Номер 3.154, страница 140 - гдз по алгебре 11 класс учебник Арефьева, Пирютко

Алгебра, 11 класс Учебник, авторы: Арефьева Ирина Глебовна, Пирютко Ольга Николаевна, издательство Народная асвета, Минск, 2020, бирюзового цвета

Авторы: Арефьева И. Г., Пирютко О. Н.

Тип: Учебник

Издательство: Народная асвета

Год издания: 2020 - 2026

Цвет обложки: бирюзовый, зелёный с графиком

ISBN: 978-985-03-3165-6

Популярные ГДЗ в 11 классе

Глава 3. Логарифмическая функция. Параграф 9. Логарифмические уравнения - номер 3.154, страница 140.

№3.154 (с. 140)
Условие. №3.154 (с. 140)
скриншот условия
Алгебра, 11 класс Учебник, авторы: Арефьева Ирина Глебовна, Пирютко Ольга Николаевна, издательство Народная асвета, Минск, 2020, бирюзового цвета, страница 140, номер 3.154, Условие

3.154. Решите логарифмическое уравнение:

a) $\log_2 (x + 5) = 2\log_2 (x + 3);$

б) $2\log_{0.5} (x - 2) = \log_{0.5} (x + 54);$

в) $\log_{\sqrt{3}} (x - 3) = \log_3 (x - 1);$

г) $\log_{\sqrt{5}} (x - 2) = \log_5 (2x - 1);$

д) $\log_3 (x - 3) = \log_9 (x - 1);$

е) $\log_{25} (16 - 5x) = \log_5 (2x - 5).$

Решение. №3.154 (с. 140)
Алгебра, 11 класс Учебник, авторы: Арефьева Ирина Глебовна, Пирютко Ольга Николаевна, издательство Народная асвета, Минск, 2020, бирюзового цвета, страница 140, номер 3.154, Решение Алгебра, 11 класс Учебник, авторы: Арефьева Ирина Глебовна, Пирютко Ольга Николаевна, издательство Народная асвета, Минск, 2020, бирюзового цвета, страница 140, номер 3.154, Решение (продолжение 2)
Решение 2. №3.154 (с. 140)

а)

Исходное уравнение: $\log_2 (x + 5) = 2\log_2 (x + 3)$.

Найдем область допустимых значений (ОДЗ). Аргументы логарифмов должны быть строго положительными:

$\begin{cases} x + 5 > 0 \\ x + 3 > 0 \end{cases} \Rightarrow \begin{cases} x > -5 \\ x > -3 \end{cases}$

Пересечением этих неравенств является $x > -3$.

Преобразуем правую часть уравнения, используя свойство логарифма $n\log_a b = \log_a b^n$:

$\log_2 (x + 5) = \log_2 (x + 3)^2$.

Так как основания логарифмов равны, мы можем приравнять их аргументы:

$x + 5 = (x + 3)^2$

$x + 5 = x^2 + 6x + 9$

$x^2 + 5x + 4 = 0$.

Решаем полученное квадратное уравнение. По теореме Виета, сумма корней равна -5, а произведение равно 4. Корни уравнения: $x_1 = -1$ и $x_2 = -4$.

Проверяем корни на соответствие ОДЗ ($x > -3$):

Корень $x_1 = -1$ удовлетворяет условию, так как $-1 > -3$.

Корень $x_2 = -4$ не удовлетворяет условию, так как $-4 \ngtr -3$.

Следовательно, решением уравнения является $x = -1$.

Ответ: $-1$.

б)

Исходное уравнение: $2\log_{0.5} (x - 2) = \log_{0.5} (x + 54)$.

ОДЗ: $\begin{cases} x - 2 > 0 \\ x + 54 > 0 \end{cases} \Rightarrow \begin{cases} x > 2 \\ x > -54 \end{cases} \Rightarrow x > 2$.

Преобразуем левую часть уравнения: $\log_{0.5} (x - 2)^2 = \log_{0.5} (x + 54)$.

Приравниваем аргументы логарифмов:

$(x - 2)^2 = x + 54$

$x^2 - 4x + 4 = x + 54$

$x^2 - 5x - 50 = 0$.

Решаем квадратное уравнение. Дискриминант $D = b^2 - 4ac = (-5)^2 - 4 \cdot 1 \cdot (-50) = 25 + 200 = 225 = 15^2$.

Корни уравнения: $x_1 = \frac{-b + \sqrt{D}}{2a} = \frac{5 + 15}{2} = 10$ и $x_2 = \frac{-b - \sqrt{D}}{2a} = \frac{5 - 15}{2} = -5$.

Проверяем корни по ОДЗ ($x > 2$):

$x_1 = 10$ удовлетворяет условию ($10 > 2$).

$x_2 = -5$ не удовлетворяет условию ($-5 \ngtr 2$).

Ответ: $10$.

в)

Исходное уравнение: $\log_{\sqrt{3}} (x - 3) = \log_3 (x - 1)$.

ОДЗ: $\begin{cases} x - 3 > 0 \\ x - 1 > 0 \end{cases} \Rightarrow \begin{cases} x > 3 \\ x > 1 \end{cases} \Rightarrow x > 3$.

