Номер 3.147, страница 139 - гдз по алгебре 11 класс учебник Арефьева, Пирютко

Алгебра, 11 класс Учебник, авторы: Арефьева Ирина Глебовна, Пирютко Ольга Николаевна, издательство Народная асвета, Минск, 2020, бирюзового цвета

Авторы: Арефьева И. Г., Пирютко О. Н.

Тип: Учебник

Издательство: Народная асвета

Год издания: 2020 - 2026

Цвет обложки: бирюзовый, зелёный с графиком

ISBN: 978-985-03-3165-6

Популярные ГДЗ в 11 классе

Глава 3. Логарифмическая функция. Параграф 9. Логарифмические уравнения - номер 3.147, страница 139.

№3.147 (с. 139)
Условие. №3.147 (с. 139)
скриншот условия
Алгебра, 11 класс Учебник, авторы: Арефьева Ирина Глебовна, Пирютко Ольга Николаевна, издательство Народная асвета, Минск, 2020, бирюзового цвета, страница 139, номер 3.147, Условие

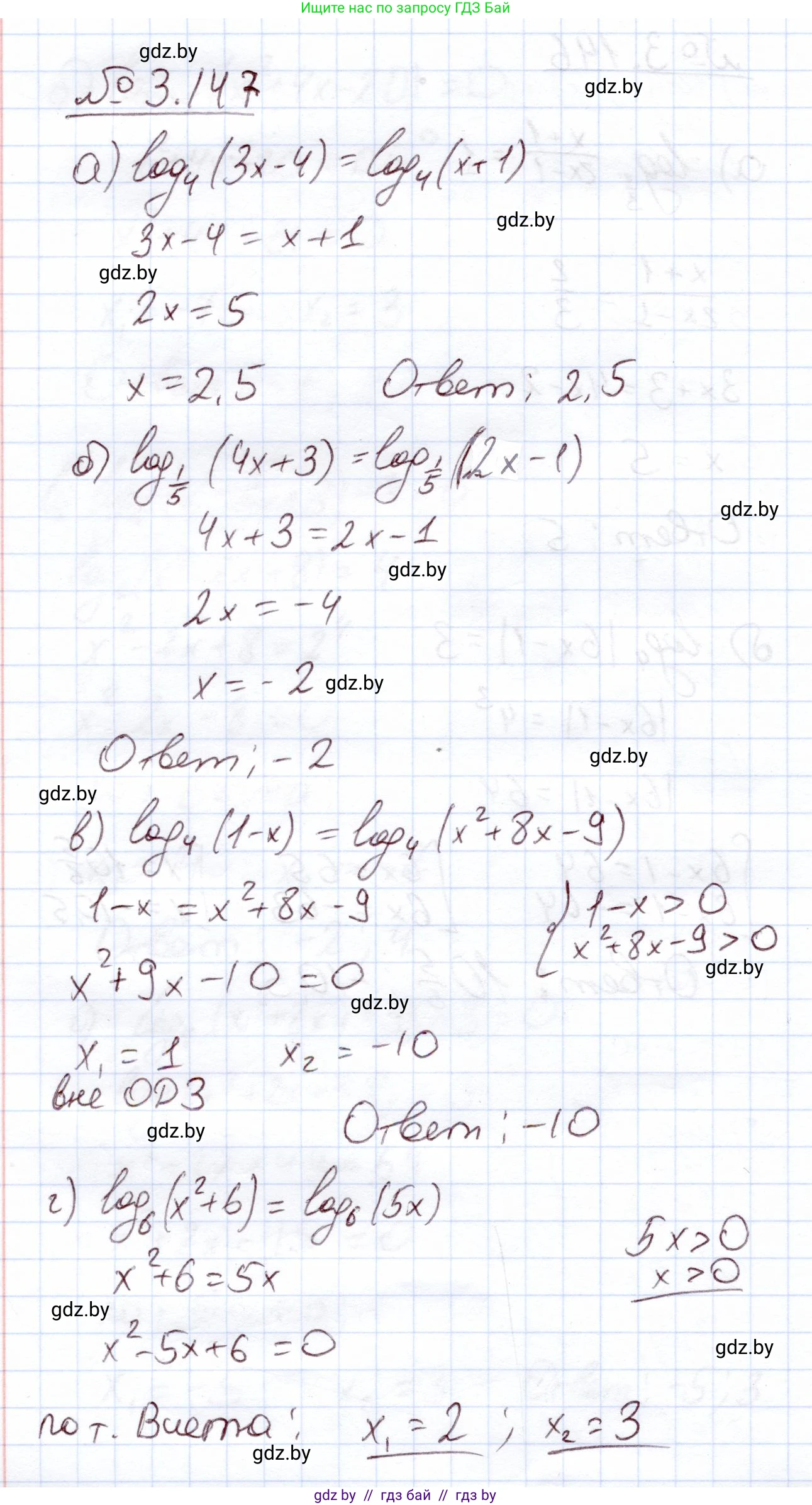
3.147. Решите уравнение, используя свойство монотонности логарифмической функции:

