Номер 204, страница 190 - гдз по алгебре 11 класс учебник Арефьева, Пирютко
Авторы: Арефьева И. Г., Пирютко О. Н.
Тип: Учебник
Издательство: Народная асвета
Год издания: 2020 - 2026
Цвет обложки: бирюзовый, зелёный с графиком
ISBN: 978-985-03-3165-6
Популярные ГДЗ в 11 классе
Упражнения для итогового повторения. Выражения и их преобразования - номер 204, страница 190.
№204 (с. 190)
Условие. №204 (с. 190)
скриншот условия
204. Решите неравенство методом интервалов:
а) $ \frac{x-3}{x+1} > 0; $
б) $ \frac{(x-8)(x+2)}{x-1} \le 0; $
В) $ \frac{x^2+6x+5}{x+4} < 0; $
Г) $ \frac{(x-8)^2(x-5)}{x-1} \le 0; $
Д) $ \frac{3-8x}{x+1} \le 1; $
е) $ \frac{x^2+2x+3}{x^2-4x+3} > -3; $
Ж) $ \frac{x-10}{x^2+5} < -\frac{1}{2}; $
З) $ \frac{x-1}{3x+3} \le \frac{x+1}{2x-3}; $
И) $ \frac{1}{x^2+2x-3} \ge \frac{1}{2x+1}. $
Решение. №204 (с. 190)
Решение 2. №204 (с. 190)
а) $\frac{x-3}{x+1} > 0$
1. Находим нули числителя и знаменателя. Это точки, в которых выражение может поменять знак.
Нуль числителя: $x-3=0 \implies x=3$.
Нуль знаменателя: $x+1=0 \implies x=-1$.
Так как знаменатель не может быть равен нулю, точка $x=-1$ всегда будет "выколотой".
2. Отмечаем точки на числовой прямой. Так как неравенство строгое ($>$), обе точки будут выколотыми.
+ - +---o--------o---> -1 3 x
3. Определяем знаки выражения на получившихся интервалах: $(-\infty; -1)$, $(-1; 3)$, $(3; +\infty)$.
- Для $x \in (3; +\infty)$, возьмем $x=4$: $\frac{4-3}{4+1} = \frac{1}{5} > 0$. Знак "+".
- Для $x \in (-1; 3)$, возьмем $x=0$: $\frac{0-3}{0+1} = -3 < 0$. Знак "-".
- Для $x \in (-\infty; -1)$, возьмем $x=-2$: $\frac{-2-3}{-2+1} = \frac{-5}{-1} = 5 > 0$. Знак "+".
4. Выбираем интервалы, где выражение больше нуля (знак "+").
Ответ: $x \in (-\infty; -1) \cup (3; +\infty)$.
б) $\frac{(x-8)(x+2)}{x-1} \le 0$
1. Находим нули числителя и знаменателя.
Нули числителя: $x-8=0 \implies x=8$; $x+2=0 \implies x=-2$.
Нуль знаменателя: $x-1=0 \implies x=1$.
2. Отмечаем точки на числовой прямой. Неравенство нестрогое ($\le$), поэтому нули числителя ($x=8, x=-2$) будут закрашенными точками. Нуль знаменателя ($x=1$) всегда выколотый.
- + - +---•--------o--------•---> -2 1 8 x
3. Определяем знаки на интервалах: $(-\infty; -2]$, $[-2; 1)$, $(1; 8]$, $[8; +\infty)$.
- Для $x=9$: $\frac{(+)(+)}{(+)} > 0$.
- Для $x=2$: $\frac{(-)(+)}{(+)} < 0$.
- Для $x=0$: $\frac{(-)(+)}{(-)} > 0$.
- Для $x=-3$: $\frac{(-)(-)}{(-)} < 0$.
4. Выбираем интервалы, где выражение меньше или равно нулю (знак "-").
Ответ: $x \in (-\infty; -2] \cup (1; 8]$.
