0$. По теореме Виета, корни этого квадратного уравнения $x_2 = 1$ и $x_3 = 3$.

Проверим найденные корни на соответствие ОДЗ: $x \in (3/4, 1) \cup (1, +\infty)$.
$x_1 = 0$ не принадлежит ОДЗ.
$x_2 = 1$ не принадлежит ОДЗ.
$x_3 = 3$ принадлежит ОДЗ.

Следовательно, уравнение имеет единственный корень.

Ответ: $3$

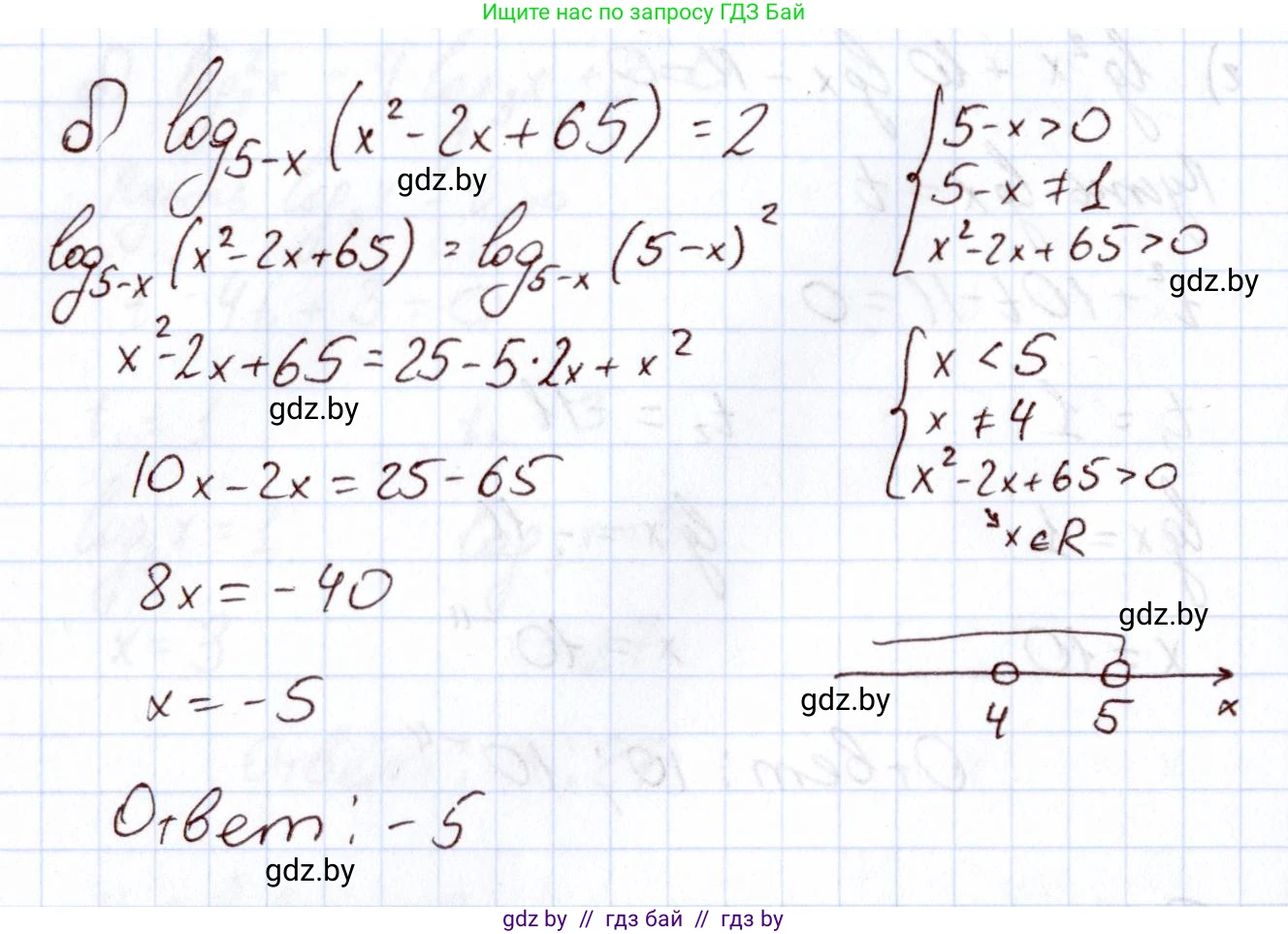
б) $\log_{5-x}(x^2 - 2x + 65) = 2$

Найдем область допустимых значений (ОДЗ) для данного уравнения.

1. Основание логарифма $5-x$ должно быть больше нуля и не равно единице:
$5 - x > 0 \Rightarrow x < 5$
$5 - x \neq 1 \Rightarrow x \neq 4$

2. Аргумент логарифма $x^2 - 2x + 65$ должен быть строго больше нуля.
Найдем дискриминант квадратного трехчлена $x^2 - 2x + 65$:
$D = (-2)^2 - 4 \cdot 1 \cdot 65 = 4 - 260 = -256$.
Так как дискриминант отрицателен ($D < 0$) и старший коэффициент ($a=1$) положителен, то выражение $x^2 - 2x + 65$ всегда больше нуля при любых значениях $x$.

Таким образом, ОДЗ определяется условиями $x < 5$ и $x \neq 4$, то есть $x \in (-\infty, 4) \cup (4, 5)$.

Теперь решим уравнение, используя определение логарифма:
$x^2 - 2x + 65 = (5-x)^2$

Раскроем скобки и упростим выражение:
$x^2 - 2x + 65 = 25 - 10x + x^2$
$-2x + 65 = 25 - 10x$
$10x - 2x = 25 - 65$
$8x = -40$
$x = -5$

Проверим, удовлетворяет ли найденный корень ОДЗ.
Корень $x = -5$ принадлежит ОДЗ, так как $-5 < 4$.

Ответ: $-5$

Помогло решение? Оставьте отзыв в комментариях ниже.

Присоединяйтесь к Телеграм-группе @gdz_by_belarus

Присоединиться

Мы подготовили для вас ответ c подробным объяснением домашего задания по алгебре за 11 класс, для упражнения номер 321 расположенного на странице 206 к учебнику 2020 года издания для учащихся школ и гимназий.

Теперь на нашем сайте ГДЗ.ТОП вы всегда легко и бесплатно найдёте условие с правильным ответом на вопрос «Как решить ДЗ» и «Как сделать» задание по алгебре к упражнению №321 (с. 206), авторов: Арефьева (Ирина Глебовна), Пирютко (Ольга Николаевна), учебного пособия издательства Народная асвета.