Номер 200, страница 189 - гдз по алгебре 11 класс учебник Арефьева, Пирютко

Алгебра, 11 класс Учебник, авторы: Арефьева Ирина Глебовна, Пирютко Ольга Николаевна, издательство Народная асвета, Минск, 2020, бирюзового цвета

Авторы: Арефьева И. Г., Пирютко О. Н.

Тип: Учебник

Издательство: Народная асвета

Год издания: 2020 - 2026

Цвет обложки: бирюзовый, зелёный с графиком

ISBN: 978-985-03-3165-6

Популярные ГДЗ в 11 классе

Упражнения для итогового повторения. Выражения и их преобразования - номер 200, страница 189.

№200 (с. 189)
Условие. №200 (с. 189)
скриншот условия
Алгебра, 11 класс Учебник, авторы: Арефьева Ирина Глебовна, Пирютко Ольга Николаевна, издательство Народная асвета, Минск, 2020, бирюзового цвета, страница 189, номер 200, Условие

200. Решите дробно-рациональное уравнение:

а) $\frac{x^2 + 2x}{x + 4} = \frac{8}{x + 4};$

б) $\frac{x^2 - 8x}{5 - x} = \frac{15}{x - 5};$

в) $\frac{x^2 + 3x - 4}{x^2 + 2x - 8} = 0;$

г) $\frac{(x^2 + 3x - 18)(x^2 - 36)}{x + 6} = 0;$

д) $1 - \frac{2x^2 - x - 6}{2 - x} = 0;$

е) $\frac{2x^2 + x - 1}{x + 1} = 3x + 1;$

ж) $\frac{x}{x^2 - 4} + \frac{x + 1}{x + 2} = 0;$

з) $\frac{x}{x + 3} - \frac{4}{x - 3} = \frac{18}{x^2 - 9};$

и) $\frac{3x + 1}{x} + \frac{5}{x - 2} = \frac{6x - 2}{x^2 - 2x};$

к) $\frac{x - 2}{x^2 - x} + \frac{1}{x^2 + x} = \frac{2}{x^2 - 1};$

л) $\frac{x + 3}{4x^2 - 9} - \frac{3 - x}{4x^2 + 12x + 9} = \frac{2}{2x - 3};$

м) $1 + \frac{45}{x^2 - 8x + 16} = \frac{14}{x - 4};$

Решение. №200 (с. 189)
Алгебра, 11 класс Учебник, авторы: Арефьева Ирина Глебовна, Пирютко Ольга Николаевна, издательство Народная асвета, Минск, 2020, бирюзового цвета, страница 189, номер 200, Решение Алгебра, 11 класс Учебник, авторы: Арефьева Ирина Глебовна, Пирютко Ольга Николаевна, издательство Народная асвета, Минск, 2020, бирюзового цвета, страница 189, номер 200, Решение (продолжение 2)
Решение 2. №200 (с. 189)

а) $\frac{x^2 + 2x}{x + 4} = \frac{8}{x + 4}$

1. Определим область допустимых значений (ОДЗ). Знаменатель дроби не может быть равен нулю, поэтому $x + 4 \neq 0$, откуда $x \neq -4$.

2. Так как знаменатели дробей в обеих частях уравнения одинаковы, мы можем приравнять их числители:

$x^2 + 2x = 8$

$x^2 + 2x - 8 = 0$

3. Решим полученное квадратное уравнение с помощью теоремы Виета. Сумма корней равна $-2$, произведение равно $-8$. Корни уравнения: $x_1 = 2$ и $x_2 = -4$.

4. Проверим найденные корни на соответствие ОДЗ ($x \neq -4$). Корень $x_1 = 2$ удовлетворяет условию. Корень $x_2 = -4$ является посторонним, так как при этом значении знаменатель обращается в ноль.

Ответ: 2

б) $\frac{x^2 - 8x}{5 - x} = \frac{15}{x - 5}$

1. Определим ОДЗ: $5 - x \neq 0$ и $x - 5 \neq 0$. Оба условия дают $x \neq 5$.

2. Заметим, что $x - 5 = -(5 - x)$. Преобразуем правую часть уравнения:

$\frac{x^2 - 8x}{5 - x} = \frac{15}{-(5 - x)}$

$\frac{x^2 - 8x}{5 - x} = -\frac{15}{5 - x}$

3. Умножим обе части уравнения на $(5 - x)$, чтобы избавиться от знаменателя:

$x^2 - 8x = -15$

$x^2 - 8x + 15 = 0$

4. Решим квадратное уравнение. По теореме Виета, сумма корней равна 8, а произведение 15. Корни: $x_1 = 3$ и $x_2 = 5$.