а) $\log_4(3x - 4) = \log_4(x + 1);$

б) $\log_{\frac{1}{5}}(4x + 3) = \log_{\frac{1}{5}}(2x - 1);$

в) $\log_4(1 - x) = \log_4(x^2 + 8x - 9);$

г) $\log_6(x^2 + 6) = \log_6(5x).$

Решение. №3.147 (с. 139)
Алгебра, 11 класс Учебник, авторы: Арефьева Ирина Глебовна, Пирютко Ольга Николаевна, издательство Народная асвета, Минск, 2020, бирюзового цвета, страница 139, номер 3.147, Решение
Решение 2. №3.147 (с. 139)

а) $\log_4 (3x - 4) = \log_4 (x + 1)$

Логарифмическая функция $y = \log_a(t)$ является монотонной. Это означает, что если $\log_a(f(x)) = \log_a(g(x))$, то $f(x) = g(x)$ при условии, что аргументы логарифмов положительны. В данном случае основание логарифма $a=4 > 1$, функция является возрастающей.

Приравняем аргументы логарифмов:

$3x - 4 = x + 1$

$3x - x = 1 + 4$

$2x = 5$

$x = 2.5$

Теперь необходимо проверить, принадлежит ли найденный корень области допустимых значений (ОДЗ). Аргументы логарифмов должны быть строго больше нуля:

$\begin{cases} 3x - 4 > 0 \\ x + 1 > 0 \end{cases} \Rightarrow \begin{cases} 3x > 4 \\ x > -1 \end{cases} \Rightarrow \begin{cases} x > \frac{4}{3} \\ x > -1 \end{cases}$

Пересечением этих условий является $x > \frac{4}{3}$.

Проверим, удовлетворяет ли корень $x = 2.5$ этому условию. Так как $2.5 > \frac{4}{3}$ (поскольку $2.5 > 1.33...$), корень принадлежит ОДЗ.

Ответ: $2.5$

б) $\log_{\frac{1}{5}} (4x + 3) = \log_{\frac{1}{5}} (2x - 1)$

Основание логарифма $a = \frac{1}{5}$, где $0 < a < 1$. Логарифмическая функция является монотонно убывающей, но свойство единственности (если логарифмы равны, то и их аргументы равны) сохраняется.

Приравняем аргументы:

$4x + 3 = 2x - 1$

$4x - 2x = -1 - 3$

$2x = -4$

$x = -2$

Найдем ОДЗ, при которой оба аргумента положительны:

$\begin{cases} 4x + 3 > 0 \\ 2x - 1 > 0 \end{cases} \Rightarrow \begin{cases} 4x > -3 \\ 2x > 1 \end{cases} \Rightarrow \begin{cases} x > -\frac{3}{4} \\ x > \frac{1}{2} \end{cases}$

Пересечением этих условий является $x > \frac{1}{2}$.

