Номер 2.175, страница 91 - гдз по алгебре 11 класс учебник Арефьева, Пирютко

Алгебра, 11 класс Учебник, авторы: Арефьева Ирина Глебовна, Пирютко Ольга Николаевна, издательство Народная асвета, Минск, 2020, бирюзового цвета

Авторы: Арефьева И. Г., Пирютко О. Н.

Тип: Учебник

Издательство: Народная асвета

Год издания: 2020 - 2026

Цвет обложки: бирюзовый, зелёный с графиком

ISBN: 978-985-03-3165-6

Популярные ГДЗ в 11 классе

Глава 2. Показательная функция. Параграф 6. Показательные неравенства - номер 2.175, страница 91.

№2.175 (с. 91)
Условие. №2.175 (с. 91)
скриншот условия
Алгебра, 11 класс Учебник, авторы: Арефьева Ирина Глебовна, Пирютко Ольга Николаевна, издательство Народная асвета, Минск, 2020, бирюзового цвета, страница 91, номер 2.175, Условие

2.175. Решите неравенство, приведя степени к одному основанию:

а) $3^{x+2} - 3^x < 72;$

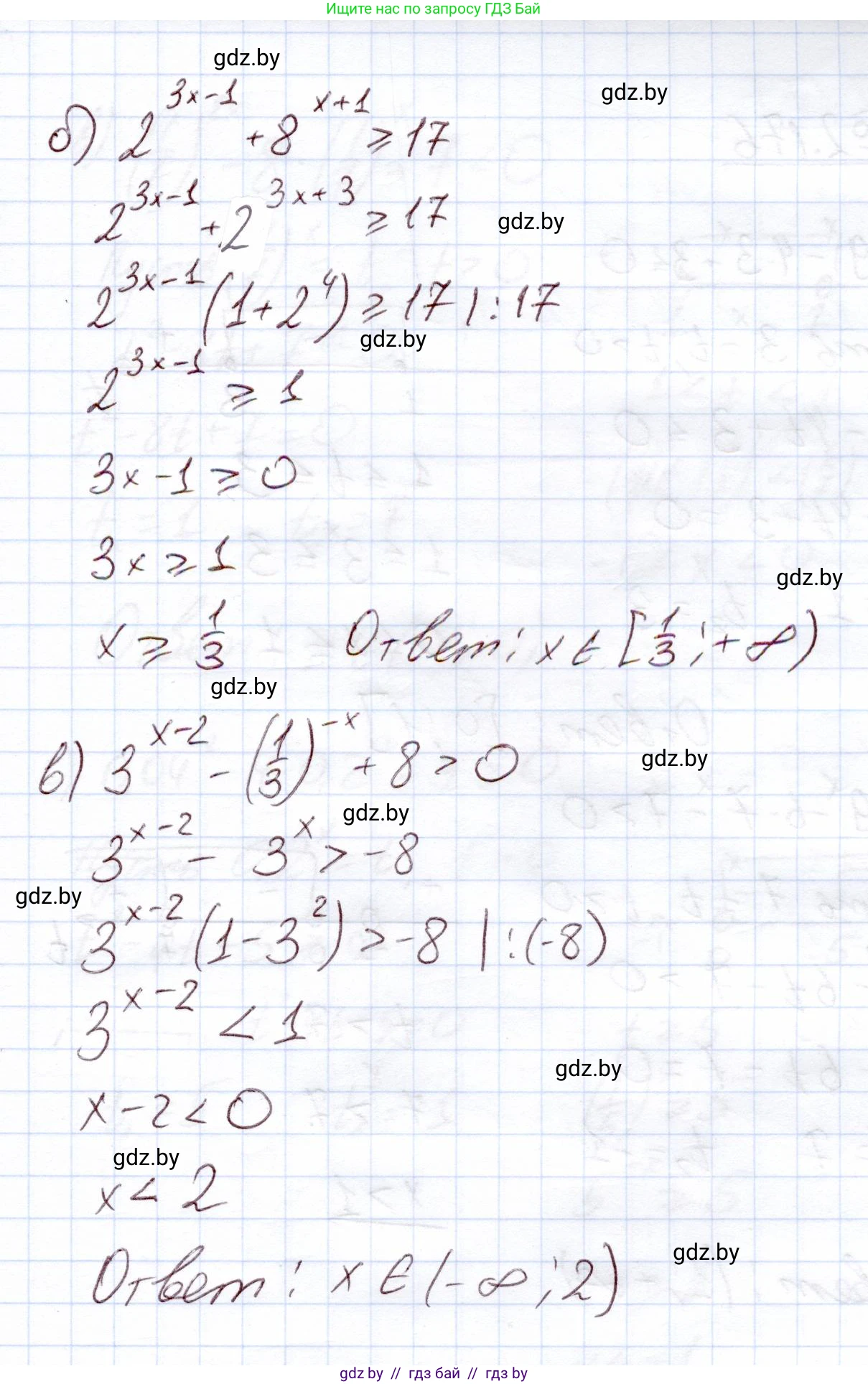
б) $2^{3x-1} + 8^{x+1} \ge 17;$

в) $3^{x-2} - \left(\frac{1}{3}\right)^{-x} + 8 > 0.$

Решение. №2.175 (с. 91)
Алгебра, 11 класс Учебник, авторы: Арефьева Ирина Глебовна, Пирютко Ольга Николаевна, издательство Народная асвета, Минск, 2020, бирюзового цвета, страница 91, номер 2.175, Решение Алгебра, 11 класс Учебник, авторы: Арефьева Ирина Глебовна, Пирютко Ольга Николаевна, издательство Народная асвета, Минск, 2020, бирюзового цвета, страница 91, номер 2.175, Решение (продолжение 2)
Решение 2. №2.175 (с. 91)

