Номер 205, страница 190 - гдз по алгебре 11 класс учебник Арефьева, Пирютко

Алгебра, 11 класс Учебник, авторы: Арефьева Ирина Глебовна, Пирютко Ольга Николаевна, издательство Народная асвета, Минск, 2020, бирюзового цвета

Авторы: Арефьева И. Г., Пирютко О. Н.

Тип: Учебник

Издательство: Народная асвета

Год издания: 2020 - 2026

Цвет обложки: бирюзовый, зелёный с графиком

ISBN: 978-985-03-3165-6

Популярные ГДЗ в 11 классе

Упражнения для итогового повторения. Выражения и их преобразования - номер 205, страница 190.

№205 (с. 190)
Условие. №205 (с. 190)
скриншот условия
Алгебра, 11 класс Учебник, авторы: Арефьева Ирина Глебовна, Пирютко Ольга Николаевна, издательство Народная асвета, Минск, 2020, бирюзового цвета, страница 190, номер 205, Условие

205. Решите простейшее тригонометрическое уравнение:

$ \sin x = a, x = (-1)^n \arcsin a + \pi n, n \in \mathbb{Z} $

$ \cos x = a, x = \pm \arccos a + 2 \pi n, n \in \mathbb{Z} $

$ \tan x = a, x = \arctan a + \pi n, n \in \mathbb{Z} $

$ \cot x = a, x = \operatorname{arcctg} a + \pi n, n \in \mathbb{Z} $

а)

$ \sin x = \frac{1}{2}; $

б)

$ \sin 5x = 0; $

в)

$ \sin \left(x + \frac{\pi}{5}\right) = -\frac{\sqrt{3}}{2}; $

г)

$ \sin \left(\frac{x}{2} - \frac{\pi}{10}\right) = 1; $

д)

$ \cos 3x = \frac{\sqrt{2}}{2}; $

е)

$ \cos \frac{x}{4} = 0; $

ж)

$ \cos \left(x - \frac{\pi}{8}\right) = -\frac{1}{2}; $

з)

$ \cos \left(3x + \frac{\pi}{4}\right) = -1; $

и)

$ \tan \left(x - \frac{\pi}{3}\right) = \sqrt{3}; $

к)

$ \tan 8x = 0; $

л)

$ \tan \left(x + \frac{\pi}{16}\right) = -\frac{\sqrt{3}}{3}; $

м)

$ \tan \left(\frac{x}{2} + \frac{\pi}{9}\right) = -1; $

н)

$ \cot \left(x + \frac{\pi}{4}\right) = \sqrt{3}; $

о)

$ \cot \frac{2x}{5} = 1; $

п)

$ \cot \left(x - \frac{\pi}{12}\right) = -\frac{\sqrt{3}}{3}; $

р)

$ \cot \left(3x - \frac{\pi}{10}\right) = -1. $

Решение. №205 (с. 190)
Алгебра, 11 класс Учебник, авторы: Арефьева Ирина Глебовна, Пирютко Ольга Николаевна, издательство Народная асвета, Минск, 2020, бирюзового цвета, страница 190, номер 205, Решение Алгебра, 11 класс Учебник, авторы: Арефьева Ирина Глебовна, Пирютко Ольга Николаевна, издательство Народная асвета, Минск, 2020, бирюзового цвета, страница 190, номер 205, Решение (продолжение 2)
Решение 2. №205 (с. 190)