Проверим найденный корень $x = -2$. Он не удовлетворяет условию $x > \frac{1}{2}$, так как $-2 < \frac{1}{2}$. Следовательно, $x = -2$ является посторонним корнем, и уравнение не имеет решений.

Ответ: нет решений

в) $\log_4 (1 - x) = \log_4 (x^2 + 8x - 9)$

Основание логарифма $a=4>1$. В силу монотонности логарифмической функции приравниваем аргументы:

$1 - x = x^2 + 8x - 9$

$x^2 + 8x + x - 9 - 1 = 0$

$x^2 + 9x - 10 = 0$

Решим полученное квадратное уравнение. По теореме Виета, сумма корней $x_1 + x_2 = -9$ и произведение корней $x_1 \cdot x_2 = -10$. Отсюда находим корни: $x_1 = 1$, $x_2 = -10$.

Найдем ОДЗ:

$\begin{cases} 1 - x > 0 \\ x^2 + 8x - 9 > 0 \end{cases}$

Из первого неравенства получаем $x < 1$.

Для решения второго неравенства $x^2 + 8x - 9 > 0$ найдем корни соответствующего уравнения $x^2 + 8x - 9 = 0$. Корни: $x_1 = 1$, $x_2 = -9$. Так как ветви параболы $y=x^2 + 8x - 9$ направлены вверх, неравенство выполняется при $x \in (-\infty; -9) \cup (1; +\infty)$.

Общая область допустимых значений является пересечением решений $x < 1$ и $(x < -9 \text{ или } x > 1)$. Следовательно, ОДЗ: $x < -9$.

Проверим найденные корни уравнения:

1. $x_1 = 1$. Этот корень не удовлетворяет ОДЗ, так как $1 \not< -9$.

2. $x_2 = -10$. Этот корень удовлетворяет ОДЗ, так как $-10 < -9$.

Таким образом, решением уравнения является только $x = -10$.

Ответ: $-10$

г) $\log_6 (x^2 + 6) = \log_6 (5x)$

Основание логарифма $a=6>1$. Приравниваем аргументы на основании свойства монотонности:

$x^2 + 6 = 5x$

$x^2 - 5x + 6 = 0$

Решим квадратное уравнение. По теореме Виета, сумма корней $x_1 + x_2 = 5$ и произведение $x_1 \cdot x_2 = 6$. Корни уравнения: $x_1 = 2$, $x_2 = 3$.

Найдем ОДЗ:

$\begin{cases} x^2 + 6 > 0 \\ 5x > 0 \end{cases}$

Первое неравенство $x^2 + 6 > 0$ выполняется для любого действительного значения $x$, так как $x^2 \ge 0$, а значит $x^2+6 \ge 6 > 0$.

Второе неравенство $5x > 0$ дает $x > 0$.

Таким образом, ОДЗ уравнения: $x > 0$.

Проверим найденные корни:

1. $x_1 = 2$. Этот корень удовлетворяет ОДЗ ($2 > 0$).

2. $x_2 = 3$. Этот корень также удовлетворяет ОДЗ ($3 > 0$).

Оба корня являются решениями исходного уравнения.

Ответ: $2; 3$

Помогло решение? Оставьте отзыв в комментариях ниже.

Присоединяйтесь к Телеграм-группе @gdz_by_belarus

Присоединиться

Мы подготовили для вас ответ c подробным объяснением домашего задания по алгебре за 11 класс, для упражнения номер 3.147 расположенного на странице 139 к учебнику 2020 года издания для учащихся школ и гимназий.

Теперь на нашем сайте ГДЗ.ТОП вы всегда легко и бесплатно найдёте условие с правильным ответом на вопрос «Как решить ДЗ» и «Как сделать» задание по алгебре к упражнению №3.147 (с. 139), авторов: Арефьева (Ирина Глебовна), Пирютко (Ольга Николаевна), учебного пособия издательства Народная асвета.