в) $\frac{x^2+6x+5}{x+4} < 0$
1. Разложим числитель на множители. Решим уравнение $x^2+6x+5=0$. По теореме Виета, корни $x_1=-1$ и $x_2=-5$.
Тогда $x^2+6x+5 = (x+1)(x+5)$.
Неравенство принимает вид: $\frac{(x+1)(x+5)}{x+4} < 0$.
2. Находим нули числителя и знаменателя.
Нули числителя: $x=-1, x=-5$.
Нуль знаменателя: $x=-4$.
3. Отмечаем точки на числовой прямой. Неравенство строгое ($<$), поэтому все точки выколотые.
- + - +---o--------o--------o---> -5 -4 -1 x
4. Определяем знаки на интервалах.
- Для $x=0$: $\frac{(+)(+)}{(+)} > 0$.
- Для $x=-2$: $\frac{(-)(+)}{(+)} < 0$.
- Для $x=-4.5$: $\frac{(-)(+)}{(-)} > 0$.
- Для $x=-6$: $\frac{(-)(-)}{(-)} < 0$.
5. Выбираем интервалы, где выражение меньше нуля (знак "-").
Ответ: $x \in (-\infty; -5) \cup (-4; -1)$.
г) $\frac{(x-8)^2(x-5)}{x-1} \le 0$
1. Находим нули числителя и знаменателя.
Нули числителя: $(x-8)^2=0 \implies x=8$ (корень кратности 2); $x-5=0 \implies x=5$.
Нуль знаменателя: $x-1=0 \implies x=1$.
2. Отмечаем точки на числовой прямой. Нули числителя ($x=5, x=8$) - закрашенные, нуль знаменателя ($x=1$) - выколотый.
Множитель $(x-8)^2$ всегда неотрицателен. При переходе через точку $x=8$ знак выражения не меняется.
+ - + +---o--------•--------•---> 1 5 8 x
3. Определяем знаки на интервалах.
- Для $x=9$: $\frac{(+)(+)}{(+)} > 0$.
- Для $x=6$: $\frac{(+)(+)}{(+)} > 0$.
- Для $x=2$: $\frac{(+)(-)}{(+)} < 0$.
- Для $x=0$: $\frac{(+)(-)}{(-)} > 0$.
4. Выбираем интервалы, где выражение меньше нуля (знак "-"), и добавляем точки, где оно равно нулю.
Выражение меньше нуля на интервале $(1; 5)$.
Выражение равно нулю при $x=5$ и $x=8$.
Объединяя, получаем $(1; 5] \cup \{8\}$.
Ответ: $x \in (1; 5] \cup \{8\}$.
д) $\frac{3-8x}{x+1} \le 1$
1. Перенесем все в левую часть и приведем к общему знаменателю.
$\frac{3-8x}{x+1} - 1 \le 0$
$\frac{3-8x - (x+1)}{x+1} \le 0$
$\frac{3-8x-x-1}{x+1} \le 0$
$\frac{2-9x}{x+1} \le 0$
2. Умножим на -1 и сменим знак неравенства, чтобы коэффициент при $x$ был положительным.
$\frac{9x-2}{x+1} \ge 0$
3. Находим нули числителя и знаменателя.
Нуль числителя: $9x-2=0 \implies x=2/9$.
Нуль знаменателя: $x+1=0 \implies x=-1$.
4. Отмечаем точки на прямой. $x=2/9$ - закрашенная, $x=-1$ - выколотая.
+ - +---o--------•---> -1 2/9 x
5. Определяем знаки для $\frac{9x-2}{x+1}$ на интервалах.
- Для $x=1$: $\frac{+}{+} > 0$.
- Для $x=0$: $\frac{-}{+} < 0$.
- Для $x=-2$: $\frac{-}{-} > 0$.
6. Выбираем интервалы, где выражение больше или равно нулю (знак "+").