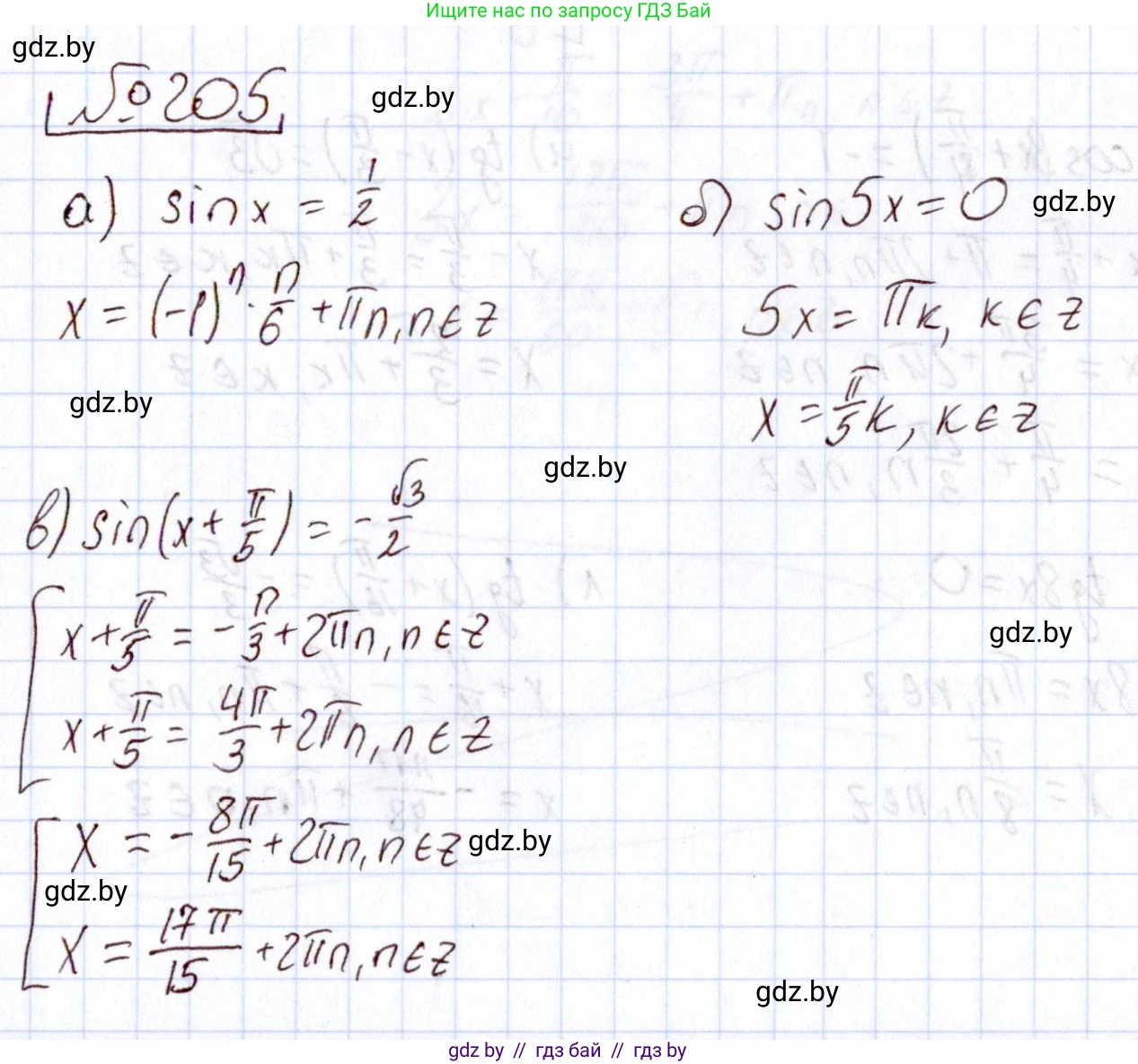
а) Дано уравнение $sin x = \frac{1}{2}$.
Используем общую формулу для решения уравнений вида $sin x = a$: $x = (-1)^n \arcsin a + \pi n, n \in \mathbb{Z}$.
В данном случае $a=\frac{1}{2}$, и $\arcsin(\frac{1}{2}) = \frac{\pi}{6}$.
Подставляя это значение в формулу, получаем: $x = (-1)^n \frac{\pi}{6} + \pi n, n \in \mathbb{Z}$.
Ответ: $x = (-1)^n \frac{\pi}{6} + \pi n, n \in \mathbb{Z}$.

б) Дано уравнение $sin 5x = 0$.
Это частный случай уравнения $sin u = 0$, решение которого имеет вид $u = \pi n, n \in \mathbb{Z}$.
В нашем случае $u = 5x$, поэтому $5x = \pi n$.
Разделив обе части на 5, находим $x$.
Ответ: $x = \frac{\pi n}{5}, n \in \mathbb{Z}$.