5. Проверим корни на соответствие ОДЗ ($x \neq 5$). Корень $x_1 = 3$ удовлетворяет условию. Корень $x_2 = 5$ является посторонним.

Ответ: 3

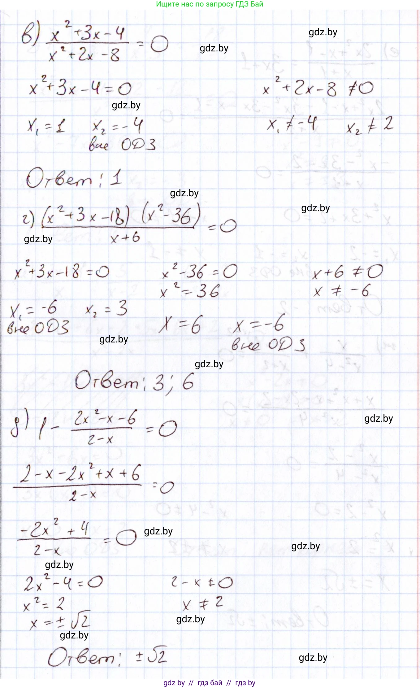
в) $\frac{x^2 + 3x - 4}{x^2 + 2x - 8} = 0$

1. Дробь равна нулю тогда и только тогда, когда ее числитель равен нулю, а знаменатель не равен нулю.

2. Приравняем числитель к нулю:

$x^2 + 3x - 4 = 0$

По теореме Виета, сумма корней равна $-3$, произведение $-4$. Корни: $x_1 = 1$ и $x_2 = -4$.

3. Проверим, при каких значениях $x$ знаменатель не равен нулю. Найдем корни знаменателя:

$x^2 + 2x - 8 = 0$

По теореме Виета, сумма корней равна $-2$, произведение $-8$. Корни: $x_3 = 2$ и $x_4 = -4$.

Таким образом, ОДЗ: $x \neq 2$ и $x \neq -4$.

4. Сравним корни числителя с ОДЗ. Корень $x_1 = 1$ удовлетворяет ОДЗ. Корень $x_2 = -4$ не удовлетворяет ОДЗ, так как при этом значении знаменатель равен нулю.

Ответ: 1

г) $\frac{(x^2 + 3x - 18)(x^2 - 36)}{x + 6} = 0$

1. Дробь равна нулю, когда ее числитель равен нулю, а знаменатель не равен нулю. ОДЗ: $x + 6 \neq 0$, то есть $x \neq -6$.

2. Приравняем числитель к нулю:

$(x^2 + 3x - 18)(x^2 - 36) = 0$

Это произведение равно нулю, если один из множителей равен нулю.

3. Решим каждое уравнение отдельно:

$x^2 + 3x - 18 = 0$. По теореме Виета: $x_1 = 3$, $x_2 = -6$.

$x^2 - 36 = 0 \implies x^2 = 36 \implies x_3 = 6$, $x_4 = -6$.

4. Мы получили три потенциальных корня: $3$, $6$ и $-6$. Проверим их на соответствие ОДЗ ($x \neq -6$). Корень $x = -6$ является посторонним.

Ответ: 3; 6

д) $1 - \frac{2x^2 - x - 6}{2 - x} = 0$

1. Определим ОДЗ: $2 - x \neq 0$, то есть $x \neq 2$.

2. Перенесем дробь в правую часть уравнения:

$1 = \frac{2x^2 - x - 6}{2 - x}$

3. Умножим обе части на $(2 - x)$:

$2 - x = 2x^2 - x - 6$

$2 = 2x^2 - 6$

$8 = 2x^2$

$x^2 = 4$

Отсюда $x_1 = 2$ и $x_2 = -2$.

4. Проверим корни на соответствие ОДЗ ($x \neq 2$). Корень $x_1 = 2$ является посторонним. Корень $x_2 = -2$ удовлетворяет условию.