Ответ: $x \in (-\infty; -1) \cup [2/9; +\infty)$.
е) $\frac{x^2+2x+3}{x^2-4x+3} > -3$
1. Перенесем все в левую часть и приведем к общему знаменателю.
$\frac{x^2+2x+3}{x^2-4x+3} + 3 > 0$
$\frac{x^2+2x+3 + 3(x^2-4x+3)}{x^2-4x+3} > 0$
$\frac{x^2+2x+3 + 3x^2-12x+9}{x^2-4x+3} > 0$
$\frac{4x^2-10x+12}{x^2-4x+3} > 0$
2. Рассмотрим числитель $4x^2-10x+12$. Найдем его дискриминант: $D = (-10)^2 - 4 \cdot 4 \cdot 12 = 100 - 192 = -92$.
Так как $D < 0$ и старший коэффициент $4>0$, то числитель $4x^2-10x+12$ всегда положителен при любом $x$.
3. Поскольку числитель всегда положителен, знак дроби зависит только от знака знаменателя. Неравенство сводится к:
$x^2-4x+3 > 0$
4. Решим уравнение $x^2-4x+3=0$. По теореме Виета, корни $x_1=1, x_2=3$.
Неравенство имеет вид $(x-1)(x-3) > 0$.
5. Это квадратичная парабола с ветвями вверх, она положительна вне корней.
Ответ: $x \in (-\infty; 1) \cup (3; +\infty)$.
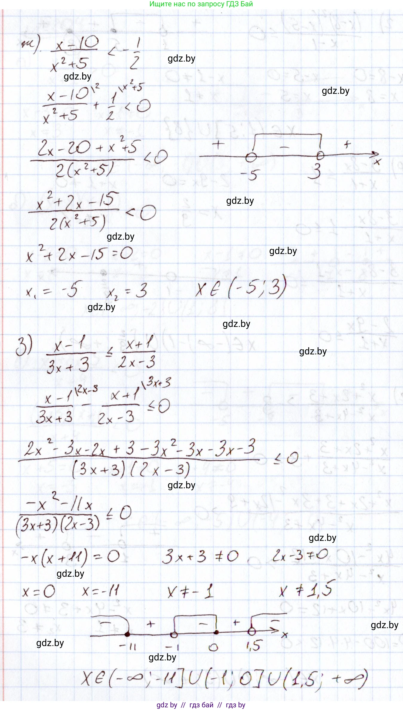
ж) $\frac{x-10}{x^2+5} < -\frac{1}{2}$
1. Перенесем все в левую часть и приведем к общему знаменателю.
$\frac{x-10}{x^2+5} + \frac{1}{2} < 0$
$\frac{2(x-10) + (x^2+5)}{2(x^2+5)} < 0$
$\frac{2x-20+x^2+5}{2(x^2+5)} < 0$
$\frac{x^2+2x-15}{2(x^2+5)} < 0$
2. Знаменатель $2(x^2+5)$ всегда положителен, так как $x^2 \ge 0$, а значит $x^2+5 > 0$.
Следовательно, знак дроби зависит только от знака числителя.
3. Решаем неравенство $x^2+2x-15 < 0$.
Находим корни уравнения $x^2+2x-15=0$. По теореме Виета, $x_1=-5, x_2=3$.
Неравенство имеет вид $(x+5)(x-3) < 0$.
4. Это квадратичная парабола с ветвями вверх, она отрицательна между корнями.
Ответ: $x \in (-5; 3)$.
з) $\frac{x-1}{3x+3} \le \frac{x+1}{2x-3}$
1. Перенесем все в левую часть. Область допустимых значений (ОДЗ): $x \ne -1, x \ne 3/2$.
$\frac{x-1}{3(x+1)} - \frac{x+1}{2x-3} \le 0$
2. Приведем к общему знаменателю $3(x+1)(2x-3)$.