в) Дано уравнение $sin(x + \frac{\pi}{5}) = -\frac{\sqrt{3}}{2}$.
Пусть $u = x + \frac{\pi}{5}$. Уравнение принимает вид $sin u = -\frac{\sqrt{3}}{2}$.
Решение: $u = (-1)^n \arcsin(-\frac{\sqrt{3}}{2}) + \pi n, n \in \mathbb{Z}$.
Так как $\arcsin(-\frac{\sqrt{3}}{2}) = -\frac{\pi}{3}$, получаем $u = (-1)^n (-\frac{\pi}{3}) + \pi n = (-1)^{n+1} \frac{\pi}{3} + \pi n$.
Выполняем обратную замену: $x + \frac{\pi}{5} = (-1)^{n+1} \frac{\pi}{3} + \pi n$.
Выражаем $x$: $x = -\frac{\pi}{5} + (-1)^{n+1} \frac{\pi}{3} + \pi n, n \in \mathbb{Z}$.
Ответ: $x = (-1)^{n+1} \frac{\pi}{3} - \frac{\pi}{5} + \pi n, n \in \mathbb{Z}$.

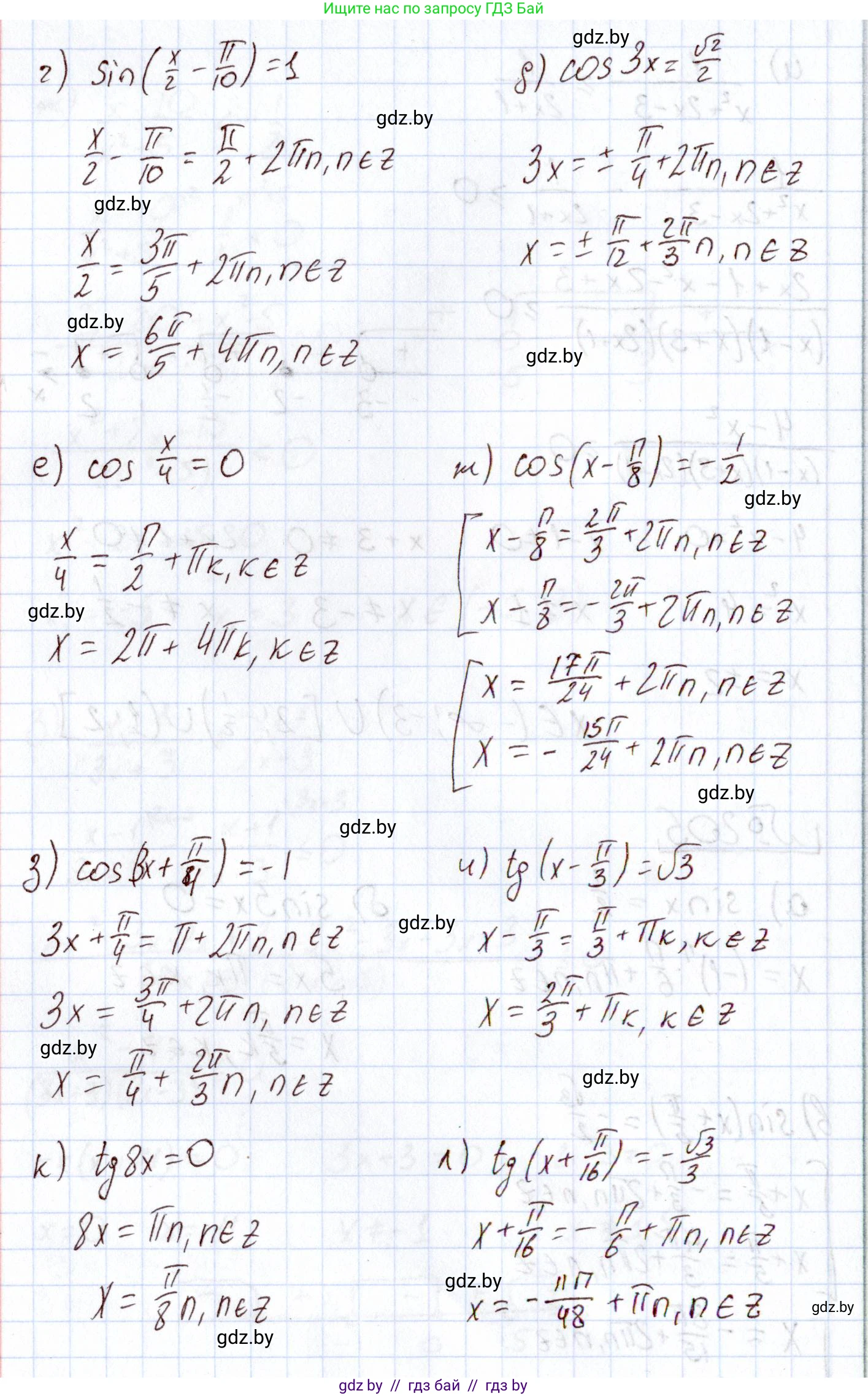
г) Дано уравнение $sin(\frac{x}{2} - \frac{\pi}{10}) = 1$.
Это частный случай уравнения $sin u = 1$, решение которого $u = \frac{\pi}{2} + 2\pi n, n \in \mathbb{Z}$.
Здесь $u = \frac{x}{2} - \frac{\pi}{10}$. Следовательно, $\frac{x}{2} - \frac{\pi}{10} = \frac{\pi}{2} + 2\pi n$.
Выражаем $\frac{x}{2}$: $\frac{x}{2} = \frac{\pi}{2} + \frac{\pi}{10} + 2\pi n = \frac{5\pi}{10} + \frac{\pi}{10} + 2\pi n = \frac{6\pi}{10} + 2\pi n = \frac{3\pi}{5} + 2\pi n$.
Умножаем обе части на 2: $x = \frac{6\pi}{5} + 4\pi n, n \in \mathbb{Z}$.
Ответ: $x = \frac{6\pi}{5} + 4\pi n, n \in \mathbb{Z}$.