Приведем логарифмы к одному основанию $3$. Используем формулу $\log_{a^k} b = \frac{1}{k}\log_a b$.

$\log_{\sqrt{3}} (x - 3) = \log_{3^{1/2}} (x - 3) = \frac{1}{1/2}\log_3 (x - 3) = 2\log_3 (x - 3)$.

Уравнение принимает вид: $2\log_3 (x - 3) = \log_3 (x - 1)$.

$\log_3 (x - 3)^2 = \log_3 (x - 1)$.

Приравниваем аргументы: $(x - 3)^2 = x - 1$.

$x^2 - 6x + 9 = x - 1$

$x^2 - 7x + 10 = 0$.

По теореме Виета, корни: $x_1 = 5$, $x_2 = 2$.

Проверяем корни по ОДЗ ($x > 3$):

$x_1 = 5$ удовлетворяет условию ($5 > 3$).

$x_2 = 2$ не удовлетворяет условию ($2 \ngtr 3$).

Ответ: $5$.

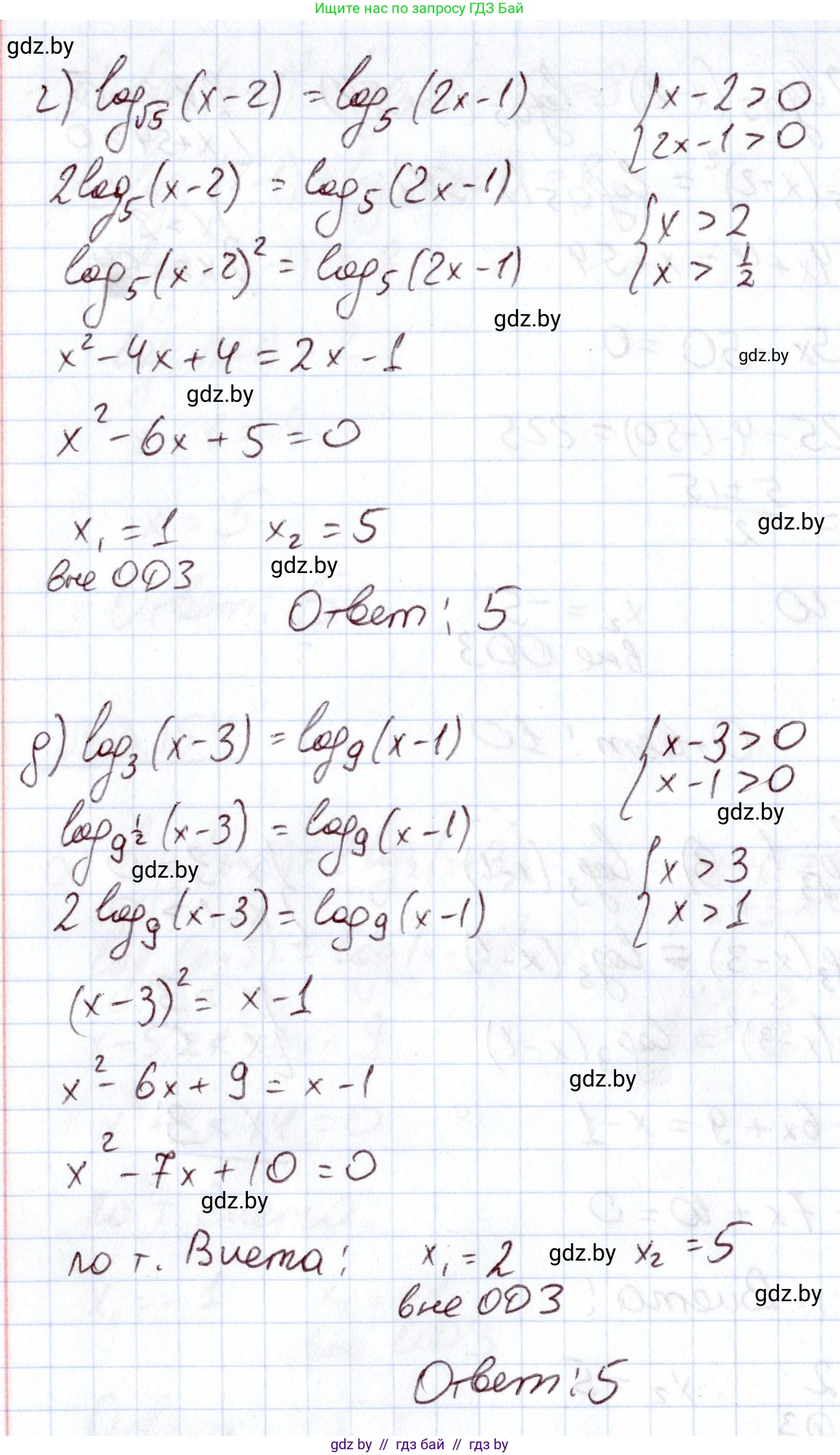
г)

Исходное уравнение: $\log_{\sqrt{5}} (x - 2) = \log_5 (2x - 1)$.

