Номер 3.144, страница 139 - гдз по алгебре 11 класс учебник Арефьева, Пирютко

Алгебра, 11 класс Учебник, авторы: Арефьева Ирина Глебовна, Пирютко Ольга Николаевна, издательство Народная асвета, Минск, 2020, бирюзового цвета

Авторы: Арефьева И. Г., Пирютко О. Н.

Тип: Учебник

Издательство: Народная асвета

Год издания: 2020 - 2026

Цвет обложки: бирюзовый, зелёный с графиком

ISBN: 978-985-03-3165-6

Популярные ГДЗ в 11 классе

Глава 3. Логарифмическая функция. Параграф 9. Логарифмические уравнения - номер 3.144, страница 139.

№3.144 (с. 139)
Условие. №3.144 (с. 139)
скриншот условия
Алгебра, 11 класс Учебник, авторы: Арефьева Ирина Глебовна, Пирютко Ольга Николаевна, издательство Народная асвета, Минск, 2020, бирюзового цвета, страница 139, номер 3.144, Условие

3.144. Решите логарифмическое уравнение, используя определение логарифма:

а) $\log_3 x = 2$;

б) $\log_5 x = -3$;

в) $\log_{\sqrt{2}} x = 4$;

г) $\log_{\sqrt{3}} x = \frac{1}{2}$;

д) $\log_2 (2 - 3x) = 3$;

е) $\log_2 (x - 3) = 0$;

ж) $\log_{\frac{1}{2}} (3-x)+ 1 = 0$;

з) $\log_{64} (x+4) - \frac{1}{3} = 0$;

и) $\log_{27} (7-x) - \frac{2}{3} = 0$.

Решение. №3.144 (с. 139)
Алгебра, 11 класс Учебник, авторы: Арефьева Ирина Глебовна, Пирютко Ольга Николаевна, издательство Народная асвета, Минск, 2020, бирюзового цвета, страница 139, номер 3.144, Решение Алгебра, 11 класс Учебник, авторы: Арефьева Ирина Глебовна, Пирютко Ольга Николаевна, издательство Народная асвета, Минск, 2020, бирюзового цвета, страница 139, номер 3.144, Решение (продолжение 2)
Решение 2. №3.144 (с. 139)

Для решения данных логарифмических уравнений воспользуемся определением логарифма: $\log_b a = c$ эквивалентно $b^c = a$, где $a > 0$, $b > 0$ и $b \neq 1$.

а) $\log_3 x = 2$

По определению логарифма, мы можем переписать уравнение в виде степени:

$x = 3^2$

$x = 9$

Проверим область допустимых значений (ОДЗ): аргумент логарифма должен быть больше нуля, $x > 0$. $9 > 0$, условие выполняется.

Ответ: $9$

б) $\log_5 x = -3$

Используя определение логарифма, получаем:

$x = 5^{-3}$

$x = \frac{1}{5^3} = \frac{1}{125}$

ОДЗ: $x > 0$. $\frac{1}{125} > 0$, условие выполняется.

Ответ: $\frac{1}{125}$

в) $\log_{\sqrt{2}} x = 4$

Переходим от логарифмического уравнения к степенному:

$x = (\sqrt{2})^4$

$x = (2^{1/2})^4 = 2^{4/2} = 2^2 = 4$

ОДЗ: $x > 0$. $4 > 0$, условие выполняется.

Ответ: $4$

г) $\log_{\sqrt{3}} x = \frac{1}{2}$

По определению логарифма:

$x = (\sqrt{3})^{1/2}$

$x = (3^{1/2})^{1/2} = 3^{1/4} = \sqrt[4]{3}$

ОДЗ: $x > 0$. $\sqrt[4]{3} > 0$, условие выполняется.

Ответ: $\sqrt[4]{3}$

д) $\log_2 (2 - 3x) = 3$

Найдём ОДЗ: $2 - 3x > 0 \implies -3x > -2 \implies x < \frac{2}{3}$.

По определению логарифма:

$2 - 3x = 2^3$

$2 - 3x = 8$

$-3x = 8 - 2$

$-3x = 6$

$x = -2$

Проверяем, удовлетворяет ли корень ОДЗ: $-2 < \frac{2}{3}$. Условие выполняется.

Ответ: $-2$

е) $\log_2 (x - 3) = 0$

Найдём ОДЗ: $x - 3 > 0 \implies x > 3$.

По определению логарифма:

$x - 3 = 2^0$

$x - 3 = 1$

$x = 4$

Проверяем, удовлетворяет ли корень ОДЗ: $4 > 3$. Условие выполняется.

Ответ: $4$

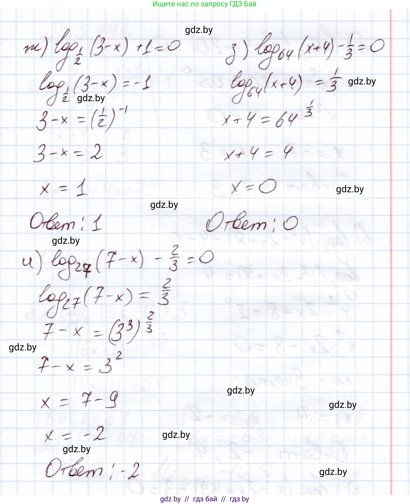
ж) $\log_{\frac{1}{2}} (3 - x) + 1 = 0$

Сначала перенесём 1 в правую часть уравнения:

$\log_{\frac{1}{2}} (3 - x) = -1$

Найдём ОДЗ: $3 - x > 0 \implies x < 3$.

По определению логарифма:

$3 - x = \left(\frac{1}{2}\right)^{-1}$

$3 - x = 2$

$-x = 2 - 3$

$-x = -1$

$x = 1$

Проверяем, удовлетворяет ли корень ОДЗ: $1 < 3$. Условие выполняется.

Ответ: $1$

з) $\log_{64} (x + 4) - \frac{1}{3} = 0$

Перенесём дробь в правую часть:

$\log_{64} (x + 4) = \frac{1}{3}$

Найдём ОДЗ: $x + 4 > 0 \implies x > -4$.

По определению логарифма:

$x + 4 = 64^{1/3}$

$x + 4 = \sqrt[3]{64}$

$x + 4 = 4$

$x = 0$

Проверяем, удовлетворяет ли корень ОДЗ: $0 > -4$. Условие выполняется.

Ответ: $0$

и) $\log_{27} (7 - x) - \frac{2}{3} = 0$

Перенесём дробь в правую часть:

$\log_{27} (7 - x) = \frac{2}{3}$

Найдём ОДЗ: $7 - x > 0 \implies x < 7$.

По определению логарифма:

$7 - x = 27^{2/3}$

$7 - x = (\sqrt[3]{27})^2$

$7 - x = 3^2$

$7 - x = 9$

$-x = 9 - 7$

$-x = 2$

$x = -2$

Проверяем, удовлетворяет ли корень ОДЗ: $-2 < 7$. Условие выполняется.

Ответ: $-2$

Помогло решение? Оставьте отзыв в комментариях ниже.

Присоединяйтесь к Телеграм-группе @gdz_by_belarus

Присоединиться

Мы подготовили для вас ответ c подробным объяснением домашего задания по алгебре за 11 класс, для упражнения номер 3.144 расположенного на странице 139 к учебнику 2020 года издания для учащихся школ и гимназий.

Теперь на нашем сайте ГДЗ.ТОП вы всегда легко и бесплатно найдёте условие с правильным ответом на вопрос «Как решить ДЗ» и «Как сделать» задание по алгебре к упражнению №3.144 (с. 139), авторов: Арефьева (Ирина Глебовна), Пирютко (Ольга Николаевна), учебного пособия издательства Народная асвета.