д) Дано уравнение $cos 3x = \frac{\sqrt{2}}{2}$.
Используем формулу $cos u = a \implies u = \pm \arccos a + 2\pi n, n \in \mathbb{Z}$.
Здесь $u=3x$ и $a=\frac{\sqrt{2}}{2}$. $\arccos(\frac{\sqrt{2}}{2}) = \frac{\pi}{4}$.
Получаем $3x = \pm \frac{\pi}{4} + 2\pi n$.
Делим на 3: $x = \pm \frac{\pi}{12} + \frac{2\pi n}{3}, n \in \mathbb{Z}$.
Ответ: $x = \pm \frac{\pi}{12} + \frac{2\pi n}{3}, n \in \mathbb{Z}$.

е) Дано уравнение $cos\frac{x}{4} = 0$.
Это частный случай $cos u = 0$, решение которого $u = \frac{\pi}{2} + \pi n, n \in \mathbb{Z}$.
Здесь $u = \frac{x}{4}$. Следовательно, $\frac{x}{4} = \frac{\pi}{2} + \pi n$.
Умножаем обе части на 4: $x = 2\pi + 4\pi n, n \in \mathbb{Z}$.
Ответ: $x = 2\pi + 4\pi n, n \in \mathbb{Z}$.

ж) Дано уравнение $cos(x - \frac{\pi}{8}) = -\frac{1}{2}$.
Пусть $u = x - \frac{\pi}{8}$. Уравнение: $cos u = -\frac{1}{2}$.
Решение: $u = \pm \arccos(-\frac{1}{2}) + 2\pi n, n \in \mathbb{Z}$.
Так как $\arccos(-\frac{1}{2}) = \frac{2\pi}{3}$, получаем $u = \pm \frac{2\pi}{3} + 2\pi n$.
Обратная замена: $x - \frac{\pi}{8} = \pm \frac{2\pi}{3} + 2\pi n$.
Выражаем $x$: $x = \frac{\pi}{8} \pm \frac{2\pi}{3} + 2\pi n, n \in \mathbb{Z}$.
Ответ: $x = \frac{\pi}{8} \pm \frac{2\pi}{3} + 2\pi n, n \in \mathbb{Z}$.

