Номер 2.173, страница 91 - гдз по алгебре 11 класс учебник Арефьева, Пирютко
Авторы: Арефьева И. Г., Пирютко О. Н.
Тип: Учебник
Издательство: Народная асвета
Год издания: 2020 - 2026
Цвет обложки: бирюзовый, зелёный с графиком
ISBN: 978-985-03-3165-6
Популярные ГДЗ в 11 классе
Глава 2. Показательная функция. Параграф 6. Показательные неравенства - номер 2.173, страница 91.
№2.173 (с. 91)
Условие. №2.173 (с. 91)
скриншот условия
2.173. Решите неравенство, выполнив преобразования степеней:
а) $\frac{1}{8} \cdot 4^{2x-1} > (\sqrt{2})^{10};$
б) $81^x - \frac{1}{3} \cdot 27^{2x+1} \leq 0;$
в) $\sqrt{5} : 5^{3x} \geq \frac{1}{5};$
г) $(1,4)^{3x} \cdot \left(\frac{5}{7}\right)^{2x+3} - \frac{49}{25} > 0;$
д) $2^{x^2+3x} > 8 \cdot 2^x;$
е) $\sqrt{27} : 3^{6x^2} \geq 9^{4x}.$
Решение. №2.173 (с. 91)
Решение 2. №2.173 (с. 91)
а) $\frac{1}{8} \cdot 4^{2x-1} > (\sqrt{2})^{10}$
Приведем обе части неравенства к основанию 2. Для этого представим каждый множитель в виде степени с основанием 2:
$\frac{1}{8} = \frac{1}{2^3} = 2^{-3}$
$4^{2x-1} = (2^2)^{2x-1} = 2^{2(2x-1)} = 2^{4x-2}$
$(\sqrt{2})^{10} = (2^{1/2})^{10} = 2^{10/2} = 2^5$
Подставим эти выражения в исходное неравенство:
$2^{-3} \cdot 2^{4x-2} > 2^5$
Используя свойство степеней $a^m \cdot a^n = a^{m+n}$, упростим левую часть:
$2^{-3+4x-2} > 2^5$
$2^{4x-5} > 2^5$
Так как основание степени $2 > 1$, то при переходе к неравенству для показателей степеней знак неравенства сохраняется:
$4x-5 > 5$
$4x > 10$
$x > \frac{10}{4}$
$x > 2,5$
Ответ: $x \in (2,5; +\infty)$.
б) $81^x - \frac{1}{3} \cdot 27^{2x+1} \le 0$
Перенесем второе слагаемое в правую часть неравенства:
$81^x \le \frac{1}{3} \cdot 27^{2x+1}$
Приведем обе части неравенства к основанию 3:
$81 = 3^4$, $27=3^3$, $\frac{1}{3}=3^{-1}$
Подставим эти значения в неравенство:
$(3^4)^x \le 3^{-1} \cdot (3^3)^{2x+1}$
$3^{4x} \le 3^{-1} \cdot 3^{3(2x+1)}$
$3^{4x} \le 3^{-1} \cdot 3^{6x+3}$
$3^{4x} \le 3^{-1+6x+3}$
$3^{4x} \le 3^{6x+2}$
Так как основание степени $3 > 1$, знак неравенства сохраняется:
$4x \le 6x+2$
$4x - 6x \le 2$
$-2x \le 2$
При делении на отрицательное число (-2) знак неравенства меняется на противоположный:
$x \ge -1$
Ответ: $x \in [-1; +\infty)$.
в) $\sqrt{5} : 5^{3x} \ge \frac{1}{5}$
Знак ":" обозначает деление. Перепишем неравенство и приведем все его члены к основанию 5:
$\frac{\sqrt{5}}{5^{3x}} \ge \frac{1}{5}$
$\sqrt{5}=5^{1/2}$, $\frac{1}{5} = 5^{-1}$
$\frac{5^{1/2}}{5^{3x}} \ge 5^{-1}$
Используя свойство степеней $\frac{a^m}{a^n} = a^{m-n}$, упростим левую часть:
$5^{1/2 - 3x} \ge 5^{-1}$
Так как основание степени $5 > 1$, знак неравенства сохраняется:
$\frac{1}{2} - 3x \ge -1$
$-3x \ge -1 - \frac{1}{2}$
$-3x \ge -\frac{3}{2}$
Разделим обе части на -3, изменив знак неравенства:
$x \le \frac{-3/2}{-3}$
$x \le \frac{1}{2}$
Ответ: $x \in (-\infty; 0,5]$.
г) $(1,4)^{3x} \cdot (\frac{5}{7})^{2x+3} - \frac{49}{25} > 0$
Перенесем свободный член в правую часть и приведем все к общему основанию:
$(1,4)^{3x} \cdot (\frac{5}{7})^{2x+3} > \frac{49}{25}$
Заметим, что $1,4 = \frac{14}{10} = \frac{7}{5}$. Также $\frac{5}{7} = (\frac{7}{5})^{-1}$ и $\frac{49}{25} = (\frac{7}{5})^2$.
Подставим эти выражения в неравенство:
$(\frac{7}{5})^{3x} \cdot ((\frac{7}{5})^{-1})^{2x+3} > (\frac{7}{5})^2$
$(\frac{7}{5})^{3x} \cdot (\frac{7}{5})^{-(2x+3)} > (\frac{7}{5})^2$
$(\frac{7}{5})^{3x - (2x+3)} > (\frac{7}{5})^2$
$(\frac{7}{5})^{3x - 2x - 3} > (\frac{7}{5})^2$
$(\frac{7}{5})^{x-3} > (\frac{7}{5})^2$
Так как основание степени $\frac{7}{5} = 1,4 > 1$, знак неравенства сохраняется:
$x-3 > 2$
$x > 5$
Ответ: $x \in (5; +\infty)$.
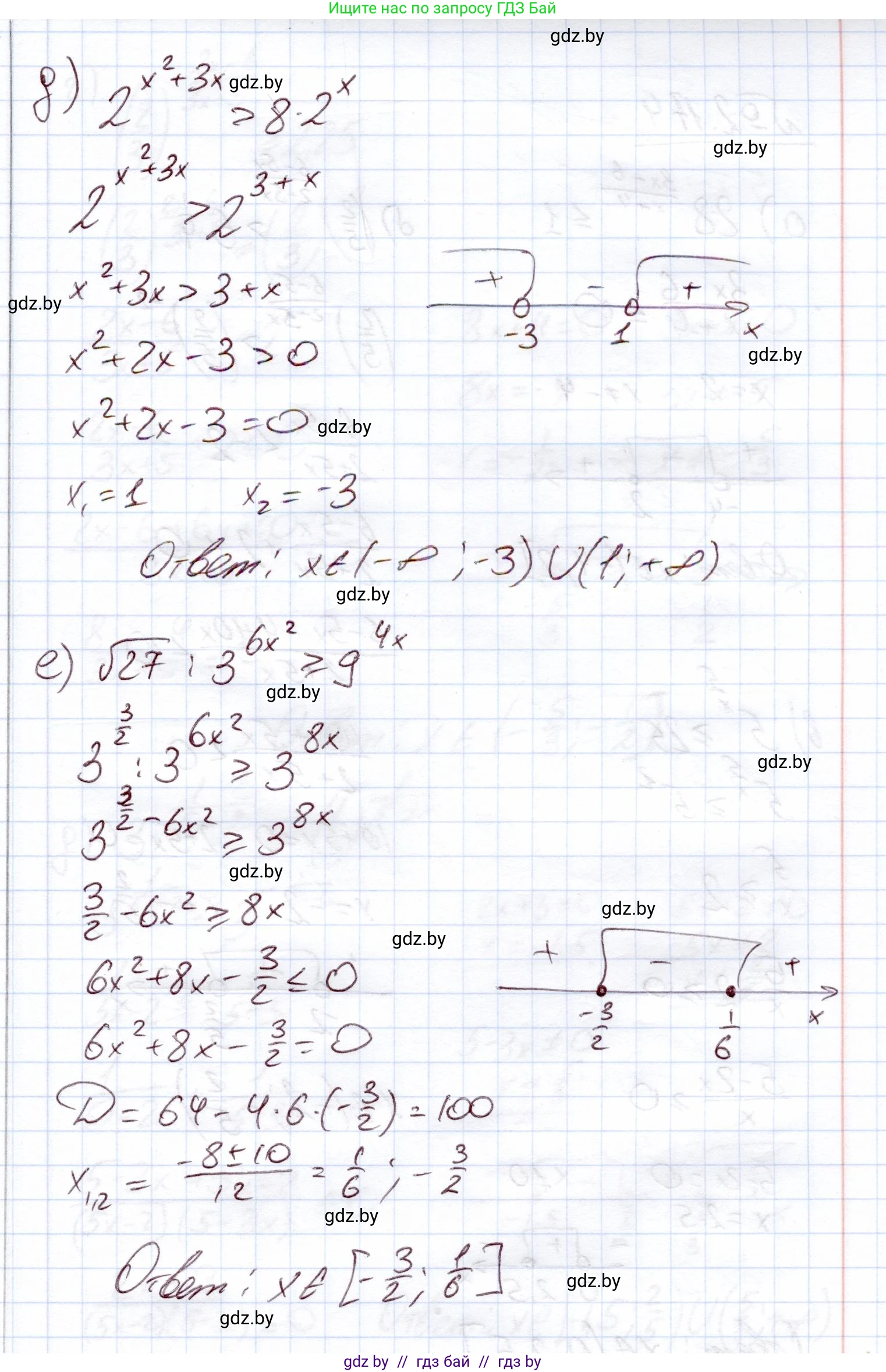
д) $2^{x^2+3x} > 8 \cdot 2^x$
Приведем правую часть к основанию 2:
$8 \cdot 2^x = 2^3 \cdot 2^x = 2^{x+3}$
Неравенство принимает вид:
$2^{x^2+3x} > 2^{x+3}$
Так как основание $2 > 1$, знак неравенства сохраняется:
$x^2+3x > x+3$
Переносим все члены влево и решаем квадратное неравенство:
$x^2+2x-3 > 0$
Найдем корни соответствующего уравнения $x^2+2x-3=0$. По теореме Виета, корни $x_1 = 1$ и $x_2 = -3$.
Графиком функции $y = x^2+2x-3$ является парабола, ветви которой направлены вверх. Значения функции положительны при $x$ левее меньшего корня и правее большего корня.
Следовательно, $x < -3$ или $x > 1$.
Ответ: $x \in (-\infty; -3) \cup (1; +\infty)$.
е) $\sqrt{27} : 3^{6x^2} \ge 9^{4x}$
Знак ":" означает деление. Приведем все члены неравенства к основанию 3:
$\sqrt{27} = \sqrt{3^3} = 3^{3/2}$
$9^{4x} = (3^2)^{4x} = 3^{8x}$
Неравенство принимает вид:
$\frac{3^{3/2}}{3^{6x^2}} \ge 3^{8x}$
$3^{3/2 - 6x^2} \ge 3^{8x}$
Так как основание $3 > 1$, знак неравенства сохраняется:
$\frac{3}{2} - 6x^2 \ge 8x$
Перенесем все члены в одну сторону, чтобы получить квадратное неравенство:
$0 \ge 6x^2 + 8x - \frac{3}{2}$
$12x^2 + 16x - 3 \le 0$ (умножили на 2 для удобства)
Найдем корни уравнения $12x^2 + 16x - 3 = 0$ с помощью дискриминанта:
$D = 16^2 - 4 \cdot 12 \cdot (-3) = 256 + 144 = 400 = 20^2$
$x_{1,2} = \frac{-16 \pm 20}{2 \cdot 12} = \frac{-16 \pm 20}{24}$
$x_1 = \frac{-16 - 20}{24} = \frac{-36}{24} = -\frac{3}{2}$
$x_2 = \frac{-16 + 20}{24} = \frac{4}{24} = \frac{1}{6}$
Графиком функции $y = 12x^2 + 16x - 3$ является парабола с ветвями вверх. Неравенство $y \le 0$ выполняется на отрезке между корнями.
$-\frac{3}{2} \le x \le \frac{1}{6}$
Ответ: $x \in [-\frac{3}{2}; \frac{1}{6}]$.
Другие задания:
Помогло решение? Оставьте отзыв в комментариях ниже.
Присоединяйтесь к Телеграм-группе @gdz_by_belarus
ПрисоединитьсяМы подготовили для вас ответ c подробным объяснением домашего задания по алгебре за 11 класс, для упражнения номер 2.173 расположенного на странице 91 к учебнику 2020 года издания для учащихся школ и гимназий.
Теперь на нашем сайте ГДЗ.ТОП вы всегда легко и бесплатно найдёте условие с правильным ответом на вопрос «Как решить ДЗ» и «Как сделать» задание по алгебре к упражнению №2.173 (с. 91), авторов: Арефьева (Ирина Глебовна), Пирютко (Ольга Николаевна), учебного пособия издательства Народная асвета.