ОДЗ: $\begin{cases} x - 2 > 0 \\ 2x - 1 > 0 \end{cases} \Rightarrow \begin{cases} x > 2 \\ x > 0.5 \end{cases} \Rightarrow x > 2$.

Приведем логарифм в левой части к основанию $5$: $\log_{\sqrt{5}} (x - 2) = \log_{5^{1/2}} (x - 2) = 2\log_5 (x - 2)$.

Уравнение принимает вид: $2\log_5 (x - 2) = \log_5 (2x - 1)$.

$\log_5 (x - 2)^2 = \log_5 (2x - 1)$.

Приравниваем аргументы: $(x - 2)^2 = 2x - 1$.

$x^2 - 4x + 4 = 2x - 1$

$x^2 - 6x + 5 = 0$.

По теореме Виета, корни: $x_1 = 5$, $x_2 = 1$.

Проверяем корни по ОДЗ ($x > 2$):

$x_1 = 5$ удовлетворяет условию ($5 > 2$).

$x_2 = 1$ не удовлетворяет условию ($1 \ngtr 2$).

Ответ: $5$.

д)

Исходное уравнение: $\log_3 (x - 3) = \log_9 (x - 1)$.

ОДЗ: $\begin{cases} x - 3 > 0 \\ x - 1 > 0 \end{cases} \Rightarrow \begin{cases} x > 3 \\ x > 1 \end{cases} \Rightarrow x > 3$.

Приведем логарифмы к основанию $3$. Так как $9 = 3^2$, преобразуем правую часть:

$\log_9 (x - 1) = \log_{3^2} (x - 1) = \frac{1}{2}\log_3 (x - 1)$.

Уравнение принимает вид: $\log_3 (x - 3) = \frac{1}{2}\log_3 (x - 1)$.

Умножим обе части на 2: $2\log_3 (x - 3) = \log_3 (x - 1)$.

$\log_3 (x - 3)^2 = \log_3 (x - 1)$.

Приравниваем аргументы: $(x - 3)^2 = x - 1$.

$x^2 - 6x + 9 = x - 1$

$x^2 - 7x + 10 = 0$.

Корни этого уравнения (из пункта в)): $x_1 = 5$, $x_2 = 2$.

Проверяем корни по ОДЗ ($x > 3$):

$x_1 = 5$ удовлетворяет условию ($5 > 3$).

$x_2 = 2$ не удовлетворяет условию ($2 \ngtr 3$).

Ответ: $5$.

е)

Исходное уравнение: $\log_{25} (16 - 5x) = \log_5 (2x - 5)$.

ОДЗ: $\begin{cases} 16 - 5x > 0 \\ 2x - 5 > 0 \end{cases} \Rightarrow \begin{cases} 5x < 16 \\ 2x > 5 \end{cases} \Rightarrow \begin{cases} x < 3.2 \\ x > 2.5 \end{cases} \Rightarrow 2.5 < x < 3.2$.

Приведем логарифмы к основанию $5$. Так как $25 = 5^2$, преобразуем левую часть:

$\log_{25} (16 - 5x) = \log_{5^2} (16 - 5x) = \frac{1}{2}\log_5 (16 - 5x)$.

Уравнение принимает вид: $\frac{1}{2}\log_5 (16 - 5x) = \log_5 (2x - 5)$.

Умножим обе части на 2: $\log_5 (16 - 5x) = 2\log_5 (2x - 5)$.

$\log_5 (16 - 5x) = \log_5 (2x - 5)^2$.

Приравниваем аргументы: $16 - 5x = (2x - 5)^2$.

$16 - 5x = 4x^2 - 20x + 25$

$4x^2 - 15x + 9 = 0$.

Решаем квадратное уравнение. Дискриминант $D = (-15)^2 - 4 \cdot 4 \cdot 9 = 225 - 144 = 81 = 9^2$.

Корни: $x_1 = \frac{15 + 9}{2 \cdot 4} = \frac{24}{8} = 3$ и $x_2 = \frac{15 - 9}{2 \cdot 4} = \frac{6}{8} = 0.75$.

Проверяем корни по ОДЗ ($2.5 < x < 3.2$):

$x_1 = 3$ удовлетворяет условию ($2.5 < 3 < 3.2$).

$x_2 = 0.75$ не удовлетворяет условию ($0.75 \ngtr 2.5$).

Ответ: $3$.

Помогло решение? Оставьте отзыв в комментариях ниже.

Присоединяйтесь к Телеграм-группе @gdz_by_belarus

Присоединиться

Мы подготовили для вас ответ c подробным объяснением домашего задания по алгебре за 11 класс, для упражнения номер 3.154 расположенного на странице 140 к учебнику 2020 года издания для учащихся школ и гимназий.

Теперь на нашем сайте ГДЗ.ТОП вы всегда легко и бесплатно найдёте условие с правильным ответом на вопрос «Как решить ДЗ» и «Как сделать» задание по алгебре к упражнению №3.154 (с. 140), авторов: Арефьева (Ирина Глебовна), Пирютко (Ольга Николаевна), учебного пособия издательства Народная асвета.