з) Дано уравнение $cos(3x + \frac{\pi}{4}) = -1$.
Это частный случай $cos u = -1$, решение которого $u = \pi + 2\pi n, n \in \mathbb{Z}$.
Здесь $u = 3x + \frac{\pi}{4}$. Следовательно, $3x + \frac{\pi}{4} = \pi + 2\pi n$.
Выражаем $3x$: $3x = \pi - \frac{\pi}{4} + 2\pi n = \frac{3\pi}{4} + 2\pi n$.
Делим обе части на 3: $x = \frac{\pi}{4} + \frac{2\pi n}{3}, n \in \mathbb{Z}$.
Ответ: $x = \frac{\pi}{4} + \frac{2\pi n}{3}, n \in \mathbb{Z}$.

и) Дано уравнение $tg(x - \frac{\pi}{3}) = \sqrt{3}$.
Используем формулу $tg u = a \implies u = \arctan a + \pi n, n \in \mathbb{Z}$.
Здесь $u = x - \frac{\pi}{3}$ и $a=\sqrt{3}$. $\arctan(\sqrt{3}) = \frac{\pi}{3}$.
Получаем $x - \frac{\pi}{3} = \frac{\pi}{3} + \pi n$.
Выражаем $x$: $x = \frac{\pi}{3} + \frac{\pi}{3} + \pi n = \frac{2\pi}{3} + \pi n, n \in \mathbb{Z}$.
Ответ: $x = \frac{2\pi}{3} + \pi n, n \in \mathbb{Z}$.

к) Дано уравнение $tg 8x = 0$.
Это частный случай $tg u = 0$, решение которого $u = \pi n, n \in \mathbb{Z}$.
Здесь $u = 8x$. Следовательно, $8x = \pi n$.
Делим обе части на 8: $x = \frac{\pi n}{8}, n \in \mathbb{Z}$.
Ответ: $x = \frac{\pi n}{8}, n \in \mathbb{Z}$.

л) Дано уравнение $tg(x + \frac{\pi}{16}) = -\frac{\sqrt{3}}{3}$.
Пусть $u = x + \frac{\pi}{16}$. Уравнение: $tg u = -\frac{\sqrt{3}}{3}$.
Решение: $u = \arctan(-\frac{\sqrt{3}}{3}) + \pi n, n \in \mathbb{Z}$.
Так как $\arctan(-\frac{\sqrt{3}}{3}) = -\frac{\pi}{6}$, получаем $u = -\frac{\pi}{6} + \pi n$.
Обратная замена: $x + \frac{\pi}{16} = -\frac{\pi}{6} + \pi n$.
Выражаем $x$: $x = -\frac{\pi}{6} - \frac{\pi}{16} + \pi n = -\frac{8\pi}{48} - \frac{3\pi}{48} + \pi n = -\frac{11\pi}{48} + \pi n, n \in \mathbb{Z}$.
Ответ: $x = -\frac{11\pi}{48} + \pi n, n \in \mathbb{Z}$.