Ответ: -2

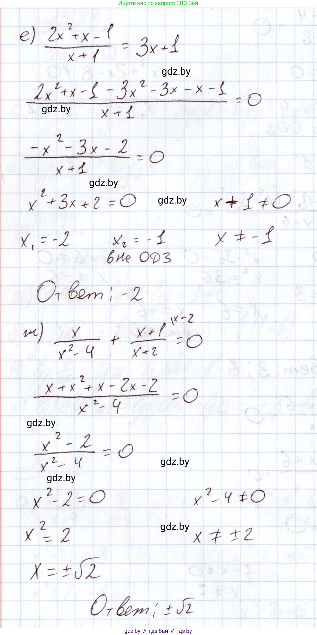
е) $\frac{2x^2 + x - 1}{x + 1} = 3x + 1$

1. Определим ОДЗ: $x + 1 \neq 0$, то есть $x \neq -1$.

2. Умножим обе части уравнения на $(x+1)$:

$2x^2 + x - 1 = (3x + 1)(x + 1)$

$2x^2 + x - 1 = 3x^2 + 3x + x + 1$

$2x^2 + x - 1 = 3x^2 + 4x + 1$

$0 = 3x^2 - 2x^2 + 4x - x + 1 + 1$

$x^2 + 3x + 2 = 0$

3. Решим полученное квадратное уравнение. По теореме Виета, сумма корней равна $-3$, произведение 2. Корни: $x_1 = -1$ и $x_2 = -2$.

4. Проверим корни на соответствие ОДЗ ($x \neq -1$). Корень $x_1 = -1$ является посторонним. Корень $x_2 = -2$ удовлетворяет условию.

Ответ: -2

ж) $\frac{x}{x^2 - 4} + \frac{x + 1}{x + 2} = 0$

1. Разложим знаменатель первой дроби на множители: $x^2 - 4 = (x - 2)(x + 2)$. ОДЗ: $x \neq 2$ и $x \neq -2$.

2. Приведем дроби к общему знаменателю $(x - 2)(x + 2)$:

$\frac{x}{(x - 2)(x + 2)} + \frac{(x + 1)(x - 2)}{(x + 2)(x - 2)} = 0$

$\frac{x + x^2 - 2x + x - 2}{(x - 2)(x + 2)} = 0$

$\frac{x^2 - 2}{(x - 2)(x + 2)} = 0$

3. Дробь равна нулю, когда числитель равен нулю. Приравняем числитель к нулю:

$x^2 - 2 = 0 \implies x^2 = 2 \implies x = \pm\sqrt{2}$.

4. Оба корня $x_1 = \sqrt{2}$ и $x_2 = -\sqrt{2}$ удовлетворяют ОДЗ ($x \neq \pm2$).

Ответ: $\sqrt{2}; -\sqrt{2}$

з) $\frac{x}{x + 3} - \frac{4}{x - 3} = \frac{18}{x^2 - 9}$

1. Разложим знаменатель в правой части: $x^2 - 9 = (x - 3)(x + 3)$. ОДЗ: $x \neq 3$ и $x \neq -3$.

2. Умножим обе части уравнения на общий знаменатель $(x - 3)(x + 3)$:

$x(x - 3) - 4(x + 3) = 18$

$x^2 - 3x - 4x - 12 = 18$

$x^2 - 7x - 30 = 0$

3. Решим квадратное уравнение. По теореме Виета, сумма корней равна 7, произведение $-30$. Корни: $x_1 = 10$ и $x_2 = -3$.

4. Проверим корни на соответствие ОДЗ ($x \neq \pm3$). Корень $x_1 = 10$ подходит. Корень $x_2 = -3$ является посторонним.

Ответ: 10

и) $\frac{3x + 1}{x} + \frac{5}{x - 2} = \frac{6x - 2}{x^2 - 2x}$

1. Разложим знаменатель в правой части: $x^2 - 2x = x(x - 2)$. ОДЗ: $x \neq 0$ и $x \neq 2$.

2. Умножим обе части уравнения на общий знаменатель $x(x - 2)$:

$(3x + 1)(x - 2) + 5x = 6x - 2$

$3x^2 - 6x + x - 2 + 5x = 6x - 2$

$3x^2 - 2 = 6x - 2$

$3x^2 - 6x = 0$

$3x(x - 2) = 0$

3. Корни этого уравнения: $x_1 = 0$ и $x_2 = 2$.

4. Проверим корни на соответствие ОДЗ ($x \neq 0, x \neq 2$). Оба корня являются посторонними, так как они обращают знаменатели исходного уравнения в ноль.