$\frac{(x-1)(2x-3) - 3(x+1)^2}{3(x+1)(2x-3)} \le 0$
$\frac{(2x^2-5x+3) - 3(x^2+2x+1)}{3(x+1)(2x-3)} \le 0$
$\frac{2x^2-5x+3 - 3x^2-6x-3}{3(x+1)(2x-3)} \le 0$
$\frac{-x^2-11x}{3(x+1)(2x-3)} \le 0$
3. Умножим на -1 и сменим знак неравенства.
$\frac{x^2+11x}{3(x+1)(2x-3)} \ge 0$
$\frac{x(x+11)}{3(x+1)(2x-3)} \ge 0$
4. Нули числителя: $x=0, x=-11$ (закрашенные точки).
Нули знаменателя: $x=-1, x=3/2$ (выколотые точки).
Точки на прямой: -11, -1, 0, 3/2.
+ - + - +---•---o----•----o----> -11 -1 0 3/2 x
5. Определяем знаки на интервалах. Возьмем $x=2$: $\frac{(+)(+)}{(+)(+)} > 0$. Далее знаки чередуются.
Выбираем интервалы со знаком "+".
Ответ: $x \in (-\infty; -11] \cup (-1; 0] \cup (3/2; +\infty)$.
и) $\frac{1}{x^2+2x-3} \ge \frac{1}{2x+1}$
1. Перенесем все в левую часть.
$\frac{1}{x^2+2x-3} - \frac{1}{2x+1} \ge 0$
Разложим знаменатель $x^2+2x-3 = (x+3)(x-1)$. ОДЗ: $x \ne -3, x \ne 1, x \ne -1/2$.
$\frac{1}{(x+3)(x-1)} - \frac{1}{2x+1} \ge 0$
2. Приведем к общему знаменателю $(x+3)(x-1)(2x+1)$.
$\frac{2x+1 - (x+3)(x-1)}{(x+3)(x-1)(2x+1)} \ge 0$
$\frac{2x+1 - (x^2+2x-3)}{(x+3)(x-1)(2x+1)} \ge 0$
$\frac{2x+1-x^2-2x+3}{(x+3)(x-1)(2x+1)} \ge 0$
$\frac{4-x^2}{(x+3)(x-1)(2x+1)} \ge 0$
3. Умножим на -1, сменим знак неравенства и разложим числитель.
$\frac{x^2-4}{(x+3)(x-1)(2x+1)} \le 0$
$\frac{(x-2)(x+2)}{(x+3)(x-1)(2x+1)} \le 0$
4. Нули числителя: $x=2, x=-2$ (закрашенные точки).
Нули знаменателя: $x=-3, x=1, x=-1/2$ (выколотые точки).
Точки на прямой: -3, -2, -1/2, 1, 2.
- + - + - +---o----•----o----o----•----> -3 -2 -1/2 1 2 x
5. Определяем знаки на интервалах. Возьмем $x=3$: $\frac{(+)(+)}{(+)(+)(+)} > 0$. Далее знаки чередуются.
Выбираем интервалы со знаком "-" и закрашенные точки.
Ответ: $x \in (-\infty; -3) \cup [-2; -1/2) \cup (1; 2]$.
Другие задания:
Помогло решение? Оставьте отзыв в комментариях ниже.
Присоединяйтесь к Телеграм-группе @gdz_by_belarus
ПрисоединитьсяМы подготовили для вас ответ c подробным объяснением домашего задания по алгебре за 11 класс, для упражнения номер 204 расположенного на странице 190 к учебнику 2020 года издания для учащихся школ и гимназий.
Теперь на нашем сайте ГДЗ.ТОП вы всегда легко и бесплатно найдёте условие с правильным ответом на вопрос «Как решить ДЗ» и «Как сделать» задание по алгебре к упражнению №204 (с. 190), авторов: Арефьева (Ирина Глебовна), Пирютко (Ольга Николаевна), учебного пособия издательства Народная асвета.