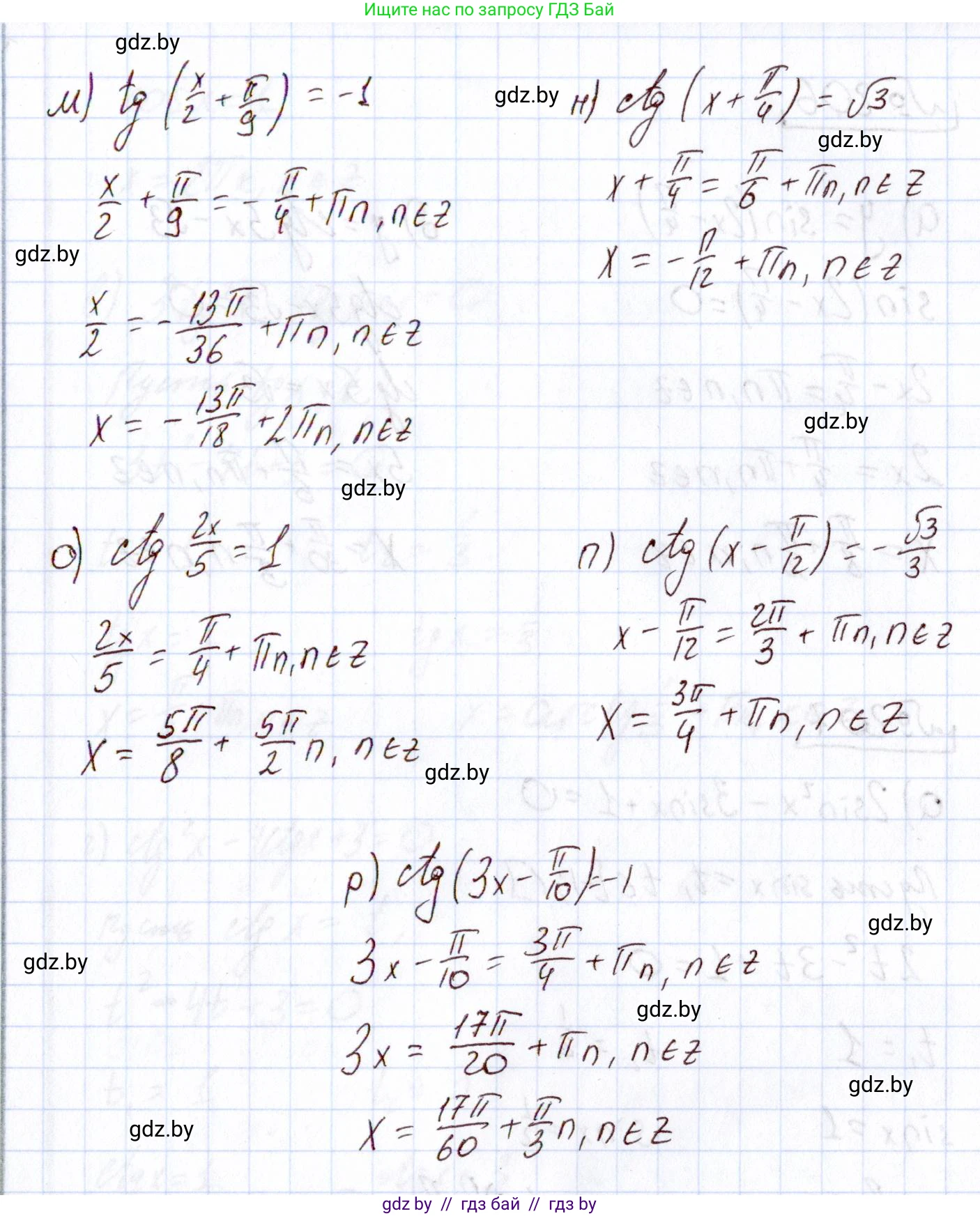
м) Дано уравнение $tg(\frac{x}{2} + \frac{\pi}{9}) = -1$.
Пусть $u = \frac{x}{2} + \frac{\pi}{9}$. Уравнение: $tg u = -1$.
Решение: $u = \arctan(-1) + \pi n, n \in \mathbb{Z}$.
Так как $\arctan(-1) = -\frac{\pi}{4}$, получаем $u = -\frac{\pi}{4} + \pi n$.
Обратная замена: $\frac{x}{2} + \frac{\pi}{9} = -\frac{\pi}{4} + \pi n$.
Выражаем $\frac{x}{2}$: $\frac{x}{2} = -\frac{\pi}{4} - \frac{\pi}{9} + \pi n = -\frac{9\pi}{36} - \frac{4\pi}{36} + \pi n = -\frac{13\pi}{36} + \pi n$.
Умножаем на 2: $x = -\frac{13\pi}{18} + 2\pi n, n \in \mathbb{Z}$.
Ответ: $x = -\frac{13\pi}{18} + 2\pi n, n \in \mathbb{Z}$.

н) Дано уравнение $ctg(x + \frac{\pi}{4}) = \sqrt{3}$.
Используем формулу $ctg u = a \implies u = arcctg a + \pi n, n \in \mathbb{Z}$.
Здесь $u = x + \frac{\pi}{4}$ и $a=\sqrt{3}$. $arcctg(\sqrt{3}) = \frac{\pi}{6}$.
Получаем $x + \frac{\pi}{4} = \frac{\pi}{6} + \pi n$.
Выражаем $x$: $x = \frac{\pi}{6} - \frac{\pi}{4} + \pi n = \frac{2\pi}{12} - \frac{3\pi}{12} + \pi n = -\frac{\pi}{12} + \pi n, n \in \mathbb{Z}$.
Ответ: $x = -\frac{\pi}{12} + \pi n, n \in \mathbb{Z}$.

о) Дано уравнение $ctg\frac{2x}{5} = 1$.
Пусть $u = \frac{2x}{5}$. Уравнение: $ctg u = 1$.
Решение: $u = arcctg(1) + \pi n, n \in \mathbb{Z}$.
Так как $arcctg(1) = \frac{\pi}{4}$, получаем $u = \frac{\pi}{4} + \pi n$.
Обратная замена: $\frac{2x}{5} = \frac{\pi}{4} + \pi n$.
Умножаем на $\frac{5}{2}$: $x = \frac{5}{2}(\frac{\pi}{4} + \pi n) = \frac{5\pi}{8} + \frac{5\pi n}{2}, n \in \mathbb{Z}$.
Ответ: $x = \frac{5\pi}{8} + \frac{5\pi n}{2}, n \in \mathbb{Z}$.

п) Дано уравнение $ctg(x - \frac{\pi}{12}) = -\frac{\sqrt{3}}{3}$.
Пусть $u = x - \frac{\pi}{12}$. Уравнение: $ctg u = -\frac{\sqrt{3}}{3}$.
Решение: $u = arcctg(-\frac{\sqrt{3}}{3}) + \pi n, n \in \mathbb{Z}$.
Так как $arcctg(-\frac{\sqrt{3}}{3}) = \frac{2\pi}{3}$, получаем $u = \frac{2\pi}{3} + \pi n$.
Обратная замена: $x - \frac{\pi}{12} = \frac{2\pi}{3} + \pi n$.
Выражаем $x$: $x = \frac{2\pi}{3} + \frac{\pi}{12} + \pi n = \frac{8\pi}{12} + \frac{\pi}{12} + \pi n = \frac{9\pi}{12} + \pi n = \frac{3\pi}{4} + \pi n, n \in \mathbb{Z}$.
Ответ: $x = \frac{3\pi}{4} + \pi n, n \in \mathbb{Z}$.

р) Дано уравнение $ctg(3x - \frac{\pi}{10}) = -1$.
Пусть $u = 3x - \frac{\pi}{10}$. Уравнение: $ctg u = -1$.
Решение: $u = arcctg(-1) + \pi n, n \in \mathbb{Z}$.
Так как $arcctg(-1) = \frac{3\pi}{4}$, получаем $u = \frac{3\pi}{4} + \pi n$.
Обратная замена: $3x - \frac{\pi}{10} = \frac{3\pi}{4} + \pi n$.
Выражаем $3x$: $3x = \frac{3\pi}{4} + \frac{\pi}{10} + \pi n = \frac{15\pi}{20} + \frac{2\pi}{20} + \pi n = \frac{17\pi}{20} + \pi n$.
Делим на 3: $x = \frac{17\pi}{60} + \frac{\pi n}{3}, n \in \mathbb{Z}$.
Ответ: $x = \frac{17\pi}{60} + \frac{\pi n}{3}, n \in \mathbb{Z}$.

Помогло решение? Оставьте отзыв в комментариях ниже.

Присоединяйтесь к Телеграм-группе @gdz_by_belarus

Присоединиться

Мы подготовили для вас ответ c подробным объяснением домашего задания по алгебре за 11 класс, для упражнения номер 205 расположенного на странице 190 к учебнику 2020 года издания для учащихся школ и гимназий.

Теперь на нашем сайте ГДЗ.ТОП вы всегда легко и бесплатно найдёте условие с правильным ответом на вопрос «Как решить ДЗ» и «Как сделать» задание по алгебре к упражнению №205 (с. 190), авторов: Арефьева (Ирина Глебовна), Пирютко (Ольга Николаевна), учебного пособия издательства Народная асвета.