Ответ: корней нет

к) $\frac{x - 2}{x^2 - x} + \frac{1}{x^2 + x} = \frac{2}{x^2 - 1}$

1. Разложим знаменатели на множители: $x^2 - x = x(x - 1)$, $x^2 + x = x(x + 1)$, $x^2 - 1 = (x - 1)(x + 1)$.

ОДЗ: $x \neq 0$, $x \neq 1$, $x \neq -1$.

2. Общий знаменатель $x(x - 1)(x + 1)$. Умножим на него обе части уравнения:

$(x - 2)(x + 1) + 1(x - 1) = 2x$

$x^2 + x - 2x - 2 + x - 1 = 2x$

$x^2 - 3 = 2x$

$x^2 - 2x - 3 = 0$

3. Решим квадратное уравнение. По теореме Виета, сумма корней равна 2, произведение $-3$. Корни: $x_1 = 3$ и $x_2 = -1$.

4. Проверим корни на соответствие ОДЗ ($x \neq 0, \pm1$). Корень $x_1 = 3$ подходит. Корень $x_2 = -1$ является посторонним.

Ответ: 3

л) $\frac{x + 3}{4x^2 - 9} - \frac{3 - x}{4x^2 + 12x + 9} = \frac{2}{2x - 3}$

1. Разложим знаменатели на множители, используя формулы разности квадратов и квадрата суммы:$4x^2 - 9 = (2x - 3)(2x + 3)$$4x^2 + 12x + 9 = (2x + 3)^2$

ОДЗ: $2x - 3 \neq 0 \implies x \neq \frac{3}{2}$ и $2x + 3 \neq 0 \implies x \neq -\frac{3}{2}$.

2. Уравнение принимает вид:

$\frac{x + 3}{(2x - 3)(2x + 3)} - \frac{3 - x}{(2x + 3)^2} = \frac{2}{2x - 3}$

Общий знаменатель: $(2x - 3)(2x + 3)^2$. Умножим на него обе части:

$(x + 3)(2x + 3) - (3 - x)(2x - 3) = 2(2x + 3)^2$

$(2x^2 + 3x + 6x + 9) - (6x - 9 - 2x^2 + 3x) = 2(4x^2 + 12x + 9)$

$(2x^2 + 9x + 9) - (-2x^2 + 9x - 9) = 8x^2 + 24x + 18$

$2x^2 + 9x + 9 + 2x^2 - 9x + 9 = 8x^2 + 24x + 18$

$4x^2 + 18 = 8x^2 + 24x + 18$

$0 = 4x^2 + 24x$

$4x(x + 6) = 0$

3. Корни: $x_1 = 0$ и $x_2 = -6$.

4. Оба корня удовлетворяют ОДЗ ($x \neq \pm \frac{3}{2}$).

Ответ: 0; -6

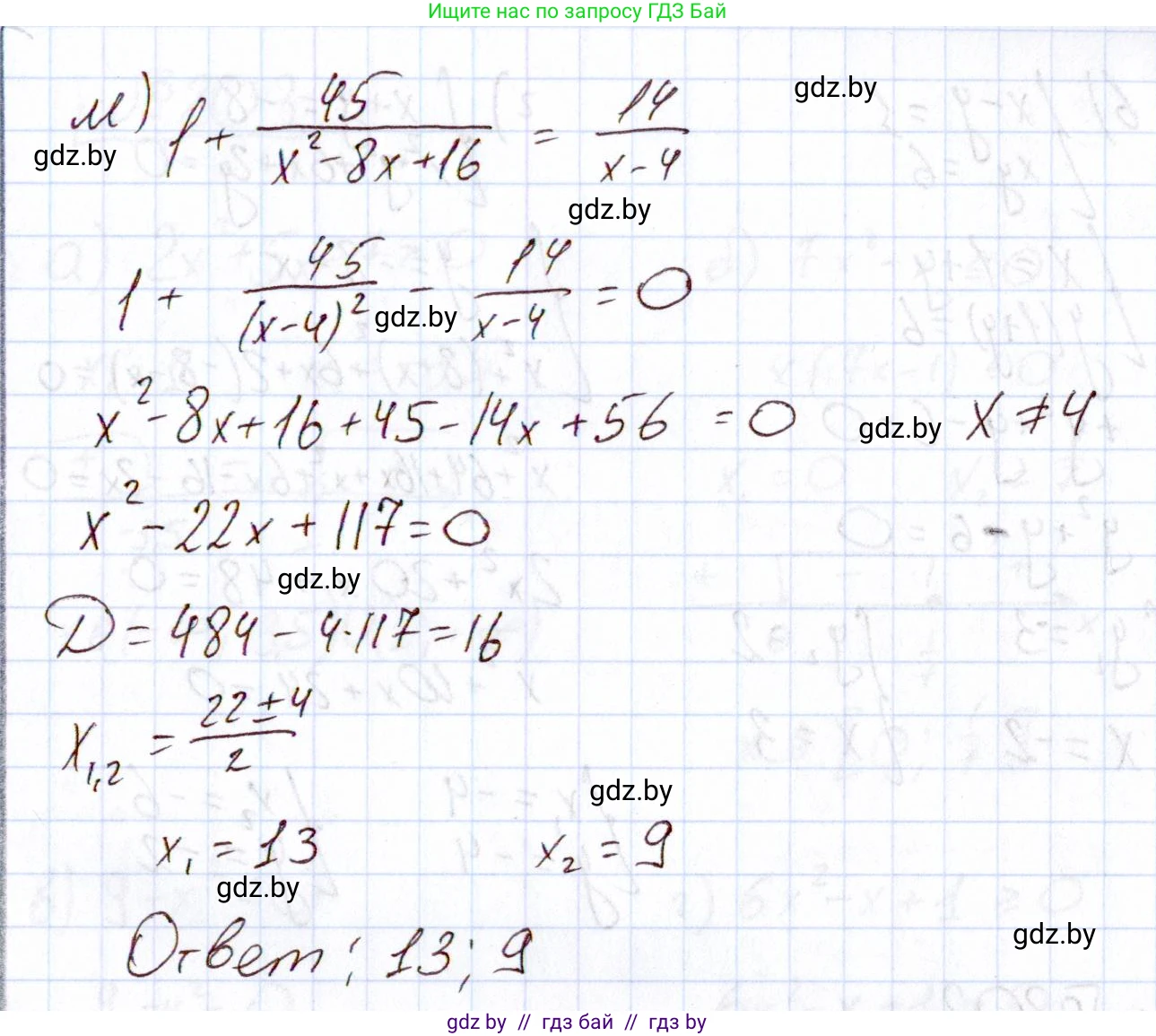
м) $1 + \frac{45}{x^2 - 8x + 16} = \frac{14}{x - 4}$

1. Заметим, что знаменатель второй дроби является полным квадратом: $x^2 - 8x + 16 = (x - 4)^2$.

ОДЗ: $x - 4 \neq 0 \implies x \neq 4$.

2. Уравнение принимает вид:

$1 + \frac{45}{(x - 4)^2} = \frac{14}{x - 4}$

Умножим обе части на общий знаменатель $(x - 4)^2$:

$1 \cdot (x - 4)^2 + 45 = 14(x - 4)$

$(x^2 - 8x + 16) + 45 = 14x - 56$

$x^2 - 8x + 61 = 14x - 56$

$x^2 - 22x + 117 = 0$

3. Решим квадратное уравнение. Воспользуемся формулой для корней:$D = (-22)^2 - 4 \cdot 1 \cdot 117 = 484 - 468 = 16 = 4^2$$x = \frac{22 \pm 4}{2}$$x_1 = \frac{22 + 4}{2} = 13$$x_2 = \frac{22 - 4}{2} = 9$

4. Оба корня $x_1 = 13$ и $x_2 = 9$ удовлетворяют ОДЗ ($x \neq 4$).

Ответ: 9; 13

Помогло решение? Оставьте отзыв в комментариях ниже.

Присоединяйтесь к Телеграм-группе @gdz_by_belarus

Присоединиться

Мы подготовили для вас ответ c подробным объяснением домашего задания по алгебре за 11 класс, для упражнения номер 200 расположенного на странице 189 к учебнику 2020 года издания для учащихся школ и гимназий.

Теперь на нашем сайте ГДЗ.ТОП вы всегда легко и бесплатно найдёте условие с правильным ответом на вопрос «Как решить ДЗ» и «Как сделать» задание по алгебре к упражнению №200 (с. 189), авторов: Арефьева (Ирина Глебовна), Пирютко (Ольга Николаевна), учебного пособия издательства Народная асвета.