а) $3^{x+2} - 3^x < 72$

Для решения неравенства приведем все степени к одному основанию. В данном случае основание уже общее и равно 3. Используем свойство степеней $a^{m+n} = a^m \cdot a^n$, чтобы преобразовать член $3^{x+2}$:

$3^x \cdot 3^2 - 3^x < 72$

Вынесем общий множитель $3^x$ за скобки в левой части неравенства:

$3^x(3^2 - 1) < 72$

Выполним вычисления в скобках:

$3^x(9 - 1) < 72$

$8 \cdot 3^x < 72$

Разделим обе части неравенства на 8:

$3^x < \frac{72}{8}$

$3^x < 9$

Теперь представим число 9 в виде степени с основанием 3:

$3^x < 3^2$

Так как основание степени $3 > 1$, показательная функция $y=3^x$ является возрастающей. Следовательно, при переходе от степеней к их показателям знак неравенства сохраняется:

$x < 2$

Ответ: $x \in (-\infty; 2)$.

б) $2^{3x-1} + 8^{x+1} \geq 17$

Приведем все степени к одному основанию. Заметим, что $8 = 2^3$. Выберем в качестве общего основания 2. Преобразуем член $8^{x+1}$:

$8^{x+1} = (2^3)^{x+1} = 2^{3(x+1)} = 2^{3x+3}$

Подставим полученное выражение в исходное неравенство:

$2^{3x-1} + 2^{3x+3} \geq 17$

Используем свойства степеней $a^{m+n} = a^m \cdot a^n$ и $a^{m-n} = a^m/a^n$:

$2^{3x} \cdot 2^{-1} + 2^{3x} \cdot 2^3 \geq 17$

$\frac{1}{2} \cdot 2^{3x} + 8 \cdot 2^{3x} \geq 17$

Вынесем общий множитель $2^{3x}$ за скобки:

$2^{3x} \left(\frac{1}{2} + 8\right) \geq 17$

Выполним сложение в скобках:

$2^{3x} \left(\frac{1+16}{2}\right) \geq 17$

$2^{3x} \cdot \frac{17}{2} \geq 17$

Разделим обе части неравенства на $\frac{17}{2}$ (или умножим на $\frac{2}{17}$):

$2^{3x} \geq 17 \cdot \frac{2}{17}$

$2^{3x} \geq 2$

Представим 2 как $2^1$:

$2^{3x} \geq 2^1$

Так как основание степени $2 > 1$, показательная функция $y=2^x$ является возрастающей. Знак неравенства при переходе к показателям сохраняется:

$3x \geq 1$

$x \geq \frac{1}{3}$

Ответ: $x \in [\frac{1}{3}; +\infty)$.

в) $3^{x-2} - \left(\frac{1}{3}\right)^{-x} + 8 > 0$

Приведем все степени к одному основанию. Заметим, что $\frac{1}{3} = 3^{-1}$. Выберем в качестве общего основания 3. Преобразуем член $\left(\frac{1}{3}\right)^{-x}$:

$\left(\frac{1}{3}\right)^{-x} = (3^{-1})^{-x} = 3^{(-1) \cdot (-x)} = 3^x$

Подставим полученное выражение в исходное неравенство:

$3^{x-2} - 3^x + 8 > 0$

Используем свойство степеней $a^{m-n} = a^m \cdot a^{-n}$:

$3^x \cdot 3^{-2} - 3^x + 8 > 0$

$\frac{1}{9} \cdot 3^x - 3^x + 8 > 0$

Вынесем общий множитель $3^x$ за скобки:

$3^x \left(\frac{1}{9} - 1\right) + 8 > 0$

$3^x \left(-\frac{8}{9}\right) + 8 > 0$

Перенесем 8 в правую часть:

$-\frac{8}{9} \cdot 3^x > -8$

Умножим обе части неравенства на $-\frac{9}{8}$. При умножении на отрицательное число знак неравенства меняется на противоположный:

$3^x < -8 \cdot \left(-\frac{9}{8}\right)$

$3^x < 9$

Представим 9 как степень с основанием 3:

$3^x < 3^2$

Так как основание степени $3 > 1$, показательная функция $y=3^x$ является возрастающей, поэтому знак неравенства при переходе к показателям сохраняется:

$x < 2$

Ответ: $x \in (-\infty; 2)$.

Помогло решение? Оставьте отзыв в комментариях ниже.

Присоединяйтесь к Телеграм-группе @gdz_by_belarus

Присоединиться

Мы подготовили для вас ответ c подробным объяснением домашего задания по алгебре за 11 класс, для упражнения номер 2.175 расположенного на странице 91 к учебнику 2020 года издания для учащихся школ и гимназий.

Теперь на нашем сайте ГДЗ.ТОП вы всегда легко и бесплатно найдёте условие с правильным ответом на вопрос «Как решить ДЗ» и «Как сделать» задание по алгебре к упражнению №2.175 (с. 91), авторов: Арефьева (Ирина Глебовна), Пирютко (Ольга Николаевна), учебного пособия издательства Народная асвета.