Номер 2.179, страница 91 - гдз по алгебре 11 класс учебник Арефьева, Пирютко

Алгебра, 11 класс Учебник, авторы: Арефьева Ирина Глебовна, Пирютко Ольга Николаевна, издательство Народная асвета, Минск, 2020, бирюзового цвета

Авторы: Арефьева И. Г., Пирютко О. Н.

Тип: Учебник

Издательство: Народная асвета

Год издания: 2020 - 2026

Цвет обложки: бирюзовый, зелёный с графиком

ISBN: 978-985-03-3165-6

Популярные ГДЗ в 11 классе

Глава 2. Показательная функция. Параграф 6. Показательные неравенства - номер 2.179, страница 91.

№2.179 (с. 91)
Условие. №2.179 (с. 91)
скриншот условия
Алгебра, 11 класс Учебник, авторы: Арефьева Ирина Глебовна, Пирютко Ольга Николаевна, издательство Народная асвета, Минск, 2020, бирюзового цвета, страница 91, номер 2.179, Условие

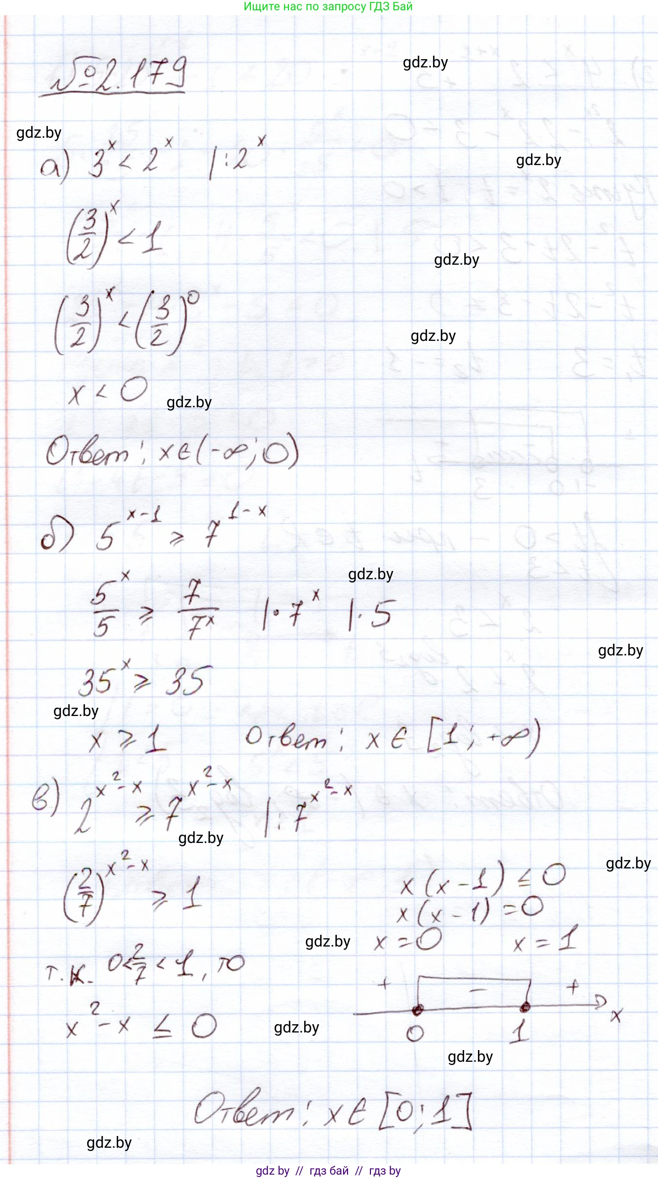
2.179. Решите неравенство, используя прием решения однородных неравенств:

а) $3^x < 2^x$;

б) $5^{x-1} \ge 7^{1-x}$;

в) $2^{x^2 - x} \ge 7^{x^2 - x}$.

Решение. №2.179 (с. 91)
Алгебра, 11 класс Учебник, авторы: Арефьева Ирина Глебовна, Пирютко Ольга Николаевна, издательство Народная асвета, Минск, 2020, бирюзового цвета, страница 91, номер 2.179, Решение
Решение 2. №2.179 (с. 91)

а) $3^x < 2^x$

Данное неравенство является показательным. Разделим обе части неравенства на $2^x$. Так как $2^x > 0$ для любого $x$, знак неравенства не изменится:
$\frac{3^x}{2^x} < \frac{2^x}{2^x}$
$(\frac{3}{2})^x < 1$

Представим 1 в виде степени с основанием $\frac{3}{2}$:
$1 = (\frac{3}{2})^0$
Тогда неравенство примет вид:
$(\frac{3}{2})^x < (\frac{3}{2})^0$

Так как основание степени $\frac{3}{2} > 1$, показательная функция $y = (\frac{3}{2})^x$ является возрастающей. Следовательно, меньшему значению функции соответствует меньшее значение показателя степени. Переходя к неравенству для показателей, сохраняем знак неравенства:
$x < 0$

Ответ: $x \in (-\infty; 0)$.

б) $5^{x-1} \ge 7^{1-x}$

Преобразуем правую часть неравенства, используя свойство степени $a^{-n} = \frac{1}{a^n}$:
$7^{1-x} = 7^{-(x-1)} = \frac{1}{7^{x-1}}$
Неравенство примет вид:
$5^{x-1} \ge \frac{1}{7^{x-1}}$

Умножим обе части неравенства на $7^{x-1}$. Так как $7^{x-1} > 0$ для любого $x$, знак неравенства не изменится:
$5^{x-1} \cdot 7^{x-1} \ge 1$
Используя свойство степени $(a \cdot b)^n = a^n \cdot b^n$, получим:
$(5 \cdot 7)^{x-1} \ge 1$
$35^{x-1} \ge 1$

Представим 1 в виде степени с основанием 35:
$1 = 35^0$
$35^{x-1} \ge 35^0$

Так как основание степени $35 > 1$, показательная функция $y = 35^x$ является возрастающей. Переходя к неравенству для показателей, сохраняем знак неравенства:
$x - 1 \ge 0$
$x \ge 1$

Ответ: $x \in [1; +\infty)$.

в) $2^{x^2-x} \ge 7^{x^2-x}$

Разделим обе части неравенства на $7^{x^2-x}$. Так как $7^{x^2-x} > 0$ для любого $x$, знак неравенства не изменится:
$\frac{2^{x^2-x}}{7^{x^2-x}} \ge 1$
$(\frac{2}{7})^{x^2-x} \ge 1$

Представим 1 в виде степени с основанием $\frac{2}{7}$:
$1 = (\frac{2}{7})^0$
Тогда неравенство примет вид:
$(\frac{2}{7})^{x^2-x} \ge (\frac{2}{7})^0$

Так как основание степени $0 < \frac{2}{7} < 1$, показательная функция $y = (\frac{2}{7})^t$ является убывающей. Следовательно, большему или равному значению функции соответствует меньшее или равное значение показателя степени. Переходя к неравенству для показателей, меняем знак неравенства на противоположный:
$x^2-x \le 0$

Решим полученное квадратное неравенство. Найдем корни уравнения $x^2-x = 0$:
$x(x-1) = 0$
$x_1 = 0$, $x_2 = 1$
Графиком функции $y = x^2-x$ является парабола, ветви которой направлены вверх. Значения функции не положительны ($y \le 0$) на отрезке между корнями, включая сами корни.
Следовательно, $0 \le x \le 1$.

Ответ: $x \in [0; 1]$.

Помогло решение? Оставьте отзыв в комментариях ниже.

Присоединяйтесь к Телеграм-группе @gdz_by_belarus

Присоединиться

Мы подготовили для вас ответ c подробным объяснением домашего задания по алгебре за 11 класс, для упражнения номер 2.179 расположенного на странице 91 к учебнику 2020 года издания для учащихся школ и гимназий.

Теперь на нашем сайте ГДЗ.ТОП вы всегда легко и бесплатно найдёте условие с правильным ответом на вопрос «Как решить ДЗ» и «Как сделать» задание по алгебре к упражнению №2.179 (с. 91), авторов: Арефьева (Ирина Глебовна), Пирютко (Ольга Николаевна), учебного пособия издательства